在鑄(zhu)(zhu)錠凝固過程中,增加壓(ya)力(li)(li)能夠(gou)改善鑄(zhu)(zhu)型(xing)(xing)和鑄(zhu)(zhu)錠的(de)接(jie)觸環境,為了深入研究壓(ya)力(li)(li)強化鑄(zhu)(zhu)錠和鑄(zhu)(zhu)型(xing)(xing)間換(huan)熱的(de)效果(guo),在能量守恒(heng)的(de)基礎上,運(yun)用(yong)導熱微分方程,建(jian)立換(huan)熱系數的(de)反算模(mo)型(xing)(xing),量化壓(ya)力(li)(li)對換(huan)熱系數的(de)影響規(gui)律。該(gai)模(mo)型(xing)(xing)包含傳(chuan)熱正(zheng)問題模(mo)型(xing)(xing)和傳(chuan)熱反問題模(mo)型(xing)(xing)。


1.傳(chuan)熱正問(wen)題模型(xing)


  凝(ning)(ning)(ning)固(gu)(gu)過(guo)程(cheng)(cheng)(cheng)中(zhong)的(de)(de)熱(re)(re)量(liang)傳輸是(shi)凝(ning)(ning)(ning)固(gu)(gu)進行的(de)(de)驅(qu)動(dong)力,直接關系(xi)著金屬液(ye)相(xiang)凝(ning)(ning)(ning)固(gu)(gu)的(de)(de)整個進程(cheng)(cheng)(cheng)。凝(ning)(ning)(ning)固(gu)(gu)過(guo)程(cheng)(cheng)(cheng)中(zhong),熱(re)(re)量(liang)通過(guo)金屬液(ye)相(xiang)、已凝(ning)(ning)(ning)固(gu)(gu)的(de)(de)金屬固(gu)(gu)相(xiang)、鑄(zhu)錠-鑄(zhu)型(xing)(xing)界面(mian)(氣隙等)和鑄(zhu)型(xing)(xing)的(de)(de)熱(re)(re)阻向環境傳輸。因存在(zai)凝(ning)(ning)(ning)固(gu)(gu)潛熱(re)(re)的(de)(de)釋放,凝(ning)(ning)(ning)固(gu)(gu)是(shi)一個有熱(re)(re)源的(de)(de)非穩態(tai)傳熱(re)(re)過(guo)程(cheng)(cheng)(cheng),基(ji)于凝(ning)(ning)(ning)固(gu)(gu)過(guo)程(cheng)(cheng)(cheng)熱(re)(re)傳導(dao)(dao)的(de)(de)能量(liang)守(shou)恒(heng)原理,柱坐標(biao)下(xia)鑄(zhu)錠和鑄(zhu)型(xing)(xing)的(de)(de)導(dao)(dao)熱(re)(re)分方程(cheng)(cheng)(cheng)可表示為:


式 139.jpg

式 142.jpg


  鋼液釋放(fang)凝(ning)固(gu)潛熱(re)(re)(re),進而在(zai)體積單(dan)元(yuan)內(nei)(nei)產生內(nei)(nei)熱(re)(re)(re)源(yuan)q;在(zai)運用數值離散的(de)方(fang)(fang)法(fa)(fa)求(qiu)解(jie)導熱(re)(re)(re)微分(fen)方(fang)(fang)程(cheng)時,凝(ning)固(gu)潛熱(re)(re)(re)的(de)處理(li)(li)方(fang)(fang)法(fa)(fa)通常有四種,分(fen)別為等效比(bi)(bi)熱(re)(re)(re)法(fa)(fa)、熱(re)(re)(re)焓法(fa)(fa)、溫(wen)度回(hui)升法(fa)(fa)以及(ji)源(yuan)項處理(li)(li)法(fa)(fa)。孫天(tian)亮對四種凝(ning)固(gu)潛熱(re)(re)(re)的(de)處理(li)(li)法(fa)(fa)進行(xing)比(bi)(bi)較發(fa)現,源(yuan)項處理(li)(li)法(fa)(fa)最為精確,其(qi)次是等效比(bi)(bi)熱(re)(re)(re)法(fa)(fa),誤差較大(da)的(de)是溫(wen)度回(hui)升法(fa)(fa)和熱(re)(re)(re)焓法(fa)(fa);在(zai)一般(ban)情(qing)況(kuang)下,為了(le)簡(jian)化計(ji)算和降低編程(cheng)難度,可(ke)采用等效比(bi)(bi)熱(re)(re)(re)法(fa)(fa)處理(li)(li)凝(ning)固(gu)潛熱(re)(re)(re)。因此(ci),在(zai)非穩態條件下,內(nei)(nei)熱(re)(re)(re)源(yuan)與凝(ning)固(gu)潛熱(re)(re)(re)的(de)關(guan)系可(ke)表示(shi)為:


  此(ci)外,由于鑄(zhu)(zhu)(zhu)錠的凝固收(shou)縮和(he)(he)鑄(zhu)(zhu)(zhu)型的受熱(re)(re)(re)膨脹(zhang),鑄(zhu)(zhu)(zhu)錠和(he)(he)鑄(zhu)(zhu)(zhu)型接觸隨之發生(sheng)變(bian)化,當(dang)鑄(zhu)(zhu)(zhu)錠和(he)(he)鑄(zhu)(zhu)(zhu)型間氣隙形成(cheng)以后,鑄(zhu)(zhu)(zhu)錠向鑄(zhu)(zhu)(zhu)型的傳熱(re)(re)(re)方式(shi)不(bu)(bu)只是(shi)簡單的傳導傳熱(re)(re)(re),同時存在(zai)小(xiao)區域的對流(liu)和(he)(he)輻射傳熱(re)(re)(re),進而加大了計算(suan)的復(fu)雜(za)性,為了降低(di)計算(suan)的復(fu)雜(za)性和(he)(he)難度(du),采用(yong)等效界面(mian)換(huan)熱(re)(re)(re)系(xi)數hi來替代(dai)氣隙形成(cheng)后鑄(zhu)(zhu)(zhu)錠和(he)(he)鑄(zhu)(zhu)(zhu)型間復(fu)雜(za)的傳導、對流(liu)和(he)(he)輻射傳熱(re)(re)(re)過程,在(zai)不(bu)(bu)考慮間隙比熱(re)(re)(re)容的情況下,等效界面(mian)換(huan)熱(re)(re)(re)系(xi)數h;計算(suan)方法如下:



2. 傳熱反問題(ti)模型(xing)


  與(yu)正問(wen)(wen)題(ti)(ti)相對(dui)應(ying)的(de)(de)反問(wen)(wen)題(ti)(ti),即在(zai)求解傳(chuan)(chuan)熱問(wen)(wen)題(ti)(ti)時,以(yi)溫(wen)度場為已知量,對(dui)邊界(jie)(jie)條(tiao)件(jian)(jian)或初始條(tiao)件(jian)(jian)進(jin)行計(ji)算的(de)(de)過程。傳(chuan)(chuan)熱反問(wen)(wen)題(ti)(ti)的(de)(de)研究從(cong)20世紀60年(nian)代以(yi)來得(de)到(dao)了(le)空(kong)前的(de)(de)進(jin)步與(yu)應(ying)用。在(zai)鑄造(zao)過程中,鑄錠(ding)和鑄型(xing)間邊界(jie)(jie)條(tiao)件(jian)(jian)的(de)(de)反問(wen)(wen)題(ti)(ti)也一直備受關注。通(tong)傳(chuan)(chuan)熱正問(wen)(wen)題(ti)(ti)模型(xing)可(ke)知,在(zai)鑄錠(ding)和鑄型(xing)物性參數(shu)、初始條(tiao)件(jian)(jian)以(yi)及除鑄錠(ding)和鑄型(xing)間邊界(jie)(jie)條(tiao)件(jian)(jian)以(yi)外,其他邊界(jie)(jie)條(tiao)件(jian)(jian)可(ke)知的(de)(de)情況下。溫(wen)度場可(ke)表示成隨鑄錠(ding)和鑄型(xing)間界(jie)(jie)面換熱系數(shu)變化的(de)(de)函數(shu),即


式 147.jpg



  利用(yong)傳(chuan)熱反問題模型,運用(yong)數(shu)值(zhi)離散的方法(fa)求解界面(mian)換(huan)熱系(xi)數(shu)的過程,相(xiang)當于(yu)依照一定的方法(fa)或者規律(lv)選定界面(mian)換(huan)熱系(xi)數(shu),并以(yi)此(ci)作為已知邊界條件,利用(yong)傳(chuan)熱正(zheng)問題計(ji)(ji)算出(chu)相(xiang)應的溫度(du)(du)場(chang),如果溫度(du)(du)場(chang)的計(ji)(ji)算值(zhi)與測量值(zhi)之間的偏差(cha)最小(xiao),那么選定的界面(mian)換(huan)熱系(xi)數(shu)最接(jie)近(jin)真實值(zhi)。為了度(du)(du)量溫度(du)(du)場(chang)計(ji)(ji)算值(zhi)與測量值(zhi)之間的偏差(cha),利用(yong)最小(xiao)二乘法(fa)構建以(yi)下函數(shu)關系(xi)


  因此,在給定界(jie)面(mian)換熱(re)系(xi)數初始值的(de)情況下,利用(yong)式(2-151)可(ke)對界(jie)面(mian)換熱(re)系(xi)數h進行迭代求(qiu)解(jie)(jie),每(mei)次迭代均利用(yong)傳熱(re)正問題(ti)模(mo)(mo)型對熱(re)電(dian)偶測量點的(de)溫度T(h)進行計算;當迭代結果滿(man)足精度要(yao)求(qiu)時,即可(ke)獲得接(jie)近界(jie)面(mian)換熱(re)系(xi)數真實值的(de)h.對于(yu)一(yi)維導熱(re)過程(cheng),界(jie)面(mian)換熱(re)系(xi)數反算模(mo)(mo)型求(qiu)解(jie)(jie)過程(cheng)中可(ke)用(yong)如圖2-77所示的(de)幾何模(mo)(mo)型,除了鑄(zhu)(zhu)錠和(he)鑄(zhu)(zhu)型間邊界(jie)條件以外,模(mo)(mo)型中還包(bao)含(han)兩個邊界(jie)條件,分別為鑄(zhu)(zhu)錠心部邊界(jie)條件(B1)和(he)外表面(mian)邊界(jie)條件(B2).


77.jpg


3. 正(zheng)/反傳熱(re)問(wen)題的數值求解(jie)方(fang)法(fa)


式 152.jpg


  數(shu)值(zhi)(zhi)離散方(fang)(fang)法主要包(bao)含有(you)限(xian)元、有(you)限(xian)體(ti)積(ji)及有(you)限(xian)差分法。有(you)限(xian)元法的(de)(de)(de)基(ji)礎(chu)是(shi)變(bian)分原理(li)和加權(quan)余量法,其基(ji)本求(qiu)解思想是(shi)把(ba)計(ji)算(suan)(suan)域劃分為(wei)有(you)限(xian)個(ge)(ge)互不重(zhong)疊的(de)(de)(de)單元,在(zai)每個(ge)(ge)單元內,選擇一(yi)(yi)些合適的(de)(de)(de)節(jie)點(dian)(dian)作為(wei)求(qiu)解函數(shu)的(de)(de)(de)插值(zhi)(zhi)點(dian)(dian),將微(wei)分方(fang)(fang)程(cheng)中(zhong)的(de)(de)(de)變(bian)量改寫成由(you)各變(bian)量或其導數(shu)的(de)(de)(de)節(jie)點(dian)(dian)值(zhi)(zhi)與所選用(yong)的(de)(de)(de)插值(zhi)(zhi)函數(shu)組成的(de)(de)(de)線性表達式(shi)(shi)(shi),借(jie)助變(bian)分原理(li)或加權(quan)余量法,將微(wei)分方(fang)(fang)程(cheng)離散求(qiu)解。有(you)限(xian)體(ti)積(ji)法的(de)(de)(de)基(ji)本思路(lu)是(shi)將計(ji)算(suan)(suan)區域劃分為(wei)一(yi)(yi)系列不重(zhong)復的(de)(de)(de)控制(zhi)體(ti)積(ji),并(bing)使每個(ge)(ge)網(wang)格(ge)(ge)(ge)(ge)點(dian)(dian)周(zhou)圍有(you)一(yi)(yi)個(ge)(ge)控制(zhi)體(ti)積(ji);將待解的(de)(de)(de)微(wei)分方(fang)(fang)程(cheng)對每一(yi)(yi)個(ge)(ge)控制(zhi)體(ti)積(ji)積(ji)分,便(bian)得出一(yi)(yi)組離散方(fang)(fang)程(cheng)。其中(zhong)的(de)(de)(de)未知數(shu)是(shi)網(wang)格(ge)(ge)(ge)(ge)點(dian)(dian)上因(yin)變(bian)量的(de)(de)(de)數(shu)值(zhi)(zhi)。有(you)限(xian)差分法是(shi)將求(qiu)解域劃分為(wei)差分網(wang)格(ge)(ge)(ge)(ge),用(yong)有(you)限(xian)個(ge)(ge)網(wang)格(ge)(ge)(ge)(ge)節(jie)點(dian)(dian)代(dai)替(ti)連續的(de)(de)(de)求(qiu)解域,以(yi)泰(tai)勒級(ji)數(shu)展(zhan)開等方(fang)(fang)法,把(ba)控制(zhi)方(fang)(fang)程(cheng)中(zhong)的(de)(de)(de)導數(shu)用(yong)網(wang)格(ge)(ge)(ge)(ge)節(jie)點(dian)(dian)上函數(shu)值(zhi)(zhi)的(de)(de)(de)差商代(dai)替(ti)進行離散,從而建立(li)以(yi)網(wang)格(ge)(ge)(ge)(ge)節(jie)點(dian)(dian)上的(de)(de)(de)值(zhi)(zhi)為(wei)未知數(shu)的(de)(de)(de)代(dai)數(shu)方(fang)(fang)程(cheng)組。對于有(you)限(xian)差分格(ge)(ge)(ge)(ge)式(shi)(shi)(shi),從格(ge)(ge)(ge)(ge)式(shi)(shi)(shi)的(de)(de)(de)精(jing)度來劃分,有(you)一(yi)(yi)階(jie)格(ge)(ge)(ge)(ge)式(shi)(shi)(shi)、二階(jie)格(ge)(ge)(ge)(ge)式(shi)(shi)(shi)和高階(jie)格(ge)(ge)(ge)(ge)式(shi)(shi)(shi)。從差分的(de)(de)(de)空間(jian)形式(shi)(shi)(shi)來考(kao)慮,可(ke)分為(wei)中(zhong)心格(ge)(ge)(ge)(ge)式(shi)(shi)(shi)和逆(ni)風(feng)格(ge)(ge)(ge)(ge)式(shi)(shi)(shi)。考(kao)慮時間(jian)因(yin)子的(de)(de)(de)影響,差分格(ge)(ge)(ge)(ge)式(shi)(shi)(shi)還可(ke)以(yi)分為(wei)顯格(ge)(ge)(ge)(ge)式(shi)(shi)(shi)、隱格(ge)(ge)(ge)(ge)式(shi)(shi)(shi)、顯隱交(jiao)替(ti)格(ge)(ge)(ge)(ge)式(shi)(shi)(shi)等。


  以隱式(shi)有(you)限差分為例,對通式(shi)(2-152)進行數值離散,二階(jie)導(dao)數采用二階(jie)中心差商形式(shi),經整理(li)得:


式 153.jpg

78.jpg


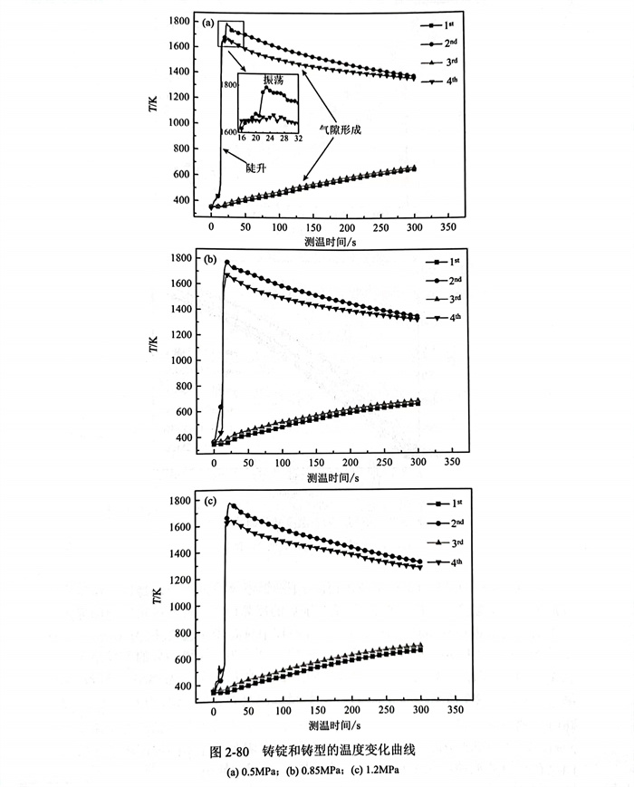
  為了更好地(di)說明(ming)壓力(li)對界面換熱(re)系數的影(ying)響,以高(gao)氮(dan)鋼P2000加壓凝(ning)(ning)固(gu)過(guo)(guo)(guo)程的傳熱(re)現象為例,采用(yong)4根雙鉑銠(lao)(B型(xing))熱(re)電(dian)偶(ou),通過(guo)(guo)(guo)埋設熱(re)電(dian)偶(ou)測(ce)溫實驗測(ce)量(liang)凝(ning)(ning)固(gu)過(guo)(guo)(guo)程鑄(zhu)(zhu)(zhu)錠和(he)鑄(zhu)(zhu)(zhu)型(xing)溫度變(bian)化曲(qu)線(xian),采用(yong)兩個位移傳感(gan)器(qi)測(ce)量(liang)凝(ning)(ning)固(gu)過(guo)(guo)(guo)程中(zhong)鑄(zhu)(zhu)(zhu)型(xing)和(he)鑄(zhu)(zhu)(zhu)錠的位移變(bian)化情況,獲得(de)凝(ning)(ning)固(gu)過(guo)(guo)(guo)程中(zhong)鑄(zhu)(zhu)(zhu)錠和(he)鑄(zhu)(zhu)(zhu)型(xing)界面氣隙演變(bian)規律(lv),測(ce)量(liang)裝(zhuang)置示意圖(tu)和(he)實物圖(tu)如圖(tu)2-79所示。


79.jpg


  澆注(zhu)結束后(hou),在(zai)0.5MPa、0.85MPa和1.2MPa下(xia)的(de)(de)鋼液(ye)凝固(gu)過程(cheng)中,鑄(zhu)(zhu)(zhu)錠(ding)和鑄(zhu)(zhu)(zhu)型(xing)(xing)溫(wen)(wen)(wen)度(du)(du)變(bian)化(hua)曲(qu)(qu)(qu)線(xian)(xian)(xian)(xian)的(de)(de)測(ce)量(liang)結果如圖2-80所(suo)示(shi),溫(wen)(wen)(wen)度(du)(du)變(bian)化(hua)曲(qu)(qu)(qu)線(xian)(xian)(xian)(xian)測(ce)量(liang)的(de)(de)時間(jian)區間(jian)為(wei)澆注(zhu)結束后(hou)的(de)(de)300s以內,且鑄(zhu)(zhu)(zhu)錠(ding)和鑄(zhu)(zhu)(zhu)型(xing)(xing)在(zai)不(bu)(bu)同壓力下(xia)的(de)(de)溫(wen)(wen)(wen)度(du)(du)變(bian)化(hua)趨勢基本一致(zhi)。以0.5MPa下(xia)的(de)(de)溫(wen)(wen)(wen)度(du)(du)變(bian)化(hua)曲(qu)(qu)(qu)線(xian)(xian)(xian)(xian)為(wei)例(li),如圖2-80(a)所(suo)示(shi),在(zai)初(chu)始階段(duan),2nd和4h曲(qu)(qu)(qu)線(xian)(xian)(xian)(xian)上溫(wen)(wen)(wen)度(du)(du)均存在(zai)陡升和振蕩階段(duan),這主(zhu)要是在(zai)測(ce)溫(wen)(wen)(wen)初(chu)期(qi),熱(re)電偶與鋼液(ye)接觸后(hou)的(de)(de)自身預熱(re),以及澆注(zhu)引起鋼液(ye)的(de)(de)湍流所(suo)致(zhi)[104];隨(sui)著鋼液(ye)凝固(gu)的(de)(de)進行,由于鑄(zhu)(zhu)(zhu)錠(ding)不(bu)(bu)斷向鑄(zhu)(zhu)(zhu)型(xing)(xing)傳(chuan)熱(re),致(zhi)使鑄(zhu)(zhu)(zhu)錠(ding)的(de)(de)溫(wen)(wen)(wen)度(du)(du)(2nd和4h)逐漸減小,而鑄(zhu)(zhu)(zhu)型(xing)(xing)的(de)(de)溫(wen)(wen)(wen)度(du)(du)(1st和3rd)隨(sui)之(zhi)增加。此外,測(ce)溫(wen)(wen)(wen)位置相近的(de)(de)3rd和4th曲(qu)(qu)(qu)線(xian)(xian)(xian)(xian)之(zhi)間(jian)存在(zai)較大的(de)(de)溫(wen)(wen)(wen)差,這主(zhu)要是由于鑄(zhu)(zhu)(zhu)錠(ding)和鑄(zhu)(zhu)(zhu)型(xing)(xing)間(jian)氣(qi)隙形成(cheng)后(hou)產生的(de)(de)巨大熱(re)阻Rair-cap(=1/hi),其中h為(wei)鑄(zhu)(zhu)(zhu)錠(ding)和鑄(zhu)(zhu)(zhu)型(xing)(xing)間(jian)的(de)(de)換熱(re)系數(shu)。


80.jpg


  不同壓(ya)力(li)下鑄(zhu)(zhu)(zhu)型(xing)溫(wen)度(du)的(de)(de)(de)(de)增(zeng)長速率(15t和(he)3rd)和(he)鑄(zhu)(zhu)(zhu)錠(ding)的(de)(de)(de)(de)冷卻(que)速率(2d和(he)4h)如圖2-81所示,當壓(ya)力(li)從(cong)0.5MPa增(zeng)加(jia)(jia)至1.2MPa時(shi)(shi),鑄(zhu)(zhu)(zhu)錠(ding)內2md和(he)4h熱(re)電(dian)偶測溫(wen)點冷卻(que)速率的(de)(de)(de)(de)增(zeng)量(liang)分別為(wei)0.335K/s和(he)0.605K/s.與此(ci)(ci)同時(shi)(shi),在澆注結(jie)束后(hou)300s時(shi)(shi),鑄(zhu)(zhu)(zhu)錠(ding)內2d和(he)4h測溫(wen)位置之間(jian)的(de)(de)(de)(de)平均溫(wen)度(du)梯度(du)從(cong)4.0K/mm增(zeng)加(jia)(jia)到了8.6K/mm.由(you)導(dao)熱(re)的(de)(de)(de)(de)傅里葉定律(Qingor=αGr,α為(wei)19Cr14Mn0.9N鑄(zhu)(zhu)(zhu)錠(ding)的(de)(de)(de)(de)導(dao)熱(re)系數,Qingot為(wei)熱(re)通量(liang))可知,隨著壓(ya)力(li)的(de)(de)(de)(de)增(zeng)加(jia)(jia),鑄(zhu)(zhu)(zhu)錠(ding)內沿(yan)度(du)梯度(du)方向上的(de)(de)(de)(de)熱(re)通量(liang)增(zeng)大。此(ci)(ci)外,根(gen)據能量(liang)守恒(heng)定律(即(ji)Q=Qingot,Q為(wei)鑄(zhu)(zhu)(zhu)錠(ding)和(he)鑄(zhu)(zhu)(zhu)型(xing)間(jian)的(de)(de)(de)(de)熱(re)通量(liang)),鑄(zhu)(zhu)(zhu)錠(ding)和(he)鑄(zhu)(zhu)(zhu)型(xing)間(jian)的(de)(de)(de)(de)熱(re)通量(liang)也隨之增(zeng)加(jia)(jia)。因此(ci)(ci),增(zeng)加(jia)(jia)壓(ya)力(li)能夠顯著加(jia)(jia)快鑄(zhu)(zhu)(zhu)錠(ding)的(de)(de)(de)(de)冷卻(que)以及強化鑄(zhu)(zhu)(zhu)錠(ding)和(he)鑄(zhu)(zhu)(zhu)型(xing)間(jian)的(de)(de)(de)(de)換熱(re)。


81.jpg



  在(zai)0.5MPa、0.85MPa和(he)(he)1.2MPa壓力下的(de)鋼液凝固(gu)過程中,鑄錠和(he)(he)鑄型(xing)的(de)溫度(du)測量值(zhi)作為(wei)輸入值(zhi)(圖(tu)2-80),運用驗(yan)證(zheng)后的(de)反(fan)(fan)算(suan)模型(xing),對鑄錠和(he)(he)鑄型(xing)間(jian)界面(mian)換熱(re)系數隨時(shi)間(jian)的(de)變化規(gui)律(lv)進行反(fan)(fan)算(suan),反(fan)(fan)算(suan)過程中時(shi)間(jian)步長Δt取值(zhi)為(wei)0.75s,空間(jian)步長Δr取值(zhi)為(wei)1mm,常數β和(he)(he)8分別為(wei)10-10和(he)(he)200.換熱(re)系數的(de)反(fan)(fan)算(suan)結(jie)果分別為(wei)hos、ho85和(he)(he)h2,隨時(shi)間(jian)的(de)變化規(gui)律(lv)如圖(tu)2-82所示(shi),由(you)于Δt和(he)(he)8乘積為(wei)150s,結(jie)合Beck非線性估算(suan)法(fa)本身的(de)特點(dian),只(zhi)能反(fan)(fan)算(suan)出(chu)凝固(gu)前期(qi)150s內(nei)hos、ho.85和(he)(he)h2隨時(shi)間(jian)的(de)變化規(gui)律(lv)。此(ci)外,因熱(re)電偶本身的(de)預熱(re)以及澆注(zhu)引起鋼液的(de)湍流,導(dao)致2nd和(he)(he)4th熱(re)電偶的(de)在(zai)前30s內(nei)存在(zai)較大的(de)波動(dong),因此(ci)反(fan)(fan)算(suan)出(chu)的(de)界面(mian)換熱(re)系數在(zai)前期(qi)存在(zai)一定的(de)波動(dong),其中h2最大,其次是ho.85,ho5最小。


式 157.jpg

83.jpg



  擬合后(hou)的(de)(de)參數(shu)Adj.R-Square分別為(wei)0.9558、0.9716和(he)0.9692,說明擬合度高,反算(suan)結(jie)果(guo)和(he)經驗公式相符。通過對(dui)比不(bu)同壓力(li)下(xia)反算(suan)出的(de)(de)界面(mian)換(huan)熱系(xi)數(shu)可知,隨(sui)著壓力(li)的(de)(de)增(zeng)加,界面(mian)換(huan)熱系(xi)數(shu)增(zeng)大,鑄錠(ding)和(he)鑄型(xing)間界面(mian)換(huan)熱條件得到(dao)明顯改善,充分說明壓力(li)在19Cr14Mn0.9N含氮鋼的(de)(de)凝固過程中,起(qi)到(dao)了十分顯著的(de)(de)強化冷卻作用。


  眾(zhong)所周知,在某一時刻下,界(jie)面(mian)(mian)換(huan)熱(re)系數(shu)與(yu)壓(ya)力(li)呈現多(duo)(duo)項式關系。為了(le)獲得(de)19Cr14Mn0.9N 含氮鋼界(jie)面(mian)(mian)換(huan)熱(re)系數(shu)與(yu)壓(ya)力(li)之間的(de)關系,可采用多(duo)(duo)項式擬合(he)的(de)方式對界(jie)面(mian)(mian)換(huan)熱(re)系數(shu)與(yu)壓(ya)力(li)關系進行擬合(he),擬合(he)關系式為





聯系方式.jpg