不銹鋼電化學拋光液一般含有硫酸、磷酸、鉻酐及少量的水,以及在電解過程中溶入的Fe3+、Cr3+、Ni2+、Mn2+等雜質。當采用標準堿液連續滴定時,這些金屬雜質的鹽類會水解,使分析結果偏高。因此,在滴定過程中要加入絡合劑掩蔽金屬雜質,以防止水解。絡合掩蔽劑采用六偏磷酸鈉或EDTA。


  采用(yong)六偏磷(lin)酸鈉(na)時(shi)(shi),由于其水溶液pH=6,采用(yong)甲基(ji)紅(hong)和溴甲酚綠混合指(zhi)示劑在第(di)一個(ge)等電(dian)(dian)點滴(di)定時(shi)(shi)pH=5,所以六偏磷(lin)酸鈉(na)不(bu)消(xiao)耗堿(jian)(jian),用(yong)酚酞為指(zhi)示劑進行第(di)二個(ge)等電(dian)(dian)點滴(di)定時(shi)(shi)pH=9.5,六偏磷(lin)酸鈉(na)就會(hui)耗去(qu)相應量的堿(jian)(jian),此堿(jian)(jian)量需在計算中扣(kou)除。其反應式如下。


第一個等電點時(shi)(pH=5):


H2SO4+2NaOH→Na2SO4+2H2O


H3PO4+NaOH→NaH2PO4+H2O


H2CrO4+NaOH→NaHCrO4+H2O


第二個等電點時(pH=9.5):


NaH2PO4+NaOH→Na2HPO4+H2O


NaHCrO4+NaOH→Na2CrO4+H2O


(NaPO3)6+6NaOH→6Na2HPO4


  若(ruo)是采用 EDTA,從絡合能力看比六偏磷酸鈉好,但第(di)一(yi)(yi)個等電點(dian)時,0.05mol/L的(de)(de)EDTA溶(rong)液的(de)(de)pH約為4,離第(di)一(yi)(yi)個等電點(dian)較遠(yuan),需消耗一(yi)(yi)定量(liang)的(de)(de)氫氧(yang)化鈉,到(dao)達第(di)二(er)個等電點(dian)時進一(yi)(yi)步消耗氫氧(yang)化鈉,需分別扣(kou)除。


  扣除方法(fa):取一個同本操作中所加(jia)絡(luo)合掩蔽劑(ji)(ji)用量相同的(de)絡(luo)合掩蔽劑(ji)(ji),加(jia)水稀釋,進行空白實(shi)驗,(不加(jia)電(dian)(dian)(dian)化(hua)學拋光(guang)液),分(fen)別以(yi)(yi)甲(jia)基紅(hong)、溴甲(jia)酚綠指示(shi)劑(ji)(ji)用氫氧化(hua)鈉(na)標準液滴(di)定至第一個等電(dian)(dian)(dian)點(dian),由紅(hong)變綠,記(ji)(ji)錄耗(hao)用的(de)氫氧化(hua)鈉(na)毫升數,以(yi)(yi)酚酞為指示(shi)劑(ji)(ji)用氫氧化(hua)鈉(na)標準液滴(di)至第二個等電(dian)(dian)(dian)點(dian),由綠色(se)(se)變紫紅(hong)色(se)(se),記(ji)(ji)錄耗(hao)用的(de)氫氧化(hua)鈉(na)毫升數,分(fen)別在計算中減去。


1. 試劑(ji)


 ①. 標準0.5mol氫(qing)氧(yang)化鈉溶液。稱取20g氫(qing)氧(yang)化鈉溶于蒸餾水中(zhong),用水在量瓶中(zhong)稀釋(shi)至(zhi)1L.


  標定:稱取在120℃干燥(zao)2h后的分析純(chun)苯(ben)二甲酸氫(qing)鉀(KHC8H4O4)4g(四(si)位有(you)效數字P)于250mL錐形杯中,加水100mL,溫(wen)熱使其溶(rong)(rong)解,加入酚酞指示劑(ji)2滴(di),用配制好的氫(qing)氧化鈉溶(rong)(rong)液滴(di)定至(zhi)淡(dan)紅(hong)色為(wei)終點,記錄耗用的氫(qing)氧化鈉溶(rong)(rong)液為(wei)V(mL)。


 計(ji)算:標準氫氧化鈉(na)溶液的摩爾(er)濃度


 M= P × 1000 / V × 204.2 (mol/L)


 ②. 0.1mol六(liu)偏磷(lin)酸(suan)的溶液。稱(cheng)取120℃干燥2h后的分析純(chun)六(liu)偏磷(lin)酸(suan)鈉61.20g,溶于蒸餾(liu)水(shui)中,用水(shui)在容(rong)量瓶(ping)中稀(xi)釋至1L。不需標定。


 ③. 0.05mol EDTA標準溶液。②和③中兩者擇其一,稱取分析純EDTA(乙二胺四乙酸二鈉,其分子式C10H14N2O8Na2·2H2O)20g,溶解于熱蒸餾水中,冷卻后,用水在容量瓶中稀釋至1L。


 標定:稱取分析純金屬鋅(xin)0.4g(準確(que)稱重(zhong)至(zhi)四位有效(xiao)數字(zi)P),在(zai)250mL錐(zhui)形(xing)瓶中(zhong)用(yong)(yong)1:1試(shi)劑鹽酸加(jia)熱溶解(jie)鋅(xin)至(zhi)完全形(xing)成氯化(hua)鋅(xin),冷卻,移入(ru)100mL容量瓶中(zhong),加(jia)水(shui)(shui)稀釋(shi)至(zhi)刻(ke)度,搖(yao)勻(yun)。用(yong)(yong)移液管(guan)吸(xi)取20mL于(yu)250mL錐(zhui)形(xing)瓶中(zhong),加(jia)水(shui)(shui)50mL,以氨水(shui)(shui)調節(jie)至(zhi)微堿性,加(jia)入(ru)pH=10緩沖(chong)溶液(溶解(jie)54g氯化(hua)銨于(yu)水(shui)(shui)中(zhong),加(jia)入(ru)350mL濃氨水(shui)(shui),加(jia)水(shui)(shui)稀釋(shi)至(zhi)1L)10mL,鉻(ge)黑(hei)T指示劑(0.5g鉻(ge)黑(hei)T和氯化(hua)鈉50g研磨而成)少許,搖(yao)勻(yun),以配好的0.05mol EDTA標準溶液滴定至(zhi)由紅變藍色為終(zhong)點,記錄耗用(yong)(yong)的EDTA溶液V(mL).


計算:標準EDTA溶(rong)液濃度


2.jpg


④. 甲基紅指示(shi)劑(pH 4.2~6.3).稱(cheng)取甲基紅0.1g溶(rong)解于60mL乙醇中(zhong),溶(rong)解后加水(shui)稀釋至(zhi)100mL。


⑤. 溴甲(jia)酚綠(lv)(lv)指示劑(ji)(pH 3.6~5.2).稱取(qu)溴甲(jia)酚綠(lv)(lv)0.1g溶(rong)(rong)解于2.88mL的(de)0.05mol氫(qing)氧化鈉溶(rong)(rong)液(ye)中,加(jia)水稀釋至250mL。


⑥. 酚(fen)(fen)酞指示劑(ji)(pH 8.3~10.0).稱取(qu)1g酚(fen)(fen)酞溶(rong)解(jie)于(yu)80mL乙醇中,溶(rong)解(jie)后(hou)加水稀釋至(zhi)100mL.



2. 分析方法


①. 用(yong)六偏磷酸鈉(na)作掩蔽劑。


  a. 吸取試液5mL于250mL容量瓶中,加水稀釋(shi)至刻(ke)度,搖勻(yun)。


  b. 吸取此液10mL于300mL錐形(xing)瓶中(相當于原(yuan)液0.2mL),加水80mL。


  c. 用(yong)移(yi)液管準確加人六偏磷酸鈉溶(rong)液20mL。


  d. 加(jia)甲基紅4滴(di)、溴甲酚綠6滴(di)。


  e. 以0.5mol氫氧化鈉標準溶液滴定至綠色為終點,記(ji)錄耗用量V1。


  f. 加酚(fen)酞5滴。


  g. 以0.5mol氫氧化(hua)鈉標準溶(rong)液滴定(ding)至紅色(保持20s不退),記錄(lu)耗用量V2。


  h. 另用移液(ye)管吸取0.1mol六偏磷酸鈉(na)溶液(ye)20mL于250mL錐形(xing)瓶中,加水80mL。


  i. 加酚酞5滴。


  j. 用0.5mol氫氧化鈉溶(rong)液滴定至(zhi)紅(hong)色,記(ji)錄耗用量B(mL)。


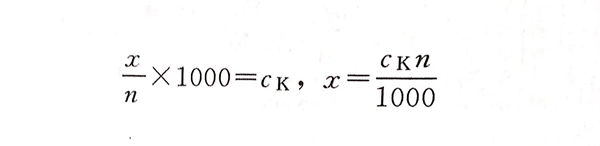
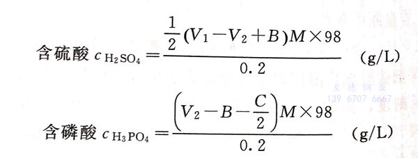
計算:


3.jpg



 式中,M為標準氫氧化鈉溶液的摩爾濃度;C為中和所取試液中的CrO3相的標準氫氧化鈉溶液的容積,mL。


設n為(wei)所取試樣容(rong)積,mL;ck為(wei)三(san)氧化(hua)鉻濃度,g/L;x為(wei)所取試樣中(zhong)含氧化(hua)鉻質量,g;


則(ze)有:


4.jpg

5.jpg




②. 用EDTA作掩蔽(bi)劑(ji)。


  a. 吸(xi)取(qu)試液5mL于(yu)250mL容量瓶中,加水稀(xi)釋至刻(ke)度,搖勻。


  b. 吸取此液(ye)10mL于300mL錐形瓶(ping)中(相(xiang)當于原液(ye)0.2mL),加水(shui)80mL。


  c. 用移液管準確加(jia)入0.05mol EDTA標準溶液20mL。


  d. 加甲基紅4滴(di)、溴甲酚綠6滴(di)。


  e. 用0.5mol氫氧化鈉標準溶液滴定至綠色為終點,記錄耗用量為V1


  f. 加酚酞(tai)5滴。


 g. 用0.5mol氫氧化鈉標準溶液滴定至紅色(保持20s不褪色),記錄耗用量為V2


  h. 另用滴定管(guan)取0.05mol EDTA于(yu)250mL錐形瓶中,加(jia)水80mL。


  i. 加甲基紅4滴(di),溴甲酚綠6滴(di)。


  j. 用0.05mol氫氧化鈉溶液滴(di)定至綠色(se),記錄(lu)耗用量為A。


  k. 加酚酞5滴。


  l. 繼續(xu)用0.05mol氫氧化鈉溶液滴定至紅(hong)色,記錄(lu)耗用量為B。


計算:


6.jpg


C 的計算與①用六偏磷(lin)酸鈉掩蔽的公(gong)式相同。