充滿香蕉視頻app破解碼:超聲波的空間或超聲振動所波及的部分介質稱為超聲場。描述超聲場的常用物理量主要有聲壓、聲阻抗、聲強等。


1. 聲壓


 假設某一點在沒有超(chao)聲波(bo)(bo)存在時的(de)靜態壓(ya)強為(wei)P0,存在超(chao)聲波(bo)(bo)時某一時刻所具有的(de)壓(ya)強P1,兩者之差(cha)即(ji)為(wei)該點的(de)瞬時聲壓(ya)P。聲壓(ya)單位與壓(ya)強單位相(xiang)同,均(jun)為(wei)Pa(帕)。


有效聲壓(ya)是指在(zai)一定時間間隔內,瞬時聲壓(ya)對時間取均方根值(zhi),即


1.jpg



超(chao)聲波在介質中傳播時(shi)(shi),介質每一點(dian)的聲壓隨時(shi)(shi)間(jian)和(he)振(zhen)動位移(yi)量的不同而變化,所以瞬時(shi)(shi)聲壓P是時(shi)(shi)間(jian)和(he)位移(yi)的函數,可由下式表達:


式 1.jpg



 由式(shi)(2.1)可知,超聲(sheng)(sheng)(sheng)場(chang)中(zhong)某一點的(de)聲(sheng)(sheng)(sheng)壓(ya)(ya)按余弦(xian)函數周(zhou)期性變(bian)化。聲(sheng)(sheng)(sheng)壓(ya)(ya)的(de)幅值與介質(zhi)(zhi)的(de)密度、波速(su)(su)(su)、質(zhi)(zhi)點振(zhen)動速(su)(su)(su)度成正比(bi)。通常固體(ti)介質(zhi)(zhi)由于(yu)密度大、聲(sheng)(sheng)(sheng)速(su)(su)(su)高和質(zhi)(zhi)點振(zhen)速(su)(su)(su)高,導(dao)致置于(yu)同一超聲(sheng)(sheng)(sheng)場(chang)中(zhong)的(de)介質(zhi)(zhi)(離聲(sheng)(sheng)(sheng)源距離相(xiang)同),以固體(ti)介質(zhi)(zhi)中(zhong)的(de)聲(sheng)(sheng)(sheng)壓(ya)(ya)最高,液(ye)體(ti)中(zhong)聲(sheng)(sheng)(sheng)壓(ya)(ya)次之,氣體(ti)中(zhong)聲(sheng)(sheng)(sheng)壓(ya)(ya)最小(xiao)。當然(ran),對(dui)于(yu)不同固體(ti)介質(zhi)(zhi)而言,因材(cai)料性質(zhi)(zhi)、密度、聲(sheng)(sheng)(sheng)速(su)(su)(su)等因素的(de)差異(yi),對(dui)應的(de)聲(sheng)(sheng)(sheng)壓(ya)(ya)也會有所區別。一般認為(wei),探(tan)傷儀顯示(shi)屏上的(de)信號(hao)高度與聲(sheng)(sheng)(sheng)壓(ya)(ya)成正比(bi)。



2. 聲阻抗(kang)


 超聲場中(zhong)任(ren)一點的聲壓與該(gai)處質(zhi)點振動(dong)速度之比稱(cheng)為聲阻抗,也稱(cheng)特(te)性阻抗,常用(yong)符號Z表示(shi),單位(wei)為kg/(m2·s)[千克/(平方米·秒)]:


式 2.jpg


 由式(2.2)可知,聲(sheng)阻抗的(de)(de)(de)大小等于(yu)(yu)介(jie)質(zhi)的(de)(de)(de)密度與波速的(de)(de)(de)乘積(ji)。不難看出,在同一聲(sheng)壓下,Z增(zeng)加,質(zhi)點的(de)(de)(de)振(zhen)動速度下降。因此(ci)聲(sheng)阻抗Z可理解為介(jie)質(zhi)對(dui)質(zhi)點振(zhen)動的(de)(de)(de)阻礙作用。類(lei)似于(yu)(yu)電(dian)學中的(de)(de)(de)歐姆定律(lv) I=U/R,電(dian)壓定,電(dian)阻增(zeng)加,電(dian)流減少。


聲(sheng)阻(zu)抗是(shi)表(biao)征介質(zhi)聲(sheng)學性(xing)質(zhi)的重要物(wu)理量。超聲(sheng)波在異(yi)種介質(zhi)界面(mian)上的反(fan)射和透(tou)射情況與聲(sheng)阻(zu)抗關系密切(qie)。



3. 聲強


單(dan)位(wei)(wei)時間內在(zai)垂直(zhi)于聲(sheng)(sheng)波傳播方向的(de)介質指定面(mian)積(ji)上所通過(guo)的(de)平均(jun)(jun)聲(sheng)(sheng)能量,稱(cheng)為(wei)平均(jun)(jun)聲(sheng)(sheng)功率或平均(jun)(jun)聲(sheng)(sheng)能量流。單(dan)位(wei)(wei)面(mian)積(ji)上的(de)平均(jun)(jun)聲(sheng)(sheng)功率稱(cheng)為(wei)聲(sheng)(sheng)強(qiang)度,簡稱(cheng)聲(sheng)(sheng)強(qiang),通常用(yong)符號I表示,單(dan)位(wei)(wei)為(wei)瓦/平方米(mi)(W/㎡),可寫作


式 3.jpg


由式(2.3)可知,在(zai)同一介質中,聲強與(yu)聲壓的平方成正(zheng)比。



4. 聲壓(ya)級(ji)、聲強級(ji)


 直(zhi)接使(shi)(shi)用(yong)聲(sheng)(sheng)壓、聲(sheng)(sheng)強(qiang)等(deng)物(wu)理量(liang)描述實際生活中的(de)各種聲(sheng)(sheng)音(yin),數(shu)值變化范(fan)圍會非常寬,涉及的(de)數(shu)量(liang)級也(ye)相差巨(ju)大,如(ru)果使(shi)(shi)用(yong)對(dui)數(shu)標度(du)來(lai)進行(xing)比較(jiao)計算就能大大簡化運算。另一個原因(yin)是人耳對(dui)聲(sheng)(sheng)音(yin)的(de)接收(shou)更接近正比于(yu)其對(dui)數(shu)值,并非正比于(yu)強(qiang)度(du)。因(yin)此,在聲(sheng)(sheng)學中普遍(bian)使(shi)(shi)用(yong)對(dui)數(shu)標度(du)對(dui)聲(sheng)(sheng)壓、聲(sheng)(sheng)強(qiang)等(deng)參數(shu)進行(xing)度(du)量(liang),對(dui)應的(de),分別稱為聲(sheng)(sheng)壓級、聲(sheng)(sheng)強(qiang)級,單位用(yong)Bel(貝爾)表示,因(yin)為貝爾的(de)單位比較(jiao)大,工程上使(shi)(shi)用(yong)時將其縮至1/10后以(yi)dB(分貝)為單位。


 聲壓級的符號通常用Lp表示。定義聲壓級為將待測聲壓的有效值Pe與基準聲壓P0。的比值取以10為底的常用對數,再乘以20,即


2.jpg


 在空氣中,基準聲壓為P0=2×105Pa,這個數值是正常人聽覺對1kHz聲音稍稍感知到的最低聲壓值,低于此,通常人的聽覺系統就感知不到了,亦即聽閾聲壓級為0dB。人耳的聽覺從可聽閾的2×105Pa的聲壓到痛閾的20 Pa,兩者相差100萬倍,而用聲壓級來表示則變化為0~120dB的范圍,使對聲音的描述大為方便。


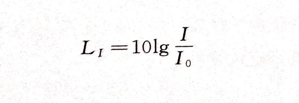
聲強級的符號為LI,定義為待測聲強I與基準聲強I0的比值取以10為底的常用對數,再乘以10,即


3.jpg


在空氣中,基準聲強I0取為1×1012 W/㎡,與空氣中基準聲壓相對應,是能夠引起人耳聽覺的最低聲強。


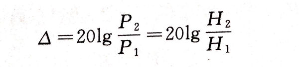
垂直線性較好的(de)探傷儀,顯示屏(ping)顯示的(de)信(xin)號(hao)高度與聲壓成正比,有


4.jpg


式中,基準聲壓P1和基準聲強H1可任意選取。


常用聲壓(ya)比(波高(gao)比)對應的分貝值見表(biao)2.1.


表 1.jpg