本(ben)章所介紹的美國管(guan)件(jian)(jian)標(biao)(biao)準主要為美國機械(xie)工(gong)程師協會(即ASME)近期發布的最新(xin)標(biao)(biao)準,這些管(guan)件(jian)(jian)標(biao)(biao)準主要為:灰鑄鐵螺(luo)紋管(guan)件(jian)(jian)(ASME B16.4-1998)、可鍛鑄鐵螺(luo)紋管(guan)件(jian)(jian)(ASME B16.3-1998)、承插焊和螺(luo)紋連接鍛鋼(gang)(gang)制管(guan)件(jian)(jian)(ASME B16.11-2005)、工(gong)廠制造的鍛鋼(gang)(gang)對焊管(guan)件(jian)(jian)及鍛鋼(gang)(gang)制對焊短(duan)半(ban)徑(jing)彎頭和180°彎頭等。


  工廠制造的鍛(duan)鋼(gang)對焊管(guan)件 ASME B16.9-2003 標準


一、適用范圍


 1. 總則(ze)


   ASME B16.9-2003標準適用于規格為NPS1/2~NPS 48(DN 15~DN1200)的(de)工廠制造(zao)的(de)鍛制對(dui)焊管件的(de)總體尺寸、公差、壓力(li)等級、試驗(yan)及標志。


 2. 特(te)殊管件


   根據制造廠和使用方(fang)雙方(fang)協(xie)議(yi),可以制造特殊尺寸(cun)、規(gui)格(ge)、形狀及(ji)公差的管(guan)件。


 3. 管(guan)件制品


   采用環焊(han)縫(feng)或交叉焊(han)縫(feng)制(zhi)造(zao)的分(fen)支管(guan)件和(he)其他管(guan)件均屬管(guan)件制(zhi)品,并(bing)不屬于(yu)該標準的范(fan)圍。


   搭接短節制(zhi)品不受以上限制(zhi),只要(yao)其(qi)材(cai)料(liao)符(fu)合(he)20.4.4條所(suo)規定的可適用(yong)的ASTM材(cai)料(liao)規范的所(suo)有要(yao)求。


 4. 標準計量單位


   無論以米制為(wei)(wei)單(dan)位(wei)或以美國慣用單(dan)位(wei)(即英制單(dan)位(wei))表示(shi)的(de)數值都(dou)分別(bie)視為(wei)(wei)標準(zhun)值。


   在(zai)該標(biao)準的(de)(de)正文中英制(zhi)單(dan)位(wei)在(zai)括號內示出(chu)。由于兩種(zhong)單(dan)位(wei)制(zhi)所(suo)規(gui)定的(de)(de)數值不能(neng)做(zuo)到(dao)精(jing)確地相等,因此(ci),必須獨立(li)地分別(bie)使(shi)用每(mei)一種(zhong)單(dan)位(wei)制(zhi)。兩種(zhong)單(dan)位(wei)制(zhi)使(shi)用的(de)(de)混合(he)數值,將導致與該標(biao)準的(de)(de)不一致。


   無論是(shi)米制單位尺寸的(de)管(guan)件(jian)或(huo)是(shi)英制單位尺寸的(de)管(guan)件(jian),其規格的(de)標志都為NPS。管(guan)件(jian)壓(ya)力等級與相應規格和材料的(de)管(guan)子的(de)連(lian)接壁厚有關。


 5. 使用(yong)條件


   適合于特定流體使用(yong)條(tiao)件的(de)管件型式和材(cai)料(liao)的(de)選擇(ze)標(biao)準(zhun),不(bu)屬于本標(biao)準(zhun)的(de)范圍。


 6. 焊接


   安裝(zhuang)焊(han)接要(yao)求不屬于本(ben)標準的范圍。


 7. 質(zhi)量體系


   按ASME B16.9標準(zhun)(zhun)(zhun)制造(zao)的(de)產(chan)(chan)品(pin)(pin)應按質量體系(xi)程(cheng)序生產(chan)(chan),該程(cheng)序應遵循 ISO 9000系(xi)列的(de)某一適合的(de)標準(zhun)(zhun)(zhun)的(de)原則制定。制造(zao)廠(chang)有責(ze)任確定是否需要由一個獨(du)立的(de)組織機構對產(chan)(chan)品(pin)(pin)制造(zao)廠(chang)的(de)質量體系(xi)進行(xing)注冊/或認證。采購方在制造(zao)廠(chang)的(de)場(chang)所(suo)(suo)應能得到(dao)演(yan)示(shi)程(cheng)序符(fu)合性的(de)詳(xiang)細文(wen)件(jian)。應采購方的(de)請求,采購方可以得到(dao)產(chan)(chan)品(pin)(pin)制造(zao)廠(chang)提供的(de)其所(suo)(suo)使(shi)用的(de)該質量體系(xi)程(cheng)序的(de)書面(mian)概(gai)括說明。所(suo)(suo)謂產(chan)(chan)品(pin)(pin)制造(zao)廠(chang)是指按本標準(zhun)(zhun)(zhun)標志(zhi)或識別要求顯示(shi)在產(chan)(chan)品(pin)(pin)上的(de)完整廠(chang)名和商標。


 8. 修約


   為(wei)了確定(ding)符合(he)于本標準的目的,確定(ding)有效(xiao)數字值(zhi)(zhi)(zhi)(最(zui)大極限(xian)值(zhi)(zhi)(zhi)或(huo)最(zui)小極限(xian)值(zhi)(zhi)(zhi))的修約,規定(ding)應(ying)按ASTME29予(yu)以“圓整”。十進制的小數值(zhi)(zhi)(zhi)和(he)公(gong)差并不包(bao)含特殊的測量方法。


 9. 壓力等級標志(zhi)


   磅級(ji)(后面緊跟尺寸數字)是壓力-溫(wen)度等級(ji)的標志。對于本標準中所引用(yong)的ASME B16.5法(fa)蘭的標準,其標志為磅級(ji)150、300、900、1500及(ji)2500。



二(er)、 壓力等(deng)級


 1. 等(deng)級(ji)的基準

 

   按(an)本標(biao)準所(suo)(suo)規定的(de)管件的(de)允許壓(ya)力(li)等級,可以根據ASME B31《壓(ya)力(li)管道規范》中所(suo)(suo)規定的(de)規程,按(an)等同(tong)材料(liao)(liao)(按(an)相應材料(liao)(liao)規范的(de)化學成(cheng)分和機械(xie)性能比較所(suo)(suo)得出的(de))的(de)直(zhi)無縫(feng)管來(lai)計算。為了計算,應使用(yong)與(yu)管件相當的(de)管子規格、壁厚(hou)及材料(liao)(liao)的(de)應用(yong)數據。管件上的(de)管子規格、壁厚(hou)(或壁厚(hou)系列號)和材料(liao)(liao)標(biao)志(zhi)與(yu)壓(ya)力(li)等級標(biao)志(zhi)有關(guan)。


 2. 管件的設計


   管(guan)件的(de)(de)設計(ji)應按美(mei)國全國范圍(wei)內公認的(de)(de)壓力容器或管(guan)道規范中所包含的(de)(de)數(shu)學分(fen)析方法(例(li)如(ru)(ru),對彎頭按ASME B16.49)來確定,或按制造廠的(de)(de)意見,根據本標準的(de)(de)第9章采用(yong)驗證試(shi)驗方法進行。為了(le)滿足設計(ji)或制造要(yao)求(qiu),可以預料,成(cheng)型管(guan)件某(mou)些部分(fen)的(de)(de)壁(bi)厚可能(neng)需要(yao)比打算(suan)使用(yong)該管(guan)件的(de)(de)管(guan)子壁(bi)厚要(yao)厚。如(ru)(ru)果(guo)使用(yong),數(shu)學分(fen)析可以考(kao)慮這些較(jiao)厚部分(fen)。在制造的(de)(de)現(xian)場應能(neng)得到數(shu)學分(fen)析和/或合格的(de)(de)驗證試(shi)驗結果(guo)的(de)(de)記(ji)錄以供采購方檢查。



三、規格


   公稱(cheng)管(guan)件規格的(de)代號是NPS后跟無因次的(de)數字。NPS與國際(ji)標準中所使用的(de)標準公稱(cheng)通徑DN有關,它們之間的(de)關系見表20-40。


40.jpg



四(si)、材料


   本標準(zhun)(zhun)所包括的(de)(de)鍛(duan)(duan)(duan)制管件(jian)(jian)(jian)應(ying)遵循 ASTM A234、A403、A420、A815、B361、B363和(he)B366或ASME 鍋爐和(he)壓力容器(qi)規(gui)范第II卷中所列出的(de)(de)相應(ying)標準(zhun)(zhun)。術語“鍛(duan)(duan)(duan)制”是指(zhi)管件(jian)(jian)(jian)是由(you)管子、管材(cai)、板(ban)材(cai)或鍛(duan)(duan)(duan)件(jian)(jian)(jian)制造(zao)(zao)的(de)(de)。由(you)鍛(duan)(duan)(duan)坯制造(zao)(zao)的(de)(de)管件(jian)(jian)(jian)只能(neng)根據制造(zao)(zao)廠和(he)采購方的(de)(de)協議供貨(huo)。這種(zhong)管件(jian)(jian)(jian)不需要(yao)符合20.4.7條表面(mian)輪廓的(de)(de)要(yao)求。



五、尺寸


 1. 標(biao)準(zhun)尺寸


  本標準(zhun)為管件(jian)(jian)的焊接端提供了固定位置,不論是(shi)相對于管件(jian)(jian)的中心線還是(shi)總尺寸,其位置都不變。


  管(guan)件(jian)尺寸(cun)分米制和英(ying)制兩(liang)個系列。


   a. 米制尺(chi)(chi)寸(cun)的長半徑彎頭型式見(jian)圖20-33,尺(chi)(chi)寸(cun)見(jian)表(biao)20-41;英(ying)制尺(chi)(chi)寸(cun)的長半徑彎頭型式見(jian)圖20-33,尺(chi)(chi)寸(cun)見(jian)表(biao)20-42。


   b. 米制(zhi)尺寸(cun)的(de)長(chang)半徑(jing)異徑(jing)彎頭型式(shi)見圖20-34,尺寸(cun)見表20-43;英制(zhi)尺寸(cun)的(de)長(chang)半徑(jing)異徑(jing)彎頭型式(shi)見圖20-34,尺寸(cun)見表20-44。



   c. 米(mi)制尺(chi)寸的(de)長半徑180°彎頭型(xing)式(shi)(shi)見圖20-35,尺(chi)寸見表(biao)20-45;英制尺(chi)寸的(de)長半徑180°彎頭型(xing)式(shi)(shi)見圖20-35,尺(chi)寸見表(biao)20-46。


45.jpg


   d. 米(mi)制尺寸(cun)的短半徑彎頭型(xing)式見(jian)圖20-36,尺寸(cun)見(jian)表20-47;英(ying)制尺寸(cun)的短半徑彎頭型(xing)式見(jian)圖20-36,尺寸(cun)見(jian)表20-48。


47.jpg


   e. 米制(zhi)尺寸(cun)的短(duan)半(ban)(ban)徑(jing)180°彎頭型(xing)式見(jian)圖20-37,尺寸(cun)見(jian)表(biao)20-49;英制(zhi)尺寸(cun)的短(duan)半(ban)(ban)徑(jing)180°彎頭型(xing)式見(jian)圖20-37,尺寸(cun)見(jian)表(biao)20-50。


49.jpg

   f. 米制尺寸(cun)等徑三通和四通型式見(jian)圖20-38,尺寸(cun)見(jian)表(biao)20-51;英制尺寸(cun)等徑三通和四通型式見(jian)圖20-38,尺寸(cun)見(jian)表(biao)20-52。


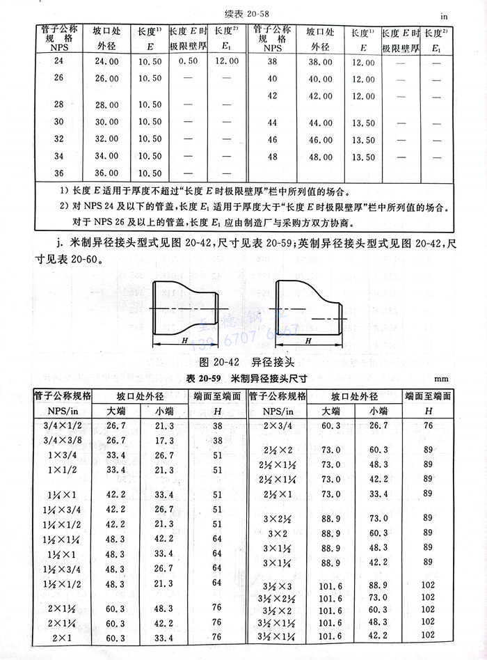
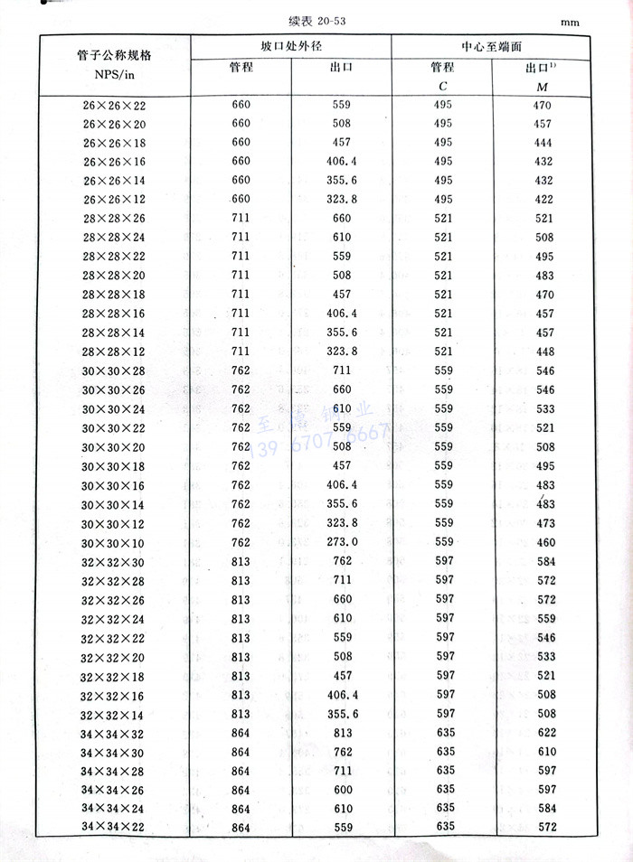
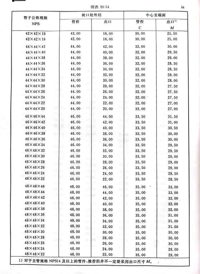
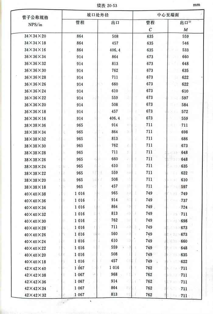
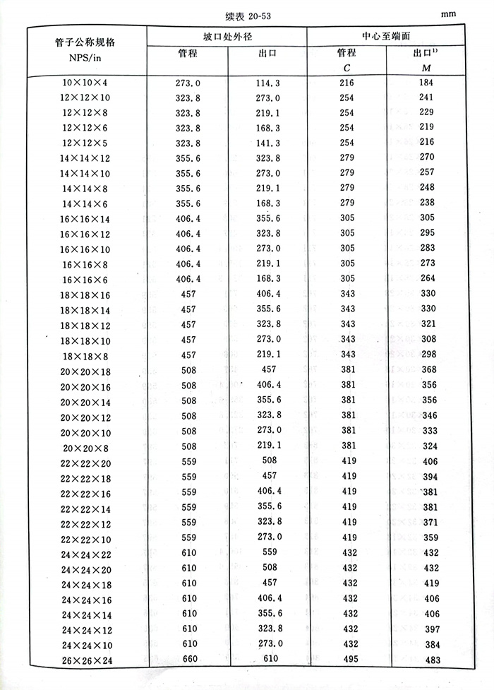
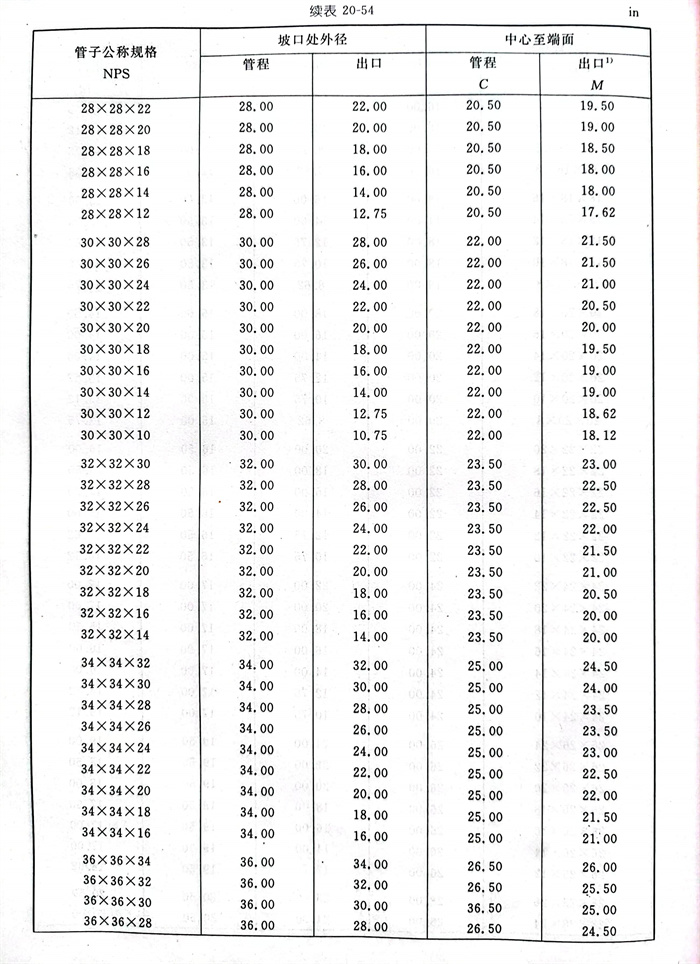
   g. 米制尺(chi)寸(cun)(cun)異徑(jing)出口三通(tong)(tong)和(he)異徑(jing)出口四通(tong)(tong)型式見(jian)圖20-39,尺(chi)寸(cun)(cun)見(jian)表(biao)20-53;英(ying)制尺(chi)寸(cun)(cun)異徑(jing)出口三通(tong)(tong)和(he)異徑(jing)出口四通(tong)(tong)型式見(jian)圖20-39,尺(chi)寸(cun)(cun)見(jian)表(biao)20-54。



   h. 米(mi)制(zhi)搭接短(duan)節型式見圖20-40,尺寸見表20-55;英(ying)制(zhi)搭接短(duan)節型式見圖20-40,尺寸見表20-56。



55.jpg

    ①. 當短(duan)形(xing)短(duan)節用300磅級(ji)(ji)和(he)600磅級(ji)(ji)的較大法蘭及大于等于900磅級(ji)(ji)的大部(bu)分規格(ge)法蘭時(shi);當長形(xing)短(duan)節用1500磅級(ji)(ji)和(he)2500磅級(ji)(ji)的較大法蘭時(shi),為了避免法蘭可(ke)能覆蓋(gai)焊縫(feng),可(ke)能需要增加(jia)搭接長度。長度的增加(jia)量由制(zhi)造廠與采(cai)購(gou)方雙方協商。

    ②. 當采用榫槽面(mian)(mian),凹凸面(mian)(mian)特殊(shu)端面(mian)(mian)時(shi),必(bi)須增加(jia)搭接(jie)邊的厚度,增加(jia)厚度應(ying)在基(ji)(ji)本(ben)長度F之外(不包(bao)括在基(ji)(ji)本(ben)長度內)。

    ③. 這(zhe)些尺寸(cun)應與ASME B16.5《管(guan)道法(fa)蘭(lan)(lan)和(he)法(fa)蘭(lan)(lan)管(guan)配件》中(zhong)搭接法(fa)蘭(lan)(lan)的規定(ding)半徑(jing)相符(fu)。

    ④. 該尺(chi)(chi)寸(cun)與ASMEB16.5中表示的標(biao)準機加(jia)工面(mian)一致。折邊的背(bei)面(mian)應(ying)進行機加(jia)工,使與其安裝表面(mian)一致。當采用(yong)環連接密封面(mian)時,使用(yong)ASME B16.5中給出的尺(chi)(chi)寸(cun)K。

56.jpg

    ①. 當(dang)短形(xing)短節(jie)用(yong)(yong)300磅級(ji)和(he)600磅級(ji)的(de)較(jiao)(jiao)大法(fa)蘭(lan)(lan)(lan)及大于等(deng)于900磅級(ji)的(de)大部分規格法(fa)蘭(lan)(lan)(lan)時;當(dang)長(chang)形(xing)短節(jie)用(yong)(yong)1500磅級(ji)和(he)2500磅級(ji)的(de)較(jiao)(jiao)大法(fa)蘭(lan)(lan)(lan)時,為了(le)避免法(fa)蘭(lan)(lan)(lan)可能覆蓋(gai)焊縫,可能需要增加搭接管(guan)的(de)長(chang)度(du)。長(chang)度(du)的(de)增加量由制(zhi)造廠(chang)與采(cai)購方雙方協(xie)商。

    ②. 當采(cai)用如榫槽(cao)面(mian),凹(ao)凸面(mian)特殊端面(mian)時,必須增(zeng)(zeng)加(jia)搭接邊的厚度(du)(du),增(zeng)(zeng)加(jia)厚度(du)(du)應在基本長(chang)度(du)(du)F之(zhi)外(不包括在基本長(chang)度(du)(du)內(nei))。

    ③. 這些尺(chi)寸應與(yu)ASME B16.5《管道(dao)法(fa)蘭(lan)和(he)法(fa)蘭(lan)管配(pei)件(jian)》中塔(ta)接(jie)法(fa)蘭(lan)的規定半徑相符。

    ④. 該尺寸與ASME B16.5中表(biao)(biao)示的標準機加工面(mian)一致。折邊的背面(mian)應進行機加工,使(shi)與其安裝表(biao)(biao)面(mian)一致。當(dang)采用(yong)環(huan)連接密封面(mian)時,使(shi)用(yong)ASMEB16.5中給出的尺寸K。


   i. 米制管(guan)蓋型式(shi)見(jian)圖20-41,尺寸(cun)見(jian)表20-57;英制管(guan)蓋型式(shi)見(jian)圖20-41,尺寸(cun)見(jian)表20-58。


   j. 米(mi)制異徑接頭型式見圖20-42,尺寸(cun)見表(biao)20-59;英制異徑接頭見圖20-42,尺寸(cun)見表(biao)20-60。



 2. 特(te)殊尺寸


  a. 疲勞載荷


    對于涉及疲勞(lao)載荷的應用情況(kuang),采(cai)購方應提(ti)供(gong)所要求的最小尺寸。


  b. 鉆孔直徑


    不(bu)在端部的鉆孔(kong)直徑不(bu)作規定。如果需要特殊的流程要求,采購方(fang)應(ying)規定鉆孔(kong)尺(chi)寸(cun)。


  C. 短節(jie)


    使用條件(jian)和接頭結(jie)構通常支配短節長度(du)要(yao)求。因此(ci),在訂購(gou)時,采(cai)購(gou)方必須規定是(shi)長形還(huan)是(shi)短形管件(jian)。



六、公(gong)差


  管件(jian)公(gong)(gong)差(cha)有米制(zhi)尺寸公(gong)(gong)差(cha)及英制(zhi)尺寸公(gong)(gong)差(cha)兩種。米制(zhi)管件(jian)公(gong)(gong)差(cha)見圖20-43及表20-61;英制(zhi)管件(jian)公(gong)(gong)差(cha)見圖20-43及表20-62。


    ①. 端部內徑和公(gong)稱壁(bi)厚由采(cai)購方(fang)規定。

    ②. 除非采購方規定各種壁厚公差否則就采用公稱壁厚的87.5%,見圖20-45的腳注1)(a)。

    ③. 不圓度為正偏差和負偏差絕對值之和。

    ④. 當需要增加壁厚以滿足20.4.2.2條的設計要求時,該公差可能不適用于成型管件的固定區域。

    ⑤. 除非采購方另有規定,否則這些公差適用于公稱內徑等于公稱外徑減去兩倍公稱壁厚的場合。

    ⑥. 筒部外徑的極限尺寸見表20-55。


62.jpg

    ①. 端部內徑和公稱壁厚由采購方規定。

    ②. 除非采購方規定各種壁厚公差否則就采用公稱壁厚的87.5%。見圖20-45的腳注1)(a)。

    ③. 不圓度為正偏差和負偏差絕對值之和。

    ④. 當需要增加壁厚以滿足20.4.2.2條的設計要求時,該公差可能不適用于成型管件的固定區域。

    ⑤. 除非采購方另有規定,這些公差適用于公稱內徑(等于公稱外徑減去兩倍公稱壁厚)的場合。

    ⑥. 筒部外徑的極限尺寸見表20-56。



七、表(biao)面輪廓線(xian)


   當管件上(shang)相鄰的(de)(de)開孔(kong)不在平(ping)行平(ping)面上(shang),應(ying)用一段圓(yuan)(yuan)弧(hu)(hu)或(huo)半徑將外表面連(lian)接(jie)上(shang)。圓(yuan)(yuan)弧(hu)(hu)或(huo)半徑可以終止在切點處。除作為鍛坯(pi)提供(gong)的(de)(de)管件外(見20.4.4條),管件外表面的(de)(de)設計輪廓應(ying)無尖銳的(de)(de)橫斷圓(yuan)(yuan)弧(hu)(hu)及/或(huo)折疊圓(yuan)(yuan)弧(hu)(hu)。



八、端部(bu)制備


  除非另(ling)有規定,管件焊(han)接端部(bu)的制(zhi)備(包括焊(han)接端部(bu)坡(po)口(kou)形狀及尺寸以(yi)及焊(han)接端部(bu)過渡(du)部(bu)分的最大包絡(luo)線)按以(yi)下規定:


   a. 焊(han)接(jie)端部坡(po)口形狀及尺(chi)寸見圖20-44,焊(han)接(jie)坡(po)口和鈍邊見表20-63。


   b. 焊接(jie)端部過渡(du)部分的最大包(bao)絡(luo)線見圖20-45。


   除圖(tu)20-45(焊(han)接端部過(guo)渡段的最大包(bao)絡線)腳注5)所包(bao)括(kuo)情況或(huo)除非特殊訂貨外(wai),在(zai)圖(tu)20-45所示(shi)的最大包(bao)絡線的范圍(wei)內(nei),由焊(han)接坡口到(dao)(dao)管件的外(wai)表(biao)面、以及由鈍邊到(dao)(dao)管件的內(nei)表(biao)面的過(guo)渡,由制造廠自(zi)定。





九、設(she)計(ji)驗證試驗


 1. 要求的試驗


   當制造廠(chang)選擇驗(yan)證試(shi)驗(yan)以(yi)考核(he)管件設計質量時,應按(an)本(ben)標準的規(gui)定進行驗(yan)證試(shi)驗(yan)。除非制造廠(chang)和采購方之(zhi)間(jian)另(ling)有協議,驗(yan)證試(shi)驗(yan)應是依據管件及其他連接(jie)管道(dao)的計算爆破(po)壓力進行的一種(zhong)試(shi)驗(yan)。


   搭(da)接短(duan)(duan)節(jie)免做驗證試驗。因為搭(da)接短(duan)(duan)節(jie)在法蘭(lan)組件中使用,它有著不同的(de)壓力等級(ji),并取決于(yu)操(cao)作(zuo)要求。


 2. 試驗(yan)組裝件


   a.樣(yang)品件(jian)(jian) 作(zuo)為產品樣(yang)品并已經被選來(lai)作(zuo)試驗(yan)的管件(jian)(jian),應驗(yan)明(ming)材料、等(deng)級和批量,包(bao)括(kuo)熱處理(li)。管件(jian)(jian)應經過尺寸檢(jian)驗(yan),并符合本標準(zhun)的要求。


   b. 其他零件(jian)(jian)應將計(ji)算爆破壓(ya)力至(zhi)少(shao)與按20.4.9.3條規定計(ji)算得出的驗證試(shi)驗壓(ya)力同樣大(da)小的直無縫管(guan)或焊接管(guan)的管(guan)段焊接到(dao)待試(shi)驗的管(guan)件(jian)(jian)各端。任何(he)內(nei)圓不圓度大(da)于(yu)1.5 mm(0.06 in.)的管(guan)子都應采用(yong)斜(xie)度不大(da)于(yu)1:3的鏜削加工(gong),減少(shao)其不圓度。這些管(guan)段的截(jie)止長度按以(yi)下規定:


    對于NPS 14(DN 350)及以下的(de)管(guan)件,管(guan)子的(de)最小長度應與管(guan)子的(de)外徑相等(deng)。


    對于(yu)大(da)于(yu)NPS 14(DN 350)的(de)管件,管子的(de)最小長度應(ying)為管子外徑(jing)的(de)一半。


 3. 試(shi)驗方法(fa)


   水(shui)壓(ya)試(shi)(shi)(shi)驗(yan)(yan)用的試(shi)(shi)(shi)驗(yan)(yan)流體應為水(shui)或(huo)其他液體。應對(dui)試(shi)(shi)(shi)驗(yan)(yan)組裝(zhuang)件施(shi)加水(shui)壓(ya)。當試(shi)(shi)(shi)驗(yan)(yan)組裝(zhuang)件能經受住(zhu)按(an)下式(shi)計(ji)算得到(dao)的驗(yan)(yan)證試(shi)(shi)(shi)驗(yan)(yan)壓(ya)力的105%而不發生破裂(lie)時(shi),即(ji)滿足驗(yan)(yan)證試(shi)(shi)(shi)驗(yan)(yan)要求(qiu)。


      P=2 St/D


      式中:D-管(guan)子的公(gong)稱外徑(jing);


     P-管(guan)子的最小計算驗證試驗壓(ya)力;


     S-試(shi)驗(yan)(yan)管(guan)(guan)件的(de)實測(ce)抗(kang)拉(la)強(qiang)度(du)(du),該抗(kang)拉(la)強(qiang)度(du)(du)從(cong)試(shi)驗(yan)(yan)管(guan)(guan)件的(de)有代表性的(de)樣品上測(ce)出。試(shi)驗(yan)(yan)管(guan)(guan)件的(de)實測(ce)抗(kang)拉(la)強(qiang)度(du)(du)應滿足20.4.4條中所規定的(de)適用材(cai)料的(de)抗(kang)拉(la)強(qiang)度(du)(du)要求。


     t一管件標志識別的公稱管壁(bi)厚度。


     注:可(ke)使用(yong)任何一種(zhong)和(he)尺寸(cun)上(shang)相(xiang)符(fu)合的單位制。


 4. 試驗結果的可用性


  不需(xu)要對規格(ge)、壁厚及材(cai)料(liao)的(de)所(suo)有組合管(guan)(guan)件進行逐一試(shi)驗。在一個(ge)代(dai)表性管(guan)(guan)件上得出的(de)合格(ge)驗證試(shi)驗可代(dai)表以下所(suo)述(shu)范圍內的(de)其他相同形式的(de)管(guan)(guan)件。


  a. 規格(ge)范圍


   一個試驗管(guan)(guan)件(jian)(jian)可用來評定(ding)或考(kao)核規格(ge)為(wei)試驗管(guan)(guan)件(jian)(jian)規格(ge)的(de)(de)0.5倍到2倍的(de)(de)類似比例的(de)(de)管(guan)(guan)件(jian)(jian)。非異徑管(guan)(guan)件(jian)(jian)試驗可用以對(dui)相同模型的(de)(de)等徑管(guan)(guan)件(jian)(jian)進行評定(ding)或考(kao)核。


  b. 厚度范圍


   一個試驗管件(jian)可以用來對t/D比值為(wei)試驗管件(jian)的(de)0.5倍到3倍的(de)類似比例的(de)管件(jian)進行評(ping)定或考核。


  c. 材料等級


   由各種(zhong)(zhong)級(ji)別(bie)鋼材制造(zao)的(de)幾何尺寸相(xiang)同的(de)管件,其承壓能(neng)力直接(jie)與(yu)各種(zhong)(zhong)級(ji)別(bie)材料(liao)(liao)的(de)抗拉強度成正比(bi),見20.4.2.1條。因此,只需試驗單(dan)一材料(liao)(liao)級(ji)別(bie)的(de)樣品(pin)管件以驗證該管件的(de)設計(ji)。



十、產品試驗


   本標準不要求(qiu)對鍛鋼管件(jian)進行水(shui)壓試驗。所(suo)(suo)有管件(jian)都應能(neng)承受與該管件(jian)的(de)(de)NPS、壁厚及標志在管件(jian)上的(de)(de)材(cai)料級別相(xiang)當的(de)(de)無(wu)縫鋼管適(shi)用規范所(suo)(suo)要求(qiu)的(de)(de)水(shui)壓試驗壓力,而(er)無(wu)泄(xie)漏或有損使用性(xing)能(neng)的(de)(de)缺陷。



十一、標志


 1. 標準標志


  每個(ge)管件(jian)都應作永久性標(biao)志以表明以下內(nei)容(rong):


   a. 制造廠的名(ming)稱或商標(biao);


   b. 材料(liao)標識,ASTM或ASME級別符(fu)號(hao);


   c. 壁厚(hou)序列號或以mm為(wei)單(dan)位的公稱壁厚(hou);


   d. 規格(ge)一一應使用與端部連接有關的管子公稱規格(ge)(NPS)識別號;


   e. 符合性(xing)一一對于標(biao)準管件(jian)和(he)特(te)殊管件(jian)標(biao)志見20.4.11.4條(tiao)。


  制造廠可采用包括DN規格符號(hao)等其他標志來補充強制性標志,但是應避免(mian)與要求的標志混淆。


  注:壁厚(hou)系列號(hao)是在(zai)訂購(gou)管子(zi)(zi)和管件時(shi)使(shi)用的(de)一(yi)(yi)種方便的(de)代(dai)號(hao),是一(yi)(yi)個(ge)無尺寸(cun)單位的(de)數(shu)字。它(ta)通(tong)常與一(yi)(yi)組標準管壁厚(hou)有聯系。對于管子(zi)(zi)的(de)壁厚(hou)系列號(hao)的(de)整(zheng)個(ge)細節見(jian) ASME B36.10M及ASME B36.19M。


 2. 例外情況(kuang)


  當(dang)管件的規格不允許進(jin)行完整標(biao)志時,可逆上述內容順序省略識別標(biao)識。


 3. 鋼印深(shen)度(du)


   在使(shi)用鋼印處,應注意鋼印不要過深或太尖而產生裂紋或使(shi)管件的壁(bi)厚減少到小于允許的最小壁(bi)厚。


 4. 符合性


  a. 標(biao)準管(guan)件


   按符合本標準制造的管件,包括所(suo)有尺寸(cun)在內,在材料級(ji)別號標志(zhi)中加(jia)“WP”前綴(zhui)進行識別。


  b. 特殊管件


   按(an)符合(he)本標準制造(zao)的管件,除了尺寸(cun)要求是按(an)采購方和制造(zao)廠之間(jian)的協議外,用補充后綴(zhui)至如下材料級別號標志中來進(jin)行識別:


   對于符合 ASTM A234、A403、A420及A815的管件(jian),采用“S9”標(biao)志;


   對于符合(he)ASTM B361、B363及B366的管件,采用“SPLD”標(biao)志。




聯系方式.jpg