氣相滲氮過程可(ke)分(fen)為三個環(huan)節(jie),如圖2-1所示(shi),即(ji)氣體(ti)向熔(rong)體(ti)表面的轉移、吸附(fu)解(jie)離和向熔(rong)體(ti)中傳質:


(1) 氮氣(qi)由氣(qi)相向熔體(ti)表面轉(zhuan)移。


(2) 在氮氣-熔體界(jie)面上的化(hua)學反應(吸附和解(jie)離(li))


(3) 氮(dan)在(zai)液相側(ce)的傳質(zhi)。


通常認為,氮氣(qi)從氣(qi)相向熔(rong)體表面的傳(chuan)質過程比(bi)界面反(fan)應和(he)(he)液相側(ce)的傳(chuan)質過程要快得多。環節(1)的發生速度很(hen)快,不(bu)會成(cheng)為滲氮過程的限制性(xing)環節。熔(rong)體的氣(qi)相滲氮速率主要受限于環節(2)和(he)(he)(3).


圖 1.jpg


一、氮溶解動力(li)學模型


 根據氮(dan)溶解速率(lv)限制性(xing)環節的不(bu)同,分別(bie)建立以(yi)下兩類(lei)氮(dan)溶解動力學模型。


若(ruo)氣相滲氮傾向于由界面反(fan)應環(huan)節控制(zhi),則氣相滲氮速率可以表示為(wei)



  綜(zong)上(shang)(shang)所述,氣(qi)相滲(shen)氮(dan)的(de)力學(xue)模(mo)型(xing)(xing)主要分為(wei)以上(shang)(shang)兩種(zhong)。其中,對于氮(dan)氣(qi)-熔體界(jie)面(mian)上(shang)(shang)的(de)化學(xue)反應控制模(mo)型(xing)(xing)的(de)研究居多。此(ci)外,基(ji)于動(dong)力學(xue)模(mo)型(xing)(xing),國內(nei)外學(xue)者對合金成分、溫度、氮(dan)氣(qi)壓力和表面(mian)活性元(yuan)素等四(si)類主要影響因素進行了(le)更詳細的(de)研究。



二、合金元(yuan)素成(cheng)分對(dui)氮溶解動力學的影響(xiang)


  相(xiang)(xiang)比(bi)于(yu)氮溶解熱力(li)學,氮溶解動力(li)學的(de)(de)(de)研究(jiu)(jiu)尚不(bu)完善。目前(qian),文獻中對(dui)于(yu)氣(qi)(qi)相(xiang)(xiang)滲(shen)氮動力(li)學的(de)(de)(de)研究(jiu)(jiu)大多(duo)僅基于(yu)純鐵液或(huo)簡單(dan)的(de)(de)(de)鐵基二(er)元合金,尚未對(dui)多(duo)元合金體(ti)系(xi)的(de)(de)(de)氮溶解動力(li)學進(jin)行深入研究(jiu)(jiu)。在相(xiang)(xiang)同的(de)(de)(de)冶煉條件下(xia),不(bu)同合金體(ti)系(xi)的(de)(de)(de)氣(qi)(qi)相(xiang)(xiang)滲(shen)氮反應(ying)速率常(chang)數不(bu)同,主要有如(ru)下(xia)三種可能的(de)(de)(de)原因:


   ①. 不同合(he)(he)金(jin)元素具有不同的(de)原子結構,導(dao)致(zhi)在氣(qi)-液界面處的(de)表面空位數不同,空位活性(xing)是衡量氮在鐵(tie)或合(he)(he)金(jin)元素產(chan)生的(de)每(mei)個吸附位處解離速度(du)的(de)量度(du),因此(ci)改變熔融(rong)合(he)(he)金(jin)成分將對氮溶解過程中氮分子的(de)解離速度(du)產(chan)生影(ying)響,表現為氣(qi)相滲(shen)氮反(fan)應速率常數的(de)差異;


   ②. 合金元素的表(biao)面(mian)活性不同(tong),因此占據(ju)氣-液(ye)界面(mian)的摩爾分(fen)數(shu)不同(tong),表(biao)面(mian)空位數(shu)也不同(tong),從(cong)而影響熔(rong)體(ti)的氣相(xiang)滲氮反應速率常數(shu);


   ③. 不同合金元素(su)對氧和(he)硫的吸附系數(shu)也有(you)所不同,因此氣-液界面處的表面空位數(shu)不相同,從(cong)而影響熔(rong)體的氣相滲氮反應(ying)速率常(chang)數(shu)。


  Ono等(deng)通過(guo)同位(wei)素(su)(su)交換技術研(yan)究了(le)Ti、Zr和V等(deng)氮具有更強親和力的合金元素(su)(su)對氣(qi)相滲(shen)氮速率(lv)的影(ying)響(xiang)。結果表明(ming),相比(bi)于Fe元素(su)(su),Ti、Zr和V等(deng)元素(su)(su)能夠(gou)明(ming)顯提升滲(shen)氮速率(lv),其原因可通過(guo)增加氣(qi)-液界面處(chu)表面空位(wei)的活性來解釋。相反,針對A1、Si等(deng)元素(su)(su)影(ying)響(xiang)的研(yan)究表明(ming),這些元素(su)(su)由于降(jiang)低氣(qi)-液界面處(chu)表面空位(wei)的活性而降(jiang)低了(le)氣(qi)相滲(shen)氮速率(lv)。


43.jpg


  根(gen)據 Ono-Nakazato等(deng)351的(de)研究(jiu),在(zai)1973K下二元合金(jin)(jin)中(zhong)的(de)合金(jin)(jin)元素在(zai)熔(rong)(rong)體表面(mian)與熔(rong)(rong)體中(zhong)摩爾(er)分(fen)數之間(jian)的(de)關系(xi)如(ru)圖2-23所示。從中(zhong)選擇Mn、Cu和Mo等(deng)表面(mian)相(xiang)(xiang)與本體相(xiang)(xiang)中(zhong)摩爾(er)分(fen)數差異較大的(de)合金(jin)(jin)元素進(jin)行氣相(xiang)(xiang)滲(shen)氮動力學研究(jiu),并利(li)用同(tong)位素交(jiao)換技(ji)術在(zai)1973K下進(jin)行了實驗,通過(guo)研究(jiu)氣相(xiang)(xiang)滲(shen)氮反(fan)應速率常數與表面(mian)相(xiang)(xiang)中(zhong)摩爾(er)分(fen)數的(de)關系(xi)討論了影(ying)響機理。


53.jpg


 1973K下,[%O]=0.0020時各種(zhong)合(he)金元(yuan)素(su)相(xiang)對(dui)(dui)于(yu)鐵的(de)(de)(de)空位活(huo)度(du)系(xi)(xi)數(shu)如(ru)圖2-24所示。同時將各種(zhong)合(he)金元(yuan)素(su)的(de)(de)(de)y.值(zhi)與(yu)滲氮(dan)熱力(li)學中合(he)金元(yuan)素(su)對(dui)(dui)氮(dan)的(de)(de)(de)活(huo)度(du)相(xiang)互(hu)作用系(xi)(xi)數(shu)進行了(le)對(dui)(dui)比(bi)。可以(yi)看出,合(he)金元(yuan)素(su)Mn、Mo的(de)(de)(de)y.值(zhi)均為(wei)正(zheng)值(zhi),且數(shu)值(zhi)大(da)于(yu)1,表明Mn、Mo相(xiang)對(dui)(dui)于(yu)Fe具有更強的(de)(de)(de)提(ti)供空位的(de)(de)(de)能力(li);而(er)Cu、Al和(he)Si等合(he)金元(yuan)素(su)則(ze)相(xiang)反,其(qi)含量(liang)的(de)(de)(de)增(zeng)加(jia)會(hui)降低熔體表面空位的(de)(de)(de)活(huo)性。合(he)金元(yuan)素(su)的(de)(de)(de)r.值(zhi)與(yu)其(qi)對(dui)(dui)氮(dan)的(de)(de)(de)活(huo)度(du)相(xiang)互(hu)作用系(xi)(xi)數(shu)之間存在線性關系(xi)(xi),例如(ru),Mn、Mo等與(yu)氮(dan)具有較強親和(he)力(li)的(de)(de)(de)元(yuan)素(su)的(de)(de)(de)y.值(zhi)較大(da),對(dui)(dui)氮(dan)的(de)(de)(de)活(huo)度(du)相(xiang)互(hu)作用系(xi)(xi)數(shu)則(ze)較小(xiao),為(wei)負(fu)值(zhi);Cu、Al和(he)Si等的(de)(de)(de)y.值(zhi)較小(xiao),對(dui)(dui)氮(dan)的(de)(de)(de)活(huo)度(du)相(xiang)互(hu)用系(xi)(xi)數(shu)較大(da),為(wei)正(zheng)值(zhi)。


圖 24.jpg


  相對于Fe,具有(you)較大(da)y.值(zhi)的(de)(de)合(he)金元素能夠增加(jia)熔體(ti)表面空(kong)位的(de)(de)活(huo)性,促進氮氣分(fen)子在表面空(kong)位處的(de)(de)吸附和離(li)解過(guo)程,從(cong)而增大(da)氣相滲(shen)氮反(fan)(fan)應(ying)速率常(chang)數。圖2-25總(zong)結(jie)了(le)熔融合(he)金中(zhong)各合(he)金元素的(de)(de)摩爾分(fen)數對氣相滲(shen)氮反(fan)(fan)應(ying)速率常(chang)數的(de)(de)影(ying)響,圖中(zhong)縱坐標k/k純(chun)鐵液的(de)(de)數值(zhi)表征了(le)元素相對于Fe元素對氣相滲(shen)氮反(fan)(fan)應(ying)速率常(chang)數的(de)(de)影(ying)響。


  相(xiang)對于(yu)鐵(tie)的(de)(de)空位活度系(xi)數k/k純鐵(tie)液值(zhi)大于(yu)1時,元素對氮的(de)(de)親(qin)和力比(bi)鐵(tie)強,具有增大氣(qi)相(xiang)滲(shen)氮反應速率(lv)常(chang)數的(de)(de)作(zuo)(zuo)用,如Ti、Zr、V、Mn、Cr和Mo等;其他(ta)k/k純鐵(tie)液值(zhi)小于(yu)1的(de)(de)元素,如B、Si、Al和Cu等,則對氮的(de)(de)排斥力較強,相(xiang)比(bi)于(yu)Fe具有降低氣(qi)相(xiang)滲(shen)氮反應速率(lv)常(chang)數的(de)(de)作(zuo)(zuo)用。


圖 25.jpg



三、溫(wen)度對氮溶解動力學的(de)影響


  關于溫(wen)度對(dui)氮(dan)溶解動力學的(de)(de)影響,研(yan)究人員(yuan)的(de)(de)研(yan)究結果相(xiang)(xiang)對(dui)一致,即(ji)隨(sui)著冶煉溫(wen)度的(de)(de)升高,氣相(xiang)(xiang)滲氮(dan)反(fan)應(ying)(ying)速率(lv)常(chang)數增大,滲氮(dan)速率(lv)增快。在反(fan)應(ying)(ying)速率(lv)理論的(de)(de)發展過程中,先后形成(cheng)了碰(peng)撞理論、過渡態理論和單分子反(fan)應(ying)(ying)理論等。根據廣(guang)泛認可的(de)(de)碰(peng)撞理論,氣相(xiang)(xiang)滲氮(dan)反(fan)應(ying)(ying)速率(lv)常(chang)數可以表示為(wei)


55.jpg


  提高(gao)(gao)冶煉溫度(du),氣(qi)相(xiang)中(zhong)氮(dan)(dan)(dan)氣(qi)分(fen)(fen)(fen)(fen)(fen)(fen)子(zi)(zi)和熔體中(zhong)各組分(fen)(fen)(fen)(fen)(fen)(fen)的(de)熱運(yun)動更加(jia)劇(ju)烈,大大增加(jia)了(le)氮(dan)(dan)(dan)分(fen)(fen)(fen)(fen)(fen)(fen)子(zi)(zi)的(de)碰撞(zhuang)頻率;同時,高(gao)(gao)溫下氮(dan)(dan)(dan)氣(qi)分(fen)(fen)(fen)(fen)(fen)(fen)子(zi)(zi)更易(yi)獲得能(neng)量,使得部(bu)分(fen)(fen)(fen)(fen)(fen)(fen)原本能(neng)量較(jiao)低的(de)氮(dan)(dan)(dan)氣(qi)分(fen)(fen)(fen)(fen)(fen)(fen)子(zi)(zi)變(bian)為活化氮(dan)(dan)(dan)氣(qi)分(fen)(fen)(fen)(fen)(fen)(fen)子(zi)(zi),活化氮(dan)(dan)(dan)氣(qi)分(fen)(fen)(fen)(fen)(fen)(fen)子(zi)(zi)數(shu)量的(de)增多也增大了(le)有效碰撞(zhuang)分(fen)(fen)(fen)(fen)(fen)(fen)數(shu)。碰撞(zhuang)頻率和有效碰撞(zhuang)分(fen)(fen)(fen)(fen)(fen)(fen)數(shu)均隨溫度(du)的(de)升高(gao)(gao)而增大,從而增大了(le)氣(qi)相(xiang)滲氮(dan)(dan)(dan)反應速率常數(shu)。


  東北大學特殊鋼冶金研究所在1個大氣壓力下、1520~1580℃范圍內對奧氏體不銹鋼進行了氣相滲氮動力學研究,實驗用鋼的化學成分如表2-6所示。通過分析實驗數據可以發現,實驗條件下鋼液滲氮速率受界面反應控制。根據前述界面反應控制對應的氣相滲氮動力學模型,得到奧氏體不銹鋼在101kPa,1520℃、1550℃和1580℃溫度下的氣相滲氮公式分別如式(2-57)~式(2-59)所示。在氮氣壓力為101kPa時,不同溫度和滲氮時間下氮含量的實測值與模型計算值的對比如圖2-26所示。根據相應的氣相滲氮反應速率常數k與熔煉溫度的關系(圖2-27),可以看出k的值隨溫度的升高而增大,即高溫下氣相滲氮反應更快。





  國外學者Han等(deng)(deng)、Ono等(deng)(deng)和Kobayashi等(deng)(deng)也開展(zhan)了關(guan)于(yu)溫(wen)度(du)(du)對(dui)(dui)滲(shen)(shen)氮(dan)過程動力(li)學的實(shi)驗(yan)與(yu)(yu)理論研(yan)究,得到(dao)的純鐵液中溫(wen)度(du)(du)對(dui)(dui)氣相滲(shen)(shen)氮(dan)反應速(su)率(lv)常(chang)數的關(guan)系如圖2-28所示。研(yan)究表明,氣相滲(shen)(shen)氮(dan)過程的限(xian)制環節為(wei)氮(dan)在界面反應時的解離;根據解離步驟滲(shen)(shen)氮(dan)模型,氣相滲(shen)(shen)氮(dan)反應速(su)率(lv)常(chang)數隨(sui)冶煉(lian)溫(wen)度(du)(du)的變(bian)化(hua)規律與(yu)(yu)上述研(yan)究趨勢一(yi)致(zhi),即冶煉(lian)溫(wen)度(du)(du)T對(dui)(dui)氣相滲(shen)(shen)氮(dan)反應速(su)率(lv)常(chang)數k的影(ying)響規律符合阿(a)倫(lun)尼烏斯公式,在一(yi)定范圍內1gk與(yu)(yu)1/T成(cheng)反比。


圖 28.jpg



四、氮(dan)(dan)氣壓力對氮(dan)(dan)溶解動力學的(de)影響


  目前,關(guan)于(yu)氣相(xiang)中氮(dan)(dan)氣壓力(li)對(dui)氣相(xiang)滲(shen)氮(dan)(dan)動力(li)學(xue)影響的(de)研究都是基(ji)于(yu)氣相(xiang)滲(shen)氮(dan)(dan)動力(li)學(xue)模型(xing)進行(xing)。針對(dui)氮(dan)(dan)氣壓力(li)對(dui)氣相(xiang)滲(shen)氮(dan)(dan)速率(lv)或氣相(xiang)滲(shen)氮(dan)(dan)反應速率(lv)常數(shu)的(de)影響及其函(han)數(shu)關(guan)系(xi),根(gen)據(ju)氣相(xiang)滲(shen)氮(dan)(dan)動力(li)學(xue)模型(xing)選擇的(de)不同(tong),研究人員存在不同(tong)的(de)見解。


 1. 當氣相(xiang)滲氮過程由界(jie)面反應環節控(kong)制時


   由(you)阿倫尼烏斯公(gong)式(shi)與(yu)碰撞理論可知(zhi),反(fan)應速(su)率常(chang)數不受氮(dan)氣(qi)(qi)(qi)壓(ya)力(li)(li)的影響。而(er)氣(qi)(qi)(qi)相(xiang)滲氮(dan)反(fan)應速(su)率與(yu)氮(dan)氣(qi)(qi)(qi)壓(ya)力(li)(li)有密(mi)切聯系。從微觀的角度看,增大(da)氮(dan)氣(qi)(qi)(qi)壓(ya)力(li)(li)增多(duo)了單位體積氣(qi)(qi)(qi)相(xiang)內的氮(dan)氣(qi)(qi)(qi)分(fen)子數,在碰撞頻率和有效碰撞分(fen)數為定值的情(qing)況下,氮(dan)氣(qi)(qi)(qi)壓(ya)力(li)(li)越(yue)高則有效碰撞次數越(yue)多(duo),反(fan)應速(su)率也越(yue)大(da)。因此,合(he)金熔體的氣(qi)(qi)(qi)相(xiang)滲氮(dan)反(fan)應速(su)率隨氮(dan)氣(qi)(qi)(qi)壓(ya)力(li)(li)的升高而(er)增大(da)。


   東北大(da)學特殊(shu)鋼(gang)(gang)冶(ye)金(jin)研(yan)究所(suo)(suo)在(zai)1550℃,33kPa、67kPa和(he)(he)101kPa三個不同氮(dan)(dan)氣(qi)壓力(li)(li)(li)下對(dui)奧(ao)(ao)氏體(ti)不銹(xiu)鋼(gang)(gang)進(jin)行了氣(qi)相滲氮(dan)(dan)動(dong)力(li)(li)(li)學的(de)研(yan)究。通過(guo)分析實(shi)驗(yan)數(shu)據(ju)可(ke)以發現(xian),實(shi)驗(yan)條件下鋼(gang)(gang)液(ye)氣(qi)相滲氮(dan)(dan)過(guo)程受界(jie)面反應(ying)環(huan)(huan)節(jie)控制。根據(ju)由界(jie)面反應(ying)環(huan)(huan)節(jie)控制的(de)氣(qi)相滲氮(dan)(dan)動(dong)力(li)(li)(li)學模型(xing),計算得到奧(ao)(ao)氏體(ti)不銹(xiu)鋼(gang)(gang)在(zai)1550℃和(he)(he)不同氮(dan)(dan)氣(qi)壓力(li)(li)(li)下的(de)氣(qi)相滲氮(dan)(dan)公式(shi)分別(bie)如(ru)式(shi)(2-60)~式(shi)(2-62)所(suo)(suo)示。在(zai)溫度為(wei)1550℃時,不同氮(dan)(dan)氣(qi)壓力(li)(li)(li)和(he)(he)時間下氮(dan)(dan)含量的(de)實(shi)測值與(yu)模型(xing)計算值的(de)對(dui)比如(ru)圖2-29所(suo)(suo)示。氣(qi)相滲氮(dan)(dan)反應(ying)速率常數(shu)k與(yu)氮(dan)(dan)氣(qi)壓力(li)(li)(li)的(de)關(guan)系(xi)如(ru)圖2-30所(suo)(suo)示,可(ke)以看出k的(de)大(da)小與(yu)氮(dan)(dan)氣(qi)壓力(li)(li)(li)無關(guan)。


65.jpg


 2. 當氣相滲氮過程由液相側傳質環節控制時


   與(yu)(yu)(yu)氣(qi)相(xiang)(xiang)(xiang)(xiang)(xiang)滲(shen)(shen)(shen)氮(dan)(dan)(dan)過(guo)程(cheng)(cheng)由界面(mian)(mian)反應環節控制不(bu)同,Inouye和Choh[44]認為氣(qi)相(xiang)(xiang)(xiang)(xiang)(xiang)滲(shen)(shen)(shen)氮(dan)(dan)(dan)過(guo)程(cheng)(cheng)由液相(xiang)(xiang)(xiang)(xiang)(xiang)側(ce)傳質(zhi)環節控制。如(ru)圖(tu)2-32所示,研究發(fa)現滲(shen)(shen)(shen)氮(dan)(dan)(dan)時(shi)液相(xiang)(xiang)(xiang)(xiang)(xiang)表(biao)觀傳質(zhi)系數隨著(zhu)氮(dan)(dan)(dan)氣(qi)壓力的(de)增加而增大。進(jin)一步(bu)比(bi)較不(bu)同表(biao)面(mian)(mian)活(huo)性(xing)(xing)元素(氧(yang)、硫)含(han)量(liang)的(de)熔(rong)體中氣(qi)相(xiang)(xiang)(xiang)(xiang)(xiang)滲(shen)(shen)(shen)氮(dan)(dan)(dan)速(su)率與(yu)(yu)(yu)氮(dan)(dan)(dan)氣(qi)壓力的(de)關(guan)系,發(fa)現當表(biao)面(mian)(mian)活(huo)性(xing)(xing)元素含(han)量(liang)非常低時(shi),純鐵液的(de)氣(qi)相(xiang)(xiang)(xiang)(xiang)(xiang)滲(shen)(shen)(shen)氮(dan)(dan)(dan)速(su)率與(yu)(yu)(yu)氮(dan)(dan)(dan)氣(qi)壓力的(de)平(ping)方根成正比(bi)[圖(tu)2-33(a)];隨著(zhu)表(biao)面(mian)(mian)活(huo)性(xing)(xing)元素濃度的(de)增加,如(ru)當硫含(han)量(liang)高于0.046%時(shi),氣(qi)相(xiang)(xiang)(xiang)(xiang)(xiang)滲(shen)(shen)(shen)氮(dan)(dan)(dan)速(su)率與(yu)(yu)(yu)氮(dan)(dan)(dan)氣(qi)壓力成正比(bi)[圖(tu)2-33(b)].這表(biao)明氮(dan)(dan)(dan)氣(qi)壓力對氣(qi)相(xiang)(xiang)(xiang)(xiang)(xiang)滲(shen)(shen)(shen)氮(dan)(dan)(dan)速(su)率的(de)影(ying)響(xiang),與(yu)(yu)(yu)熔(rong)體中的(de)表(biao)面(mian)(mian)活(huo)性(xing)(xing)元素的(de)含(han)量(liang)和氣(qi)相(xiang)(xiang)(xiang)(xiang)(xiang)滲(shen)(shen)(shen)氮(dan)(dan)(dan)過(guo)程(cheng)(cheng)的(de)控制環節等(deng)條件密切相(xiang)(xiang)(xiang)(xiang)(xiang)關(guan)。


圖 32.jpg



五(wu)、表面活性元素對氮溶解動力學(xue)的影響


  氧、硫作為金屬熔(rong)體(ti)中(zhong)最常(chang)見(jian)的表面(mian)(mian)(mian)(mian)活性(xing)元素,在(zai)熔(rong)體(ti)表面(mian)(mian)(mian)(mian)的富集會占據(ju)氣相-熔(rong)體(ti)界面(mian)(mian)(mian)(mian)上的空(kong)位,從(cong)而阻礙(ai)氮(dan)在(zai)界面(mian)(mian)(mian)(mian)處的溶(rong)解(jie)反(fan)應,對氣相滲氮(dan)過程(cheng)產生強的抑制(zhi)作用。在(zai)高氮(dan)鋼冶煉過程(cheng)中(zhong),若(ruo)在(zai)氣相氮(dan)合金化工藝前(qian)率先對鋼液進行脫氧和脫硫,則可(ke)以(yi)降低表面(mian)(mian)(mian)(mian)活性(xing)元素的不利影(ying)響,使鋼液增(zeng)氮(dan)更(geng)高效。


  針對氧(yang)、硫元素對氣相(xiang)滲氮速率的(de)影響,依據(ju)不(bu)同(tong)的(de)氣相(xiang)滲氮動力(li)學模型,研究人員存在不(bu)同(tong)的(de)見解,可以分(fen)別從分(fen)子(zi)能級-反應(ying)活化能、金屬(shu)熔(rong)體表面空位(wei)和液相(xiang)側傳質等角度進(jin)行(xing)分(fen)析。


 1. 氣(qi)相滲氮(dan)過(guo)程(cheng)為(wei)界面(mian)反(fan)應控(kong)制,從能級角度考慮


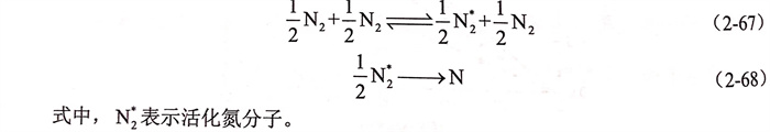
   氮(dan)(dan)在(zai)金屬(shu)液中的溶解(jie)/吸(xi)收(shou)可分(fen)為(wei)反應(ying)(2-67)和反應(ying)(2-68)兩個過(guo)(guo)程(cheng)(cheng)。其中,反應(ying)(2-67)表(biao)示(shi)氮(dan)(dan)分(fen)子(zi)之間發生碰(peng)撞形成部分(fen)活化氮(dan)(dan)分(fen)子(zi),是一個可逆的過(guo)(guo)程(cheng)(cheng);反應(ying)(2-68)表(biao)示(shi)活化氮(dan)(dan)分(fen)子(zi)在(zai)熔體(ti)表(biao)面解(jie)離為(wei)氮(dan)(dan)原(yuan)子(zi)并溶解(jie)的過(guo)(guo)程(cheng)(cheng)。


67.jpg


   當冶煉溫度(du)一(yi)定時(shi)(shi),氣相側氮分(fen)子(zi)(zi)(zi)(zi)(zi)(zi)的(de)(de)(de)(de)碰撞頻率是恒定的(de)(de)(de)(de),與(yu)純鐵液中的(de)(de)(de)(de)氧(yang)、硫濃(nong)度(du)無關(guan),但是氧(yang)、硫的(de)(de)(de)(de)存(cun)(cun)在(zai)會顯著(zhu)降低氮的(de)(de)(de)(de)吸收率,這(zhe)與(yu)氧(yang)、硫的(de)(de)(de)(de)表面(mian)(mian)活(huo)(huo)性改變了反應界(jie)面(mian)(mian)處氮分(fen)子(zi)(zi)(zi)(zi)(zi)(zi)的(de)(de)(de)(de)活(huo)(huo)化狀態(tai)有關(guan)。通(tong)常,氮分(fen)子(zi)(zi)(zi)(zi)(zi)(zi)在(zai)氣相側發生碰撞并不斷改變能(neng)量(liang)狀態(tai),但在(zai)由大量(liang)分(fen)子(zi)(zi)(zi)(zi)(zi)(zi)組(zu)成的(de)(de)(de)(de)系統中,以(yi)一(yi)定能(neng)級(ji)存(cun)(cun)在(zai)的(de)(de)(de)(de)分(fen)子(zi)(zi)(zi)(zi)(zi)(zi)數被認為(wei)是恒定的(de)(de)(de)(de)。這(zhe)遵循Maxwell分(fen)布定律,即隨著(zhu)能(neng)級(ji)的(de)(de)(de)(de)增加,分(fen)子(zi)(zi)(zi)(zi)(zi)(zi)數量(liang)減少。基(ji)于Maxwell分(fen)布定律中氮分(fen)子(zi)(zi)(zi)(zi)(zi)(zi)的(de)(de)(de)(de)能(neng)量(liang)狀態(tai)的(de)(de)(de)(de)觀點,可(ke)以(yi)認為(wei),在(zai)熔融合金表面(mian)(mian)活(huo)(huo)性元(yuan)素(su)含量(liang)濃(nong)度(du)較低時(shi)(shi),存(cun)(cun)在(zai)于最(zui)低能(neng)級(ji)(energy level)以(yi)上(shang)的(de)(de)(de)(de)所有分(fen)子(zi)(zi)(zi)(zi)(zi)(zi)均可(ke)以(yi)成為(wei)活(huo)(huo)化分(fen)子(zi)(zi)(zi)(zi)(zi)(zi);然(ran)而隨著(zhu)表面(mian)(mian)活(huo)(huo)性元(yuan)素(su)濃(nong)度(du)的(de)(de)(de)(de)增加,氮氣活(huo)(huo)化分(fen)子(zi)(zi)(zi)(zi)(zi)(zi)存(cun)(cun)在(zai)的(de)(de)(de)(de)最(zui)低能(neng)級(ji)變高,原本在(zai)表面(mian)(mian)活(huo)(huo)性元(yuan)素(su)濃(nong)度(du)低的(de)(de)(de)(de)情況下(xia)存(cun)(cun)在(zai)的(de)(de)(de)(de)活(huo)(huo)化分(fen)子(zi)(zi)(zi)(zi)(zi)(zi),由于表面(mian)(mian)活(huo)(huo)性元(yuan)素(su)含量(liang)的(de)(de)(de)(de)增加、最(zui)低能(neng)級(ji)上(shang)升(sheng),無法成為(wei)活(huo)(huo)化分(fen)子(zi)(zi)(zi)(zi)(zi)(zi)。因此,氮分(fen)子(zi)(zi)(zi)(zi)(zi)(zi)之(zhi)間(jian)的(de)(de)(de)(de)有效碰撞和活(huo)(huo)化分(fen)子(zi)(zi)(zi)(zi)(zi)(zi)數降低,導致(zhi)氣相滲氮速(su)率下(xia)降。


 2. 氣相滲氮過程由界(jie)面反應控(kong)制,從空位吸附角度考慮


   根據吸附理論(lun),氮在熔(rong)體中的溶解可以描述為以下三個過(guo)程:


69.jpg


  研究表(biao)明(ming),在氧(yang)含量超過(guo)0.015%的Fe-O體系中(zhong),氣(qi)(qi)相(xiang)滲(shen)氮(dan)(dan)過(guo)程(cheng)(cheng)符合界面(mian)反應(ying)控制的氣(qi)(qi)相(xiang)滲(shen)氮(dan)(dan)動力學(xue)模型[41],Fe-S體系亦(yi)是如此,氧(yang)和硫的表(biao)面(mian)活性對(dui)氮(dan)(dan)分(fen)(fen)子解(jie)離(li)過(guo)程(cheng)(cheng)產生(sheng)了不利影響(xiang)。將氮(dan)(dan)分(fen)(fen)子的解(jie)離(li)過(guo)程(cheng)(cheng)[式(2-70)]視為(wei)氣(qi)(qi)相(xiang)滲(shen)氮(dan)(dan)過(guo)程(cheng)(cheng)的控制步驟,可以假定吸附(fu)步驟[式(2-69)]發生(sheng)較快且處于平衡狀態。此時,氣(qi)(qi)相(xiang)滲(shen)氮(dan)(dan)反應(ying)速(su)率(lv)及反應(ying)速(su)率(lv)常數(shu)可以分(fen)(fen)別由式(2-72)與式(2-73)來表(biao)示:


  在理(li)想(xiang)情(qing)況下(xia),空位的(de)活(huo)度a.可以確定(ding)為1-01,其中0,為添(tian)加元(yuan)素i占據金屬熔(rong)體表面(mian)吸附位的(de)分(fen)數。如果元(yuan)素i符合(he)Langmuir 理(li)想(xiang)吸附模型,則口+i-.此時(shi),i吸附到表面(mian)上(shang)的(de)覆(fu)蓋率和i的(de)活(huo)性之間(jian)的(de)關系(xi)可以由式(shi)(2-74)表示:


74.jpg


  據此,通過(guo)式(2-75),可(ke)以通過(guo)添加(jia)元(yuan)素(su)i的吸附系數K;來(lai)確(que)定氣相滲氮(dan)反(fan)應(ying)速率常數,并進(jin)一步解釋元(yuan)素(su)i在熔體表面的吸附對(dui)氣相滲氮(dan)反(fan)應(ying)速率常數的影(ying)響(xiang)。


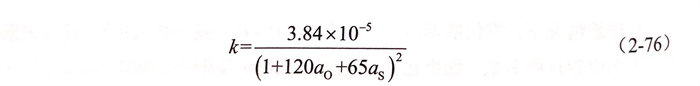
  圖2-34給出了Fe-O-S體系(xi)氣相滲氮(dan)動力學的研究結(jie)果,此(ci)處添加(jia)元素i即指氧和硫(liu)元素。根據(ju)式(2-75),通過多元回(hui)歸分(fen)析確定氧(Ko)和硫(liu)(Ks)的吸(xi)附系(xi)數分(fen)別為120與65.圖2-34表明,氣相滲氮(dan)反應(ying)(ying)速(su)率(lv)常數k的平(ping)方(fang)根與1/(1+120ao+65as)之間呈線性(xing)關系(xi)。圖中(zhong)直線的斜率(lv)代表氮(dan)在(zai)鐵液裸表面(mian)(沒有氧和硫(liu)等表面(mian)活性(xing)元素覆蓋)上的氣相滲氮(dan)反應(ying)(ying)速(su)率(lv)常數k的平(ping)方(fang)根,其值為0.0062,即k=3.84x10-5[mol/(c㎡·s·atm)]。


圖 34.jpg


  基于上述分析結果(guo),在(zai)1873K溫度下氧和硫含量(liang)對氣(qi)相滲氮反應速率(lv)常數k的影響可以歸納(na)如下:


76.jpg


  僅(jin)考慮(lv)(lv)氧(yang)(yang)含(han)量與同時考慮(lv)(lv)氧(yang)(yang)、硫(liu)含(han)量對(dui)滲(shen)氮(dan)(dan)反應速率(lv)常數(shu)的(de)(de)(de)影響,如圖2-35所示(shi)。隨著熔體中(zhong)(zhong)氧(yang)(yang)和(he)硫(liu)含(han)量的(de)(de)(de)增(zeng)加,氮(dan)(dan)的(de)(de)(de)氣相滲(shen)氮(dan)(dan)反應速率(lv)常數(shu)顯著降低,且(qie)與上述函數(shu)關系吻合(he)良好(hao),這(zhe)表(biao)明利用式(2-76)表(biao)示(shi)表(biao)面(mian)活(huo)性(xing)元素(su)(su)氧(yang)(yang)、硫(liu)對(dui)氣相滲(shen)氮(dan)(dan)反應速率(lv)常數(shu)的(de)(de)(de)影響是合(he)理的(de)(de)(de)。根據前述可知(zhi),氮(dan)(dan)的(de)(de)(de)溶解(jie)(jie)機理如下:首(shou)先,氮(dan)(dan)分子在(zai)熔體表(biao)面(mian)占據空位[式(2-69),吸附步(bu)驟(zou)],然后氮(dan)(dan)氣分子與相鄰的(de)(de)(de)空位反應而發生解(jie)(jie)離(li)(li)[式(2-70),解(jie)(jie)離(li)(li)步(bu)驟(zou)],最(zui)終解(jie)(jie)離(li)(li)的(de)(de)(de)氮(dan)(dan)原子溶解(jie)(jie)進入熔體中(zhong)(zhong)。氧(yang)(yang)原子和(he)硫(liu)原子占據解(jie)(jie)離(li)(li)步(bu)驟(zou)所需(xu)的(de)(de)(de)熔體表(biao)面(mian)空位時,氮(dan)(dan)分子的(de)(de)(de)解(jie)(jie)離(li)(li)步(bu)驟(zou)受到限制(zhi),熔體的(de)(de)(de)氣相滲(shen)氮(dan)(dan)過程(cheng)將由解(jie)(jie)離(li)(li)步(bu)驟(zou)決定。此外,由于熔體中(zhong)(zhong)的(de)(de)(de)氧(yang)(yang)作為表(biao)面(mian)活(huo)性(xing)元素(su)(su)的(de)(de)(de)作用比硫(liu)更強,當氧(yang)(yang)和(he)硫(liu)濃度相近時,氧(yang)(yang)相比于硫(liu)更容易成為影響氣相滲(shen)氮(dan)(dan)反應速率(lv)的(de)(de)(de)主(zhu)要因素(su)(su)。


圖 35.jpg



 3. 氣相滲(shen)氮過(guo)程為液相側傳(chuan)質控(kong)制,從傳(chuan)質速(su)率(lv)的角度(du)考慮


  氣相滲氮(dan)速(su)率可以表示(shi)如下:


77.jpg


   式(shi)中(zhong),Cs為(wei)與氣相(xiang)平衡的(de)鐵液中(zhong)的(de)氮平衡濃(nong)度(du);C為(wei)t時(shi)刻鐵液中(zhong)的(de)氮濃(nong)度(du);Co為(wei)t=0時(shi)鐵液中(zhong)的(de)初始氮濃(nong)度(du);k為(wei)液相(xiang)表(biao)觀傳質系數;V為(wei)熔(rong)(rong)體(ti)的(de)體(ti)積;F為(wei)氣相(xiang)-熔(rong)(rong)體(ti)界(jie)面表(biao)面積;t為(wei)滲氮時(shi)間。


   a. 硫含(han)量對氣相滲氮速率的影響:


      在1600℃下,Fe-S系(xi)鐵(tie)(tie)液(ye)氣相滲氮(dan)的(de)(de)增(zeng)氮(dan)過程如圖(tu)2-36所示。隨著(zhu)鐵(tie)(tie)液(ye)中(zhong)硫(liu)(liu)含量(liang)的(de)(de)增(zeng)加(jia),氣相滲氮(dan)速(su)率(lv)顯著(zhu)降低(di)。通過圖(tu)2-37可見硫(liu)(liu)含量(liang)對(dui)鐵(tie)(tie)液(ye)氣相滲氮(dan)速(su)率(lv)的(de)(de)影(ying)響(xiang),根(gen)據式(shi)(2-79)的(de)(de)分析結果,氮(dan)的(de)(de)液(ye)相表觀傳質(zhi)系(xi)數K隨硫(liu)(liu)含量(liang)的(de)(de)增(zeng)加(jia)而變小。氮(dan)的(de)(de)液(ye)相表觀傳質(zhi)系(xi)數與硫(liu)(liu)含量(liang)的(de)(de)函數關系(xi)如圖(tu)2-38所示,當硫(liu)(liu)含量(liang)高于(yu)0.03%時,氮(dan)的(de)(de)液(ye)相表觀傳質(zhi)系(xi)數 kN與成反(fan)比。因此(ci),當硫(liu)(liu)含量(liang)在0.03%以上時,Fe-S系(xi)鐵(tie)(tie)液(ye)中(zhong)氮(dan)的(de)(de)液(ye)相表觀傳質(zhi)速(su)率(lv)可用式(shi)(2-79)表示:


79.jpg

圖 38.jpg


   b. 氧含量對氣(qi)相滲(shen)氮速率的影響(xiang):


      與硫相似,氧(yang)(yang)同樣對鐵(tie)液(ye)(ye)中(zhong)的氣(qi)相滲(shen)氮(dan)速(su)率有顯(xian)(xian)著(zhu)影響,并且其阻礙效果比硫更強。如圖2-39和圖2-40所示,隨著(zhu)鐵(tie)液(ye)(ye)中(zhong)氧(yang)(yang)含量的增加(jia),氮(dan)的氣(qi)相滲(shen)氮(dan)速(su)率和氮(dan)的液(ye)(ye)相表觀傳質系(xi)數明顯(xian)(xian)降低。如圖2-41所示,當Fe-O系(xi)鐵(tie)液(ye)(ye)中(zhong)氧(yang)(yang)含量高于0.02%時,氮(dan)的液(ye)(ye)相表觀傳質系(xi)數值(zhi)與成反比,可見(jian)氧(yang)(yang)對氮(dan)的氣(qi)相滲(shen)氮(dan)速(su)率的影響機理與Fe-S 系(xi)鐵(tie)液(ye)(ye)相同。因(yin)此,Fe-O系(xi)鐵(tie)液(ye)(ye)中(zhong)氮(dan)的液(ye)(ye)相表觀傳質速(su)率由式(2-80)表示:




   綜上所述,在對以液(ye)(ye)相側傳(chuan)質(zhi)(zhi)為控制環節的氣(qi)相滲(shen)氮動力(li)學研究(jiu)中(zhong),研究(jiu)人(ren)員通(tong)過測量(liang)(liang)不同氧含(han)量(liang)(liang)和硫(liu)含(han)量(liang)(liang)下鐵液(ye)(ye)中(zhong)液(ye)(ye)相表觀(guan)傳(chuan)質(zhi)(zhi)系(xi)數(shu),分別研究(jiu)了氧和硫(liu)對液(ye)(ye)相表觀(guan)傳(chuan)質(zhi)(zhi)系(xi)數(shu)的影(ying)響,隨(sui)著(zhu)氧含(han)量(liang)(liang)與硫(liu)含(han)量(liang)(liang)的增大,液(ye)(ye)相表觀(guan)傳(chuan)質(zhi)(zhi)系(xi)數(shu)減小,氣(qi)相滲(shen)氮速率(lv)降低,并且(qie)氧的抑(yi)制作(zuo)用更強。關于氧與硫(liu)的共同作(zuo)用,尚需進(jin)一(yi)步研究(jiu)。




聯系方式.jpg