管件的(de)(de)尺寸分為以米制(zhi)單位(wei)表示的(de)(de)管件和(he)以英制(zhi)單位(wei)表示的(de)(de)管件兩個系(xi)列。


在(zai)米制單(dan)位表示的管(guan)件尺寸(cun)中,管(guan)件端部外徑(jing)(即與管(guan)子外徑(jing)相(xiang)配的坡口(kou)處外徑(jing))分為(wei)Ⅰ及(ji)Ⅱ兩個系(xi)列(lie)(lie),Ⅰ系(xi)列(lie)(lie)為(wei)國際(ji)通用(yong)系(xi)列(lie)(lie)。


由于米(mi)制單(dan)位(wei)(wei)和(he)英(ying)制單(dan)位(wei)(wei)的管件(jian)(jian)不能做(zuo)到(dao)精確的等(deng)同,因此使(shi)用者(zhe)(zhe)必須分別采用兩種單(dan)位(wei)(wei)制。對(dui)于尺寸為(wei)(wei)米(mi)制單(dan)位(wei)(wei)的管件(jian)(jian),其(qi)公稱尺寸用DN表(biao)示;對(dui)于尺寸為(wei)(wei)英(ying)制單(dan)位(wei)(wei)的管件(jian)(jian),其(qi)公稱尺寸用NPS表(biao)示。兩者(zhe)(zhe)之間的關系見表(biao)9-2。


2.jpg


1. 米制尺寸(cun)


長(chang)半徑彎頭型式見(jian)圖 9-1,尺寸(cun)見(jian)表(biao) 9-3 。


3.jpg

90°長半徑彎頭型(xing)式(shi)見圖 9-2,尺寸見表 9-4 。



90°短半徑彎頭型式見圖(tu) 9-3,尺(chi)寸見表 9-5 。


5.jpg


等徑三通和(he)四通型式見(jian)圖 9-4,尺寸見(jian)表(biao) 9-6 。



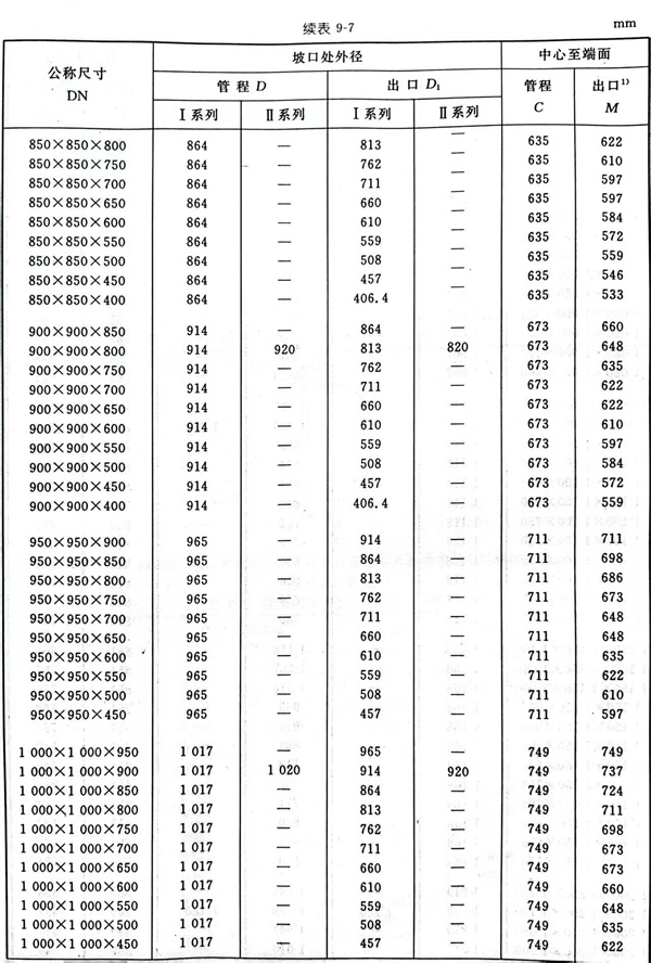
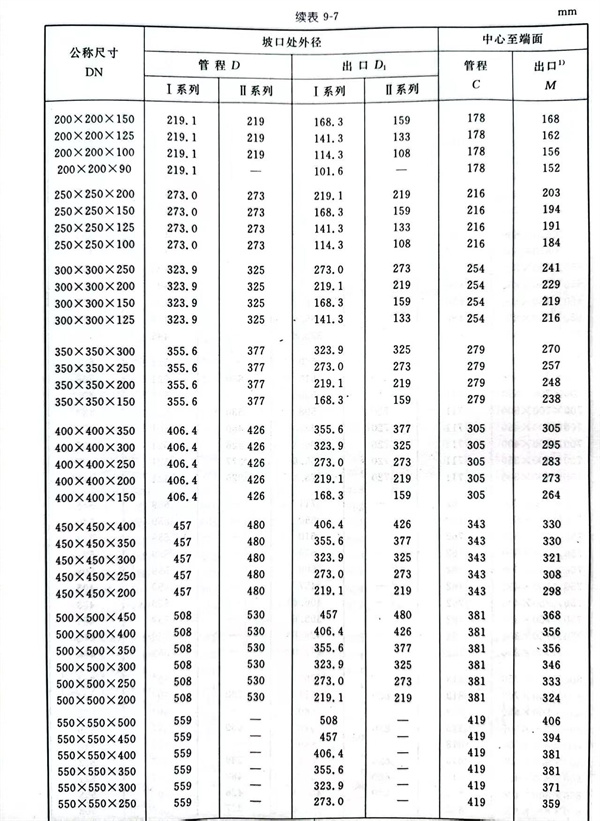
異徑三(san)通和四通型(xing)式見圖 9-5,尺寸見表 9-7 。



管帽型(xing)式見圖 9-6,尺寸(cun)見表 9-8 。



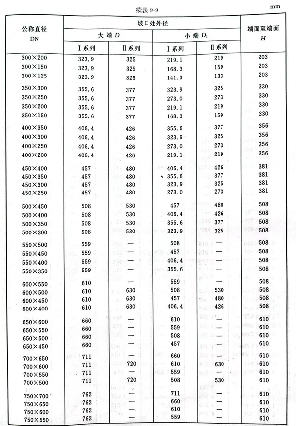
異徑接頭型式見圖(tu) 9-7,尺寸見表(biao) 9-9 。




2. 英制尺(chi)寸


長半徑彎頭型(xing)式見(jian)圖(tu) 9-8,尺寸見(jian)表 9-10 。


10.jpg


長半(ban)徑彎頭型式見圖 9-9,尺(chi)寸(cun)見表 9-11 。


11.jpg


短半徑彎頭型式見圖 9-10,尺(chi)寸見表 9-12 。



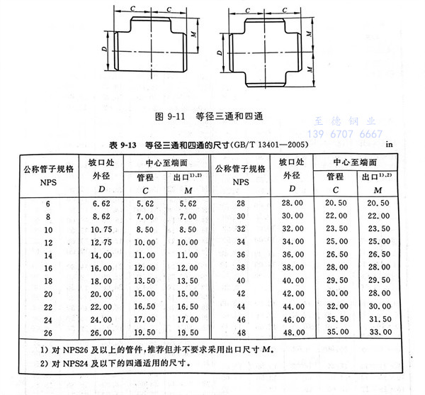
等徑三通和四(si)通型式見(jian)圖 9-11,尺寸見(jian)表(biao) 9-13 。


13.jpg

異徑三通和(he)四通型式見圖 9-12,尺寸見表 9-14 。



管(guan)帽(mao)型式見圖(tu) 9-13,尺寸見表 9-15 。


15.jpg

異(yi)徑接頭型式見(jian)圖 9-14,尺寸見(jian)表 9-16 。