鋼管的(de)壁厚計(ji)算(suan)方(fang)法,在(zai)ASME B31.3、GB 50316、SH/T 3509等標準規范中(zhong)均有詳(xiang)細(xi)的(de)介紹(shao)。鋼管壁厚的(de)表示方(fang)法在(zai)不(bu)同的(de)標準中(zhong)各不(bu)相(xiang)同,但主要有三種。


1. 以管子表(biao)號表(biao)示公稱壁厚 此種表(biao)示方(fang)法以ASME B36.10《焊接和無縫鋼管》為代表(biao)并為其他許多標準所采(cai)用,常以“Sch”標示。


  管子(zi)表號是管子(zi)設計壓力與設計溫度下材料(liao)許(xu)用應力的(de)比值乘以1000,并經(jing)圓整(zheng)后的(de)數(shu)值。


   ASME B36.10和(he)JIS標準中管子(zi)表號有:Sch10、Sch20、Sch30、Sch40、Sch60、Sch80、Sch100、Sch120、Sch140、Sch160。


   ASME B36.19中不銹(xiu)鋼管(guan)管(guan)子表號有(you):Sch5s、Sch1Os、Sch40s、Sch80s。


   中國石化(hua)集(ji)團公司(si)標準SH/T 3405中,無縫鋼管采用了(le)Sch20、Sch30、Sch40、Sch60、Sch80、Sch100、Sch120、Sch140、Sch160九個表(biao)號,不銹鋼管采用了(le)Sch5s、Sch10s、Sch20s、Sch40s、Sch80s五個表(biao)號。


   無縫鋼管(guan)和焊接鋼管(guan)的(de)管(guan)子表(biao)號可分(fen)別查(cha)圖4-1和圖4-2確定。


2. 以(yi)管子重量表示公稱壁厚(hou)


   美國(guo)MSS和(he)ASME也規(gui)定了(le)以管(guan)(guan)子重量(liang)表示(shi)壁厚的方法(fa),并將管(guan)(guan)子壁厚分為三種:標準重量(liang)管(guan)(guan),以STD表示(shi);加厚管(guan)(guan),以XS表示(shi);特厚管(guan)(guan),以XXS表示(shi)。


   對于DN≤250mm的管子(zi),Sch40相(xiang)當(dang)于STD;DN<200mm的管子(zi),Sch80相(xiang)當(dang)于XS。



3. 以(yi)鋼(gang)管(guan)壁厚(hou)(hou)值(zhi)表(biao)示公(gong)稱壁厚(hou)(hou) 中(zhong)國、ISO和日(ri)本部分鋼(gang)管(guan)標(biao)準采用了壁厚(hou)(hou)值(zhi)表(biao)示鋼(gang)管(guan)公(gong)稱壁厚(hou)(hou)。



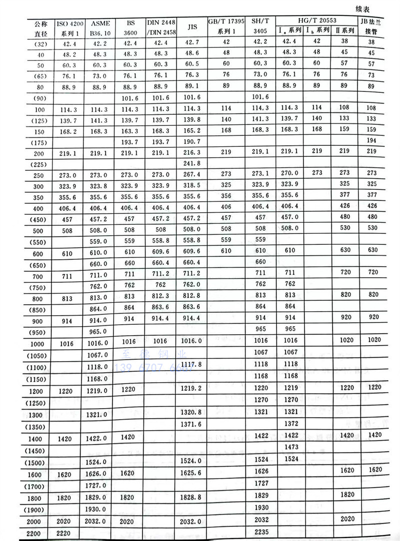
4.常(chang)用公稱直徑及相應(ying)管子標準及其外徑尺寸(cun)(表4-12)


12.jpg

12.1.jpg