漏磁(ci)場有兩種拾取方(fang)法(fa),既可以測(ce)量(liang)(liang)漏磁(ci)感應(ying)強度的(de)絕對值,也可以測(ce)量(liang)(liang)漏磁(ci)感應(ying)強度的(de)梯度值。


  磁場(chang)傳(chuan)感(gan)(gan)器(qi)的(de)作用(yong)(yong)是將磁場(chang)轉換為電信號(hao)。按原理(li)可分為體效(xiao)(xiao)應(ying)(ying)元件(jian)、面效(xiao)(xiao)應(ying)(ying)元件(jian)、P-N節(jie)注入和(he)表面復合效(xiao)(xiao)應(ying)(ying)元件(jian)、量子效(xiao)(xiao)應(ying)(ying)元件(jian)、磁致(zhi)伸縮效(xiao)(xiao)應(ying)(ying)元件(jian)和(he)光纖磁傳(chuan)感(gan)(gan)器(qi)等。磁場(chang)傳(chuan)感(gan)(gan)器(qi)都是建立在各種(zhong)效(xiao)(xiao)應(ying)(ying)和(he)物理(li)現象(xiang)的(de)基礎之(zhi)上的(de),表3-1給出了不同種(zhong)類磁場(chang)傳(chuan)感(gan)(gan)器(qi)的(de)測量范圍(wei),它們(men)的(de)敏感(gan)(gan)范圍(wei)差異較大。在具(ju)體應(ying)(ying)用(yong)(yong)過程(cheng)中,需要根據測量對(dui)象(xiang)的(de)特點來選擇(ze)適(shi)合的(de)傳(chuan)感(gan)(gan)器(qi)。


  在不銹(xiu)鋼管漏磁檢測中,常使用的有下列幾種磁敏傳感器。


表 1.jpg


1. 各向異性磁阻傳感器


  各向(xiang)(xiang)(xiang)(xiang)(xiang)異性磁(ci)(ci)阻(zu)(zu)(zu)傳感器 AMR(Anisotropic Magneto-Resistive sensors)由沉(chen)積(ji)在硅片上(shang)的(de)(de)(de)坡莫合(he)金(Ni80Fe20)薄(bo)膜形(xing)成電(dian)阻(zu)(zu)(zu),沉(chen)積(ji)時(shi)外加磁(ci)(ci)場,形(xing)成易磁(ci)(ci)化(hua)(hua)(hua)軸(zhou)方(fang)(fang)(fang)向(xiang)(xiang)(xiang)(xiang)(xiang)。易磁(ci)(ci)化(hua)(hua)(hua)軸(zhou)方(fang)(fang)(fang)向(xiang)(xiang)(xiang)(xiang)(xiang)是指各向(xiang)(xiang)(xiang)(xiang)(xiang)異性的(de)(de)(de)磁(ci)(ci)體能獲得最(zui)(zui)佳磁(ci)(ci)性能的(de)(de)(de)方(fang)(fang)(fang)向(xiang)(xiang)(xiang)(xiang)(xiang),也就是無外界磁(ci)(ci)干擾時(shi)磁(ci)(ci)疇整齊排(pai)列的(de)(de)(de)方(fang)(fang)(fang)向(xiang)(xiang)(xiang)(xiang)(xiang)。鐵磁(ci)(ci)材料的(de)(de)(de)電(dian)阻(zu)(zu)(zu)與(yu)電(dian)流和(he)磁(ci)(ci)化(hua)(hua)(hua)方(fang)(fang)(fang)向(xiang)(xiang)(xiang)(xiang)(xiang)的(de)(de)(de)夾角(jiao)有關,電(dian)流與(yu)磁(ci)(ci)化(hua)(hua)(hua)方(fang)(fang)(fang)向(xiang)(xiang)(xiang)(xiang)(xiang)平行時(shi)電(dian)阻(zu)(zu)(zu)R最(zui)(zui)大(da),電(dian)流與(yu)磁(ci)(ci)化(hua)(hua)(hua)方(fang)(fang)(fang)向(xiang)(xiang)(xiang)(xiang)(xiang)垂直(zhi)時(shi)電(dian)阻(zu)(zu)(zu)Rmin最(zui)(zui)小(xiao),電(dian)流與(yu)磁(ci)(ci)化(hua)(hua)(hua)方(fang)(fang)(fang)向(xiang)(xiang)(xiang)(xiang)(xiang)成0角(jiao)時(shi),電(dian)阻(zu)(zu)(zu)可表示為(wei)


  R=Rmin+(Rmax-Rmin)cos2θ   (3-2)


  在磁(ci)阻傳感(gan)器中,為了消除溫(wen)度等外(wai)界(jie)因素對輸出的影響,一般由4個(ge)相同的磁(ci)阻元件構成惠(hui)斯(si)通(tong)電(dian)橋。理論(lun)分析與(yu)實踐表明,采用45°偏(pian)置磁(ci)場(chang),當沿與(yu)易磁(ci)化軸垂直的方向(xiang)施加外(wai)磁(ci)場(chang),且外(wai)磁(ci)場(chang)強度不太大時,電(dian)橋輸出與(yu)外(wai)加磁(ci)場(chang)強度呈線性(xing)關系。


2. 磁(ci)通門


  磁(ci)通門傳感(gan)器又稱為磁(ci)飽和式磁(ci)敏傳感(gan)器,它是利用(yong)某(mou)些高磁(ci)導率的軟磁(ci)性材料(如(ru)坡(po)莫合金)做(zuo)磁(ci)心(xin),以(yi)其在(zai)交直(zhi)流(liu)磁(ci)場(chang)作用(yong)下的磁(ci)飽和特性以(yi)及法拉(la)第電磁(ci)感(gan)應原理研(yan)制的磁(ci)場(chang)測量裝置。


  這種磁(ci)敏傳感(gan)器(qi)(qi)的(de)最大特點是適合測量(liang)零(ling)磁(ci)場附近(jin)的(de)弱磁(ci)場。傳感(gan)器(qi)(qi)體積小,重量(liang)輕,功耗低(di),不受(shou)磁(ci)場梯度影(ying)響,測量(liang)的(de)靈敏度可(ke)達0.01nT,并且可(ke)以和(he)磁(ci)秤混(hun)合使用。該裝置(zhi)已普(pu)遍(bian)應用于航(hang)空(kong)、地面、測井等方面的(de)磁(ci)法勘探工作(zuo)中(zhong)。在軍事上,也可(ke)用于尋(xun)找(zhao)地下武器(qi)(qi)(炮彈、地雷等)和(he)反(fan)潛。還(huan)可(ke)用于預報天然地震及空(kong)間磁(ci)測等。


3. 巨磁阻元件


  物(wu)質在(zai)(zai)一定磁(ci)(ci)場作用下(xia)電(dian)(dian)阻(zu)發(fa)生(sheng)改變(bian)的(de)現象(xiang),稱為磁(ci)(ci)阻(zu)效(xiao)應。磁(ci)(ci)性金(jin)屬和(he)合金(jin)材料(liao)一般都有(you)這(zhe)種現象(xiang)。一般情況(kuang)(kuang)下(xia),物(wu)質的(de)電(dian)(dian)阻(zu)率在(zai)(zai)磁(ci)(ci)場中(zhong)僅發(fa)生(sheng)微(wei)小的(de)變(bian)化,但在(zai)(zai)某種條件(jian)下(xia),電(dian)(dian)阻(zu)變(bian)化的(de)幅度相(xiang)當大(da),比(bi)通常(chang)情況(kuang)(kuang)下(xia)高十余倍(bei),稱為巨磁(ci)(ci)阻(zu)效(xiao)應(GMR)。這(zhe)種效(xiao)應來自(zi)于載(zai)流(liu)電(dian)(dian)子的(de)不同(tong)自(zi)旋(xuan)狀態與磁(ci)(ci)場的(de)作用不同(tong),因而(er)導致電(dian)(dian)阻(zu)值(zhi)的(de)變(bian)化。GMR是(shi)一個量子力(li)學效(xiao)應,它是(shi)在(zai)(zai)層(ceng)狀的(de)磁(ci)(ci)性薄膜結(jie)(jie)構(gou)中(zhong)觀察到的(de),這(zhe)種結(jie)(jie)構(gou)由鐵(tie)(tie)磁(ci)(ci)材料(liao)和(he)非磁(ci)(ci)材料(liao)薄層(ceng)交替疊合而(er)成。當鐵(tie)(tie)磁(ci)(ci)層(ceng)的(de)磁(ci)(ci)矩(ju)相(xiang)互平行時(shi),載(zai)流(liu)子與自(zi)旋(xuan)有(you)關(guan)的(de)散射最小,材料(liao)有(you)最小的(de)電(dian)(dian)阻(zu)。當鐵(tie)(tie)磁(ci)(ci)層(ceng)的(de)磁(ci)(ci)矩(ju)為反向(xiang)平行時(shi),與自(zi)旋(xuan)有(you)關(guan)的(de)散射最強,材料(liao)的(de)電(dian)(dian)阻(zu)最大(da)。


  構成GMR磁(ci)(ci)(ci)頭和(he)傳(chuan)感器(qi)(qi)的(de)(de)核心元(yuan)件(jian)(jian)是(shi)自(zi)旋閥(spin valve)元(yuan)件(jian)(jian)。它的(de)(de)基(ji)本(ben)結構是(shi)由(you)(you)釘扎磁(ci)(ci)(ci)性(xing)層(如Co)、Cu間隔層和(he)自(zi)由(you)(you)磁(ci)(ci)(ci)性(xing)層(如NiFe等易(yi)磁(ci)(ci)(ci)化(hua)層)組成的(de)(de)多(duo)層膜。由(you)(you)于釘扎磁(ci)(ci)(ci)性(xing)層的(de)(de)磁(ci)(ci)(ci)矩(ju)與(yu)自(zi)由(you)(you)磁(ci)(ci)(ci)性(xing)層的(de)(de)磁(ci)(ci)(ci)矩(ju)之(zhi)間的(de)(de)夾角發生變化(hua)會導致SV-GMR元(yuan)件(jian)(jian)的(de)(de)電阻值改變,進(jin)而(er)使(shi)(shi)輸出(chu)電流(liu)發生變化(hua)。運用(yong)SV-GMR元(yuan)件(jian)(jian)的(de)(de)磁(ci)(ci)(ci)傳(chuan)感器(qi)(qi),其檢測(ce)(ce)靈敏(min)度比使(shi)(shi)用(yong)MR元(yuan)件(jian)(jian)的(de)(de)高幾(ji)個數(shu)量級,更(geng)容易(yi)集成化(hua),封裝尺寸更(geng)小,可靠(kao)性(xing)更(geng)高。它不僅可以(yi)取代以(yi)前的(de)(de)MR傳(chuan)感器(qi)(qi),還可以(yi)制成傳(chuan)感器(qi)(qi)陣列,實現智(zhi)能化(hua),用(yong)來(lai)表述通(tong)行(xing)車輛、飛機(ji)機(ji)翼、建筑防護(hu)裝置(zhi)或管(guan)道系統中隱(yin)蔽缺陷的(de)(de)特征,跟(gen)蹤地磁(ci)(ci)(ci)場的(de)(de)異常現象(xiang)等。當前,GMR傳(chuan)感器(qi)(qi)已在液壓氣缸位置(zhi)傳(chuan)感、真假紙(zhi)幣識別、軸承(cheng)編碼、電流(liu)檢測(ce)(ce)與(yu)控制、旋轉位置(zhi)檢測(ce)(ce)、車輛通(tong)行(xing)情況檢測(ce)(ce)等領域得到應(ying)用(yong)。


4. 霍爾元(yuan)件


  霍(huo)爾元件在(zai)漏(lou)磁檢測中應用較為廣(guang)泛。霍(huo)爾元件是由半導體(ti)材料制成的一種(zhong)晶體(ti)。當給晶體(ti)材料通以(yi)電(dian)(dian)流并(bing)置于磁場之中時,在(zai)晶體(ti)的兩面就會產生電(dian)(dian)壓,電(dian)(dian)壓的大(da)小與磁場強(qiang)度成正比關系。


  固體導電(dian)(dian)材(cai)料幾(ji)乎可(ke)以使(shi)電(dian)(dian)子(zi)暢(chang)通(tong)無阻(zu)地(di)流(liu)過,就像傳(chuan)統的(de)臺(tai)球(qiu)模型(xing)演示(shi)的(de)那樣(yang),晶(jing)體點陣上的(de)離子(zi)不(bu)會使(shi)傳(chuan)導電(dian)(dian)子(zi)發生折(zhe)射(she)。當(dang)電(dian)(dian)流(liu)由晶(jing)體的(de)一端輸入時,電(dian)(dian)子(zi)或(huo)者相互之間發生折(zhe)射(she),或(huo)者向著晶(jing)體的(de)另一端折(zhe)射(she)。


  根(gen)據固(gu)體(ti)物理(li)理(li)論(lun)可知,晶體(ti)上的(de)電壓(ya)Vh為: Vh=RhIBz/b  (3-3)


  式中,1為(wei)所使(shi)用的電流;Bz為(wei)磁(ci)場強度在(zai)垂直(zhi)于電流方向(xiang)上的分量;b為(wei)晶(jing)體在(zai)磁(ci)場方向(xiang)上的厚(hou)度;Rh為(wei)霍爾系數。


  一般(ban)情況下,如果晶體與磁場B之間成(cheng)一定夾角,則 B2=Beosθ。


  由金屬制成的霍(huo)爾(er)(er)元(yuan)件并(bing)不是最(zui)好(hao)的,因為(wei)(wei)金屬的霍(huo)爾(er)(er)系(xi)(xi)數都很低。根(gen)據(ju)霍(huo)爾(er)(er)元(yuan)件工作原理,霍(huo)爾(er)(er)系(xi)(xi)數越(yue)(yue)大,霍(huo)爾(er)(er)電(dian)壓也就越(yue)(yue)高。因此,在制作霍(huo)爾(er)(er)元(yuan)件時,一般選用(yong)元(yuan)素周期表中第II和(he)第IV族元(yuan)素混合制作,而且其對溫度的變化也最(zui)不敏感(gan)。此區域(yu)的元(yuan)素,載流子一般為(wei)(wei)空位而不是電(dian)子。


5. 感應線圈


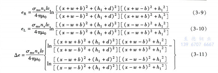
  感應(ying)(ying)線圈(quan)是(shi)鋼(gang)管漏磁檢測中應(ying)(ying)用最為廣泛(fan)的磁敏傳感器,主要有水平(ping)和垂直線圈(quan)兩種布置方式,如圖3-2所示。根據提(ti)離(li)效應(ying)(ying)和法拉第電(dian)磁感應(ying)(ying)定律,為了(le)使檢測信號與(yu)缺陷(xian)特征(zheng)之間具有良好的對應(ying)(ying)關(guan)系,感應(ying)(ying)線圈(quan)提(ti)離(li)距離(li)以及掃查速度應(ying)(ying)盡量保持恒定。


2.jpg

式 9.jpg


  水平線圈(quan)(quan)以速度(du)v穿越缺陷上部漏(lou)磁(ci)場(chang)時所產(chan)生的感(gan)(gan)應電(dian)動(dong)勢(shi)應為線圈(quan)(quan)前(qian)沿和尾部感(gan)(gan)應電(dian)動(dong)勢(shi)之差。設線圈(quan)(quan)長度(du)為l、寬(kuan)度(du)為2w、提離值為h1、匝數為,線圈(quan)(quan)前(qian)沿產(chan)生電(dian)動(dong)勢(shi)為SueR,線圈(quan)(quan)尾部產(chan)生電(dian)動(dong)勢(shi)為eL,線圈(quan)(quan)產(chan)生感(gan)(gan)應電(dian)動(dong)勢(shi)為Δe,根據(ju)法拉(la)第(di)電(dian)磁(ci)感(gan)(gan)應定律可得


  此外,從(cong)圖3-3中(zhong)可(ke)以看出(chu),水(shui)平線(xian)(xian)圈(quan)(quan)輸(shu)(shu)(shu)出(chu)感(gan)應(ying)(ying)電動(dong)(dong)(dong)(dong)(dong)(dong)勢(shi)本質為處于同(tong)一提離高度的(de)前(qian)后導線(xian)(xian)在同(tong)一時(shi)刻的(de)電動(dong)(dong)(dong)(dong)(dong)(dong)勢(shi)差動(dong)(dong)(dong)(dong)(dong)(dong)輸(shu)(shu)(shu)出(chu)。因此,感(gan)應(ying)(ying)線(xian)(xian)圈(quan)(quan)電動(dong)(dong)(dong)(dong)(dong)(dong)勢(shi)輸(shu)(shu)(shu)出(chu)與線(xian)(xian)圈(quan)(quan)寬(kuan)度有關(guan),并(bing)存在最(zui)佳寬(kuan)度使得線(xian)(xian)圈(quan)(quan)輸(shu)(shu)(shu)出(chu)最(zui)大感(gan)應(ying)(ying)電動(dong)(dong)(dong)(dong)(dong)(dong)勢(shi)。此時(shi),線(xian)(xian)圈(quan)(quan)運(yun)動(dong)(dong)(dong)(dong)(dong)(dong)至(zhi)缺陷中(zhong)間位置,并(bing)且(qie)前(qian)沿產生正向極值電動(dong)(dong)(dong)(dong)(dong)(dong)勢(shi)而尾(wei)部產生反(fan)向極值電動(dong)(dong)(dong)(dong)(dong)(dong)勢(shi),經過差動(dong)(dong)(dong)(dong)(dong)(dong)后可(ke)獲(huo)(huo)取最(zui)高感(gan)應(ying)(ying)電動(dong)(dong)(dong)(dong)(dong)(dong)勢(shi)輸(shu)(shu)(shu)出(chu)。根據式(3-11),當(dang)x=0時(shi),可(ke)獲(huo)(huo)得感(gan)應(ying)(ying)線(xian)(xian)圈(quan)(quan)位于缺陷中(zhong)間位置時(shi)電動(dong)(dong)(dong)(dong)(dong)(dong)勢(shi)Δeo與線(xian)(xian)圈(quan)(quan)寬(kuan)度參(can)數w的(de)關(guan)系式Δeo(w),即



  同(tong)樣(yang),設置缺(que)(que)陷(xian)(xian)寬(kuan)度(du)(du)2b為0.5mm,深度(du)(du)d為0.75mm以(yi)及(ji)感(gan)應線圈提(ti)離高度(du)(du)h1為0.25mm,根據(ju)式(3-13)可(ke)獲(huo)得最(zui)佳(jia)(jia)線圈寬(kuan)度(du)(du)參數(shu)(shu)wo為0.3253mm。根據(ju)線圈最(zui)佳(jia)(jia)寬(kuan)度(du)(du)參數(shu)(shu)重新計(ji)算感(gan)應線圈前(qian)(qian)沿、尾部以(yi)及(ji)整(zheng)體(ti)輸(shu)出(chu)(chu)感(gan)應電動(dong)(dong)(dong)勢曲線,如圖3-4所(suo)示。從圖中可(ke)以(yi)看出(chu)(chu),當(dang)線圈移(yi)動(dong)(dong)(dong)到(dao)缺(que)(que)陷(xian)(xian)正上(shang)方時(shi),線圈前(qian)(qian)沿感(gan)應電動(dong)(dong)(dong)勢輸(shu)出(chu)(chu)極(ji)小值而(er)尾部輸(shu)出(chu)(chu)極(ji)大值,經(jing)差動(dong)(dong)(dong)后水平(ping)線圈輸(shu)出(chu)(chu)電動(dong)(dong)(dong)勢達(da)(da)到(dao)最(zui)大值。檢測(ce)線圈的最(zui)優寬(kuan)度(du)(du)參數(shu)(shu)與缺(que)(que)陷(xian)(xian)尺寸和(he)傳(chuan)感(gan)器提(ti)離值有(you)關。在(zai)實際(ji)生產(chan)(chan)過程中,可(ke)根據(ju)鋼(gang)管軋(ya)制(zhi)過程中產(chan)(chan)生的自然(ran)缺(que)(que)陷(xian)(xian)特征對檢測(ce)線圈寬(kuan)度(du)(du)進行優化(hua)設計(ji),以(yi)達(da)(da)到(dao)最(zui)佳(jia)(jia)的檢測(ce)效果。


4.jpg


  下(xia)面進一步討論垂(chui)直線圈漏磁信號輸(shu)出特(te)性。


  如圖3-5所示(shi),垂直線(xian)圈以速(su)度(du),穿越缺陷上部(bu)(bu)(bu)漏磁場時(shi)所產生(sheng)(sheng)的(de)電(dian)動(dong)勢(shi)(shi)輸出應(ying)為(wei)線(xian)圈頂(ding)部(bu)(bu)(bu)和底部(bu)(bu)(bu)感應(ying)電(dian)動(dong)勢(shi)(shi)之差。設線(xian)圈長度(du)為(wei)l、匝數為(wei)、寬度(du)為(wei)2w、中心提離值為(wei),線(xian)圈頂(ding)部(bu)(bu)(bu)產生(sheng)(sheng)電(dian)動(dong)勢(shi)(shi)為(wei)er,線(xian)圈底部(bu)(bu)(bu)產生(sheng)(sheng)電(dian)動(dong)勢(shi)(shi)為(wei)eB,線(xian)圈產生(sheng)(sheng)整體感應(ying)電(dian)動(dong)勢(shi)(shi)為(wei)Δe,根據法拉第(di)電(dian)磁感應(ying)定律可得


5.jpg


  從圖3-5中(zhong)(zhong)可以看出(chu),eт、eB和e三者波形相(xiang)似,垂直(zhi)線(xian)圈輸(shu)出(chu)感應電(dian)(dian)(dian)(dian)動(dong)勢(shi)本質(zhi)為上下(xia)兩根導(dao)線(xian)在(zai)同(tong)一時(shi)(shi)刻的(de)電(dian)(dian)(dian)(dian)動(dong)勢(shi)差(cha)動(dong)輸(shu)出(chu)。在(zai)缺(que)(que)陷(xian)中(zhong)(zhong)心位置,垂直(zhi)線(xian)圈感應電(dian)(dian)(dian)(dian)動(dong)勢(shi)輸(shu)出(chu)為零(ling),而在(zai)缺(que)(que)陷(xian)兩端附近感應電(dian)(dian)(dian)(dian)動(dong)勢(shi)具有最大(da)(da)(da)輸(shu)出(chu)值(zhi)。垂直(zhi)線(xian)圈頂部和底部距離(li)越大(da)(da)(da),整體感應電(dian)(dian)(dian)(dian)動(dong)勢(shi)輸(shu)出(chu)越大(da)(da)(da)。因此,在(zai)條(tiao)件允許的(de)情況(kuang)下(xia),垂直(zhi)線(xian)圈應盡量貼近鋼管表面并(bing)可通(tong)過增(zeng)大(da)(da)(da)線(xian)圈的(de)寬(kuan)度(du)來提高電(dian)(dian)(dian)(dian)動(dong)勢(shi)輸(shu)出(chu)。但在(zai)設(she)計線(xian)圈寬(kuan)度(du)時(shi)(shi)必須(xu)考慮背景(jing)噪(zao)聲(sheng)的(de)影響,垂直(zhi)線(xian)圈寬(kuan)度(du)越大(da)(da)(da),線(xian)圈包(bao)含的(de)背景(jing)噪(zao)聲(sheng)越多,從而會降低缺(que)(que)陷(xian)漏磁信號(hao)的(de)信噪(zao)比。



聯系方式.jpg