香蕉視頻app破解碼:超聲波在不同介質界面處的反射、折射和透射情況是進行超聲探傷的重要物理基礎。聲波能量經界面時的聲壓聲強變化主要取決于兩側介質的聲阻抗。


1. 超(chao)聲波垂直人(ren)射到兩(liang)種介(jie)質界面處的反射透射情況(kuang)


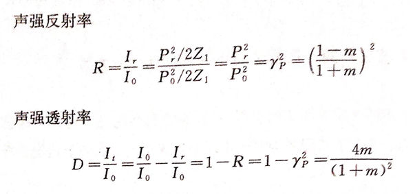
 當超聲波垂直入射于兩種不同聲阻抗介質的界面時,其反射波按入射波相反的路徑返回,透射波垂直進入第二種介質。假設超聲波所處介質聲阻抗為Z1,人射聲強為I0,入射聲壓為P0,反射聲強為Ir,反射聲壓為Pr;另一種介質聲阻抗為Z2,透射聲強為It,透射聲壓為Pt.令聲阻抗比m=Z1/Z2,可得:

補 1.jpg

5.jpg


聲壓視為平面上單位面積所受的力,那么平面兩側的力應當平衡,故聲壓變化有P0+Pr=Pt.結合聲壓反射、透射系數,有


6.jpg


類似地,聲強在界面兩側應滿足能量守恒定律,所以有Io=Ir+It,如果把聲強反射率(R)定義為Ir/I0,聲強透射率(D)定義為It/I0,則有:


7.jpg


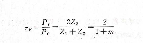
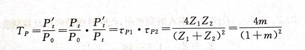
 實際檢測中,常用到自發自收探頭,例如對鋼板進行檢測時,認為聲波垂直入射進人鋼板內部,透射波到達底部后,聲壓在鋼板/空氣界面被完全反射,然后垂直返回,被探頭接收。探頭接收到的返回聲壓P't與人射聲壓P0之比稱為聲壓往復透過率,常用符號Tp表示。


補 2.jpg


所以


8.jpg


對比聲強透射率D和聲壓往復透過率Tp,可知兩者在數值上相等。


超聲波垂直(zhi)入射(she)于不同聲阻抗介質的(de)界面(mian),有以下四種反射(she)和透射(she)情(qing)況。


a.  Z1<Z2


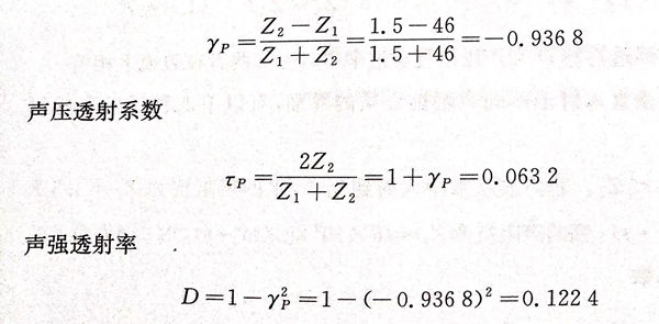
 若聲(sheng)波從水中(zhong)入射到鋼中(zhong),水的(de)(de)聲(sheng)阻(zu)抗為Z1=1.5×106kg/(㎡·s),鋼的(de)(de)聲(sheng)阻(zu)抗為Z2=46×106kg/(㎡·s),水/鋼界面上的(de)(de)


9.jpg


 圖(tu)2.9表示從(cong)(cong)水入射(she)(she)到鋼時(shi),聲壓在兩側的分布。當聲波(bo)從(cong)(cong)聲阻抗小的介質(zhi)人射(she)(she)到聲阻抗大(da)的介質(zhi)時(shi),反射(she)(she)聲壓較入射(she)(she)聲壓略低,而(er)透射(she)(she)聲壓高于入射(she)(she)聲壓,且等于兩者(zhe)之和。由聲強透射(she)(she)率(lv)D的大(da)小可(ke)知(zhi)入射(she)(she)聲強中(zhong)只有(you)12.24%的能量進入鋼中(zhong)。


圖 9.jpg


b. Z1>Z2


若聲(sheng)波從鋼入射(she)到水中,此(ci)時(shi)界面的聲(sheng)壓(ya)反射(she)系數


10.jpg


圖2.10表示從鋼(gang)入(ru)(ru)射(she)(she)(she)到水時,兩側的聲(sheng)壓(ya)分(fen)布。當聲(sheng)波從聲(sheng)阻(zu)抗較(jiao)大的介(jie)質(zhi)入(ru)(ru)射(she)(she)(she)到較(jiao)小(xiao)的介(jie)質(zhi)時,反(fan)射(she)(she)(she)聲(sheng)壓(ya)較(jiao)入(ru)(ru)射(she)(she)(she)聲(sheng)壓(ya)略低;而(er)透射(she)(she)(she)聲(sheng)壓(ya)因入(ru)(ru)射(she)(she)(she)聲(sheng)壓(ya)與反(fan)射(she)(she)(she)聲(sheng)壓(ya)相位相反(fan),其數值也(ye)較(jiao)小(xiao)。計算(suan)得知(zhi)入(ru)(ru)射(she)(she)(she)聲(sheng)強(qiang)中同樣有12.24%的能量進入(ru)(ru)水中。


圖 10.jpg


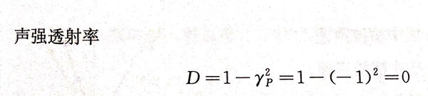
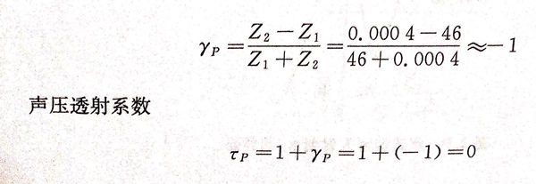
c. Z1 > Z2


 當聲波從聲阻抗高的固體入射到空氣中,例如從鋼中入射到空氣中,就屬于這種情況,此時Z1(鋼)=46×106kg/(㎡·s),Z2(空氣)=0.0004×106kg/(㎡·s),可計算聲壓反射系數


11.jpg

12.jpg


 此(ci)時,聲波(bo)在界(jie)面(mian)(mian)處幾乎全部(bu)被反射(she),無(wu)法(fa)透(tou)射(she)到(dao)空氣中(zhong),因此(ci),當超聲波(bo)探頭與粗糙待測件表面(mian)(mian)接觸,如果不加(jia)耦合(he)劑,就相當于探頭與待測件表面(mian)(mian)間有(you)一層(ceng)空氣,導致聲波(bo)能量無(wu)法(fa)透(tou)射(she)到(dao)待測件中(zhong),無(wu)法(fa)進行探傷。


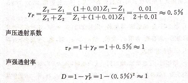
d. Z1≈Z2


 當(dang)聲(sheng)(sheng)波從兩種聲(sheng)(sheng)阻(zu)抗(kang)相近的(de)介(jie)質界面經過時,例如普通碳鋼焊(han)縫(feng)金(jin)(jin)屬(shu)與母材(cai)金(jin)(jin)屬(shu)之間,聲(sheng)(sheng)阻(zu)抗(kang)相差僅(jin)1%,此時,界面的(de)聲(sheng)(sheng)壓反射系(xi)數(shu)


13.jpg


此(ci)時,在界面(mian)處反射聲(sheng)壓(ya)極小,而透(tou)射聲(sheng)壓(ya)幾乎與入(ru)射聲(sheng)壓(ya)相(xiang)同;聲(sheng)波能量幾乎全部透(tou)射到第二種介質(zhi)中。



2. 超(chao)聲波斜(xie)入射(she)(she)到兩種(zhong)介質界(jie)面處(chu)的反(fan)射(she)(she)折射(she)(she)情況


當超聲波以一(yi)定角度斜入(ru)射(she)到兩種介質界面(mian)時(shi),會(hui)發生(sheng)反射(she)和折射(she)現象,且遵循反射(she)和折射(she)定律。一(yi)定條件下(xia),還(huan)會(hui)發生(sheng)波型(xing)轉換現象。


 a. 超聲縱(zong)波斜入(ru)射


當超聲縱波斜(xie)入射到兩(liang)種(zhong)介質界面時(shi),反(fan)射波和折射波的(de)傳播方向符合(he)反(fan)射定律、折射定律,如圖2.11所示,即


14.jpg

圖 11.jpg


 由式(2.4)可知,在同一介質中聲波縱波波速不變,因此縱波反射角與縱波入射角相等,即αLL,同時,同一介質中縱波聲速大于橫波聲速,因此縱波反射角大于橫波反射角,縱波折射角大于橫波折射角,即γLsLs.


當αL增加時,βL也增加,增加到一定程度時,βL=90°,這時所得縱波入射角稱為第一臨界角,常用aI表示。當αLI時,第二介質中既有折射縱波L,又有折射橫波S.


當αL增加時,βs也增加,增加到一定程度時,βs=90°,這時所得縱波入射角稱為第二臨界角,常用aII表示。當αIL<aII時,第二介質中沒有折射縱波L,只有折射橫波S,這種情況也是橫波探頭的制作原理。


b. 超聲橫(heng)波斜入射


當(dang)橫(heng)波以一定角度入(ru)射(she)到兩種固體界面時,也(ye)會出現波形的轉換,如圖2.12所示。


圖 12.jpg


同(tong)樣(yang)地(di),橫波斜入射也(ye)符合反射、折(zhe)射定(ding)律:


15.jpg


橫波斜入射時,隨著αs增加,yL=90°時,所對應的橫波人射角αs為第三臨界角,常用αIII表示,橫波入射角大于第三臨界角時,產生橫波全反射現象。