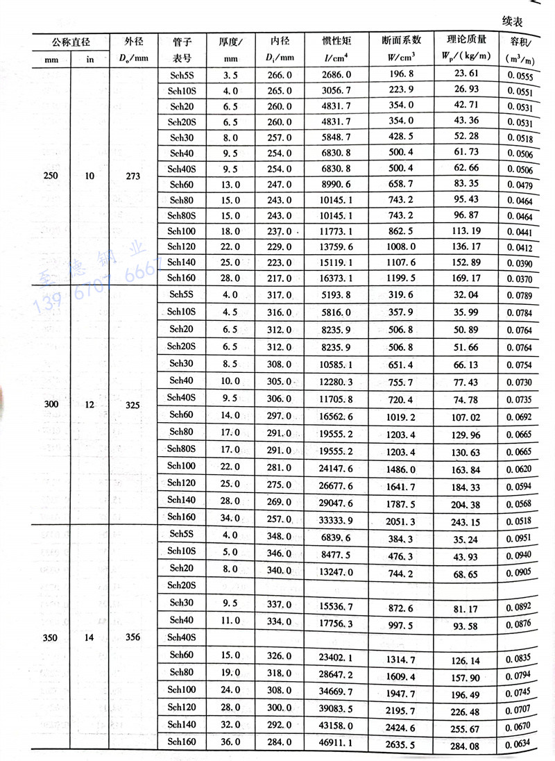
中國石化行業標準碳素鋼、低合金鋼、合金鋼、奧氏體不銹鋼(gang)無(wu)縫鋼(gang)管尺寸及特性數據見表4.1.14。
表4.1.14 中國石化行(xing)業標準(zhun)碳(tan)素鋼(gang)、低合金(jin)鋼(gang)、合金(jin)鋼(gang)、奧氏體不銹鋼(gang)無縫鋼(gang)管尺寸(cun)及特性(xing)數據
發布日期:2024-05-06 14:42:09 人氣:366
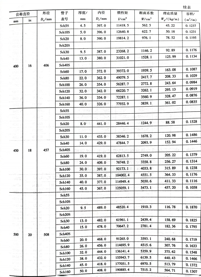
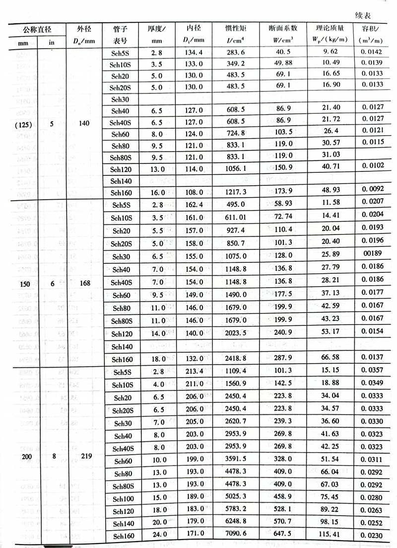
中國石化行業標準碳素鋼、低合金鋼、合金鋼、奧氏體不銹鋼(gang)無(wu)縫鋼(gang)管尺寸及特性數據見表4.1.14。
表4.1.14 中國石化行(xing)業標準(zhun)碳(tan)素鋼(gang)、低合金(jin)鋼(gang)、合金(jin)鋼(gang)、奧氏體不銹鋼(gang)無縫鋼(gang)管尺寸(cun)及特性(xing)數據