擠壓筒是不銹鋼管擠壓機組工模具中最大的部件,25~30MN(2500~3000t)擠壓機的擠壓筒一套筒部件的重量達到8~10噸,50MN(5000t)擠壓機擠壓筒重約15t,60MN(6000t)擠壓機的擠壓筒重為20t,80MN(8000t)擠壓機的擠壓筒重40t,而220MN(20000t)擠壓機的擠壓筒重達100t以上。


  擠壓(ya)(ya)(ya)筒是用于放(fang)置已加熱到(dao)(dao)擠壓(ya)(ya)(ya)溫度的坯(pi)料的容器。擠壓(ya)(ya)(ya)時(shi)擠壓(ya)(ya)(ya)筒內(nei)壁承受著將坯(pi)料擠壓(ya)(ya)(ya)成制品(pin)全部變形(xing)的徑向壓(ya)(ya)(ya)力,其負荷(he)水(shui)平可以達到(dao)(dao)1000MPa以上(shang)。


  擠(ji)壓(ya)(ya)筒(tong)的(de)(de)(de)(de)(de)工作條(tiao)件(jian)是十分嚴酷的(de)(de)(de)(de)(de)。沿被加熱的(de)(de)(de)(de)(de)擠(ji)筒(tong)內(nei)襯的(de)(de)(de)(de)(de)長(chang)度方向(xiang)上(shang),周期性(xing)的(de)(de)(de)(de)(de)作用有強烈的(de)(de)(de)(de)(de)、不(bu)均勻的(de)(de)(de)(de)(de)加熱和(he)冷卻,高(gao)(gao)溫(wen)(wen)坯料(liao)與擠(ji)壓(ya)(ya)筒(tong)內(nei)襯壁之間(jian)接(jie)觸的(de)(de)(de)(de)(de)高(gao)(gao)溫(wen)(wen)高(gao)(gao)壓(ya)(ya)摩擦(ca)力,高(gao)(gao)的(de)(de)(de)(de)(de)徑(jing)向(xiang)壓(ya)(ya)力,隨后又沖擊性(xing)的(de)(de)(de)(de)(de)下降。同時,冷空氣或水(shui)通過(guo)擠(ji)壓(ya)(ya)筒(tong)內(nei)襯的(de)(de)(de)(de)(de)孔(kong)腔,使其受到(dao)強烈的(de)(de)(de)(de)(de)冷卻。在所有這(zhe)些工作條(tiao)件(jian)下,在擠(ji)壓(ya)(ya)筒(tong)的(de)(de)(de)(de)(de)材(cai)料(liao)中引起熱超高(gao)(gao)應力。這(zhe)種情況在擠(ji)壓(ya)(ya)筒(tong)前(qian)端三(san)分之一的(de)(de)(de)(de)(de)內(nei)襯長(chang)度上(shang)顯(xian)得尤(you)其嚴重。由于高(gao)(gao)溫(wen)(wen)變(bian)形金屬(shu)的(de)(de)(de)(de)(de)流(liu)動(dong),在擠(ji)壓(ya)(ya)筒(tong)內(nei)襯前(qian)端的(de)(de)(de)(de)(de)套(tao)筒(tong)壁上(shang)引起強烈的(de)(de)(de)(de)(de)熱摩擦(ca),使其產生磨損或裂紋(wen),導致內(nei)襯損壞。


  早期的(de)(de)擠(ji)(ji)壓(ya)(ya)筒(tong)采(cai)用的(de)(de)都是整體結構,現在這種結構的(de)(de)擠(ji)(ji)壓(ya)(ya)筒(tong)甚至在小噸位的(de)(de)擠(ji)(ji)壓(ya)(ya)機上都已被淘汰。目前,現代化的(de)(de)大型擠(ji)(ji)壓(ya)(ya)機上所采(cai)用的(de)(de)擠(ji)(ji)壓(ya)(ya)筒(tong)一套(tao)筒(tong)系統都是由(you)2個(ge)、3個(ge)或(huo)更(geng)多的(de)(de)套(tao)筒(tong)組成(cheng)的(de)(de)多層結構擠(ji)(ji)壓(ya)(ya)筒(tong),并且在各層套(tao)筒(tong)之間都帶有一定的(de)(de)過盈量,以熱裝(zhuang)的(de)(de)方式裝(zhuang)配而(er)成(cheng)。


  采用過盈配合(he)的(de)(de)多層(ceng)結(jie)構(gou)(gou)擠(ji)壓(ya)筒(tong),使(shi)每層(ceng)套筒(tong)的(de)(de)結(jie)合(he)面上(shang)都具有一定的(de)(de)預(yu)應(ying)力。由于有預(yu)應(ying)力的(de)(de)存在,使(shi)多層(ceng)結(jie)構(gou)(gou)的(de)(de)擠(ji)壓(ya)筒(tong)在承受擠(ji)壓(ya)產生的(de)(de)熱超高應(ying)力作用時,套筒(tong)之間的(de)(de)應(ying)力分布趨(qu)于均勻,從而使(shi)擠(ji)壓(ya)筒(tong)套筒(tong)的(de)(de)材料得到充(chong)分的(de)(de)利用;并且還可以提高熱擠(ji)壓(ya)時擠(ji)壓(ya)筒(tong)承受的(de)(de)單(dan)位壓(ya)力,從而提高擠(ji)壓(ya)筒(tong)套筒(tong)的(de)(de)使(shi)用壽命。


  擠壓筒內襯(chen)(chen)套(tao)的結構形式,包括(kuo)內襯(chen)(chen)套(tao)的內徑和形狀,內襯(chen)(chen)套(tao)外(wai)徑與中套(tao)內徑的配合(he);除了過盈配合(he)之外(wai),還(huan)有(you)多(duo)種形式的配合(he),如圖7-4所示。擠壓筒內襯(chen)(chen)套(tao)經(jing)熱(re)處理后(hou),其硬度HRC達(da)到(dao)40~45;在不(bu)重車的情況(kuang)下,使(shi)用壽(shou)命達(da)到(dao)1500~4000次。


4.jpg


  除此之外,擠壓筒(tong)使用時(shi),為(wei)了建立(li)熱(re)擠壓過程本身(shen)所需的(de)熱(re)力學條件,擠壓筒(tong)的(de)預(yu)熱(re)極(ji)為(wei)重要(yao)。擠壓筒(tong)的(de)預(yu)熱(re)可以提高其使用壽命。


  擠(ji)(ji)(ji)壓(ya)筒(tong)(tong)(tong)(tong)預(yu)熱時,為了能快速地加(jia)(jia)熱,減小(xiao)熱量損(sun)失(shi),在(zai)外加(jia)(jia)熱的(de)同時,最好能采用特殊可換式加(jia)(jia)熱器來預(yu)熱擠(ji)(ji)(ji)壓(ya)筒(tong)(tong)(tong)(tong)的(de)內部(bu),為了保(bao)持壓(ya)人套(tao)筒(tong)(tong)(tong)(tong)時在(zai)套(tao)筒(tong)(tong)(tong)(tong)和(he)擠(ji)(ji)(ji)壓(ya)筒(tong)(tong)(tong)(tong)內產生的(de)預(yu)應(ying)力,內加(jia)(jia)熱非常必要(yao)。若僅強烈的(de)外加(jia)(jia)熱,將(jiang)使預(yu)應(ying)力降低(di),從(cong)而,惡化擠(ji)(ji)(ji)壓(ya)筒(tong)(tong)(tong)(tong)套(tao)筒(tong)(tong)(tong)(tong)的(de)工作能力。


  一般(ban)對(dui)于(yu)較(jiao)(jiao)大噸(dun)位的(de)臥式(shi)擠(ji)(ji)壓(ya)(ya)(ya)機(ji),擠(ji)(ji)壓(ya)(ya)(ya)筒(tong)(tong)的(de)預(yu)熱(re)(re)(re)(re)(re)采(cai)用內(nei)(nei)置式(shi)的(de)加(jia)熱(re)(re)(re)(re)(re)元件進行(xing)預(yu)熱(re)(re)(re)(re)(re)(圖(tu)7-5和圖(tu)7-6),而(er)對(dui)于(yu)較(jiao)(jiao)小的(de)擠(ji)(ji)壓(ya)(ya)(ya)筒(tong)(tong),較(jiao)(jiao)多的(de)是采(cai)用活(huo)動的(de)感應(ying)加(jia)熱(re)(re)(re)(re)(re)器(也有(you)用熱(re)(re)(re)(re)(re)坯料)直接放(fang)入擠(ji)(ji)壓(ya)(ya)(ya)筒(tong)(tong)內(nei)(nei)腔(qiang)內(nei)(nei)進行(xing)預(yu)熱(re)(re)(re)(re)(re)。一旦擠(ji)(ji)壓(ya)(ya)(ya)開始擠(ji)(ji)壓(ya)(ya)(ya)筒(tong)(tong)內(nei)(nei)襯便處(chu)于(yu)受熱(re)(re)(re)(re)(re)狀態,不需(xu)要加(jia)熱(re)(re)(re)(re)(re),而(er)是需(xu)要經常進行(xing)冷卻(que)。圖(tu)7-5所示(shi)為俄羅斯制(zhi)(zhi)造的(de)63MN(6300t)臥式(shi)液(ye)壓(ya)(ya)(ya)擠(ji)(ji)壓(ya)(ya)(ya)機(ji)的(de)帶預(yu)熱(re)(re)(re)(re)(re)裝置的(de)三(san)層結(jie)構擠(ji)(ji)壓(ya)(ya)(ya)筒(tong)(tong),圖(tu)7-6所示(shi)為德(de)國(guo)制(zhi)(zhi)造的(de)帶擠(ji)(ji)壓(ya)(ya)(ya)筒(tong)(tong)測溫裝置的(de)60MN(6000t)臥式(shi)液(ye)壓(ya)(ya)(ya)擠(ji)(ji)壓(ya)(ya)(ya)機(ji)三(san)層結(jie)構擠(ji)(ji)壓(ya)(ya)(ya)筒(tong)(tong)。


5.jpg


一、擠壓(ya)筒-套筒系統的設計條件


 擠壓筒-套筒系統的設計條(tiao)件如(ru)下:


  1. 擠壓(ya)時(shi)(shi),擠壓(ya)筒中的(de)內壓(ya)力分布(bu)是不(bu)均勻(yun)的(de),其影響(xiang)因素(su)很多。但設計計算時(shi)(shi),認為(wei)內應力是均勻(yun)分布(bu)的(de)。


  2. 擠壓時,擠壓筒壁上的單位壓力的大小是很難確定的。在足夠精確的情況下,可以認為其等于(0.5~0.8)p,即作用在擠壓筒壁上的徑向壓力pi,將低于擠壓桿上所施加的壓力p。


   擠壓力在金屬中的傳遞是不均勻的,其不同于壓力在液體中的傳遞,因此實際上在計算徑向壓力時,采用pi=(0.5~0.8)p,其中,金屬變形的難易系數(0.5~0.8)與變形金屬在一定壓力下的流動能力有關,即擠壓難變形材料時,該系數取小值。


  3. 在(zai)設(she)計計算擠壓(ya)簡一套簡系(xi)統部(bu)件時,首(shou)先根據(ju)經驗數(shu)據(ju)確(que)定擠壓(ya)簡的(de)主要尺寸、套筒(tong)的(de)數(shu)量及其(qi)近似(si)尺寸,然(ran)后對(dui)所選定的(de)系(xi)統進(jin)行強度驗算。


  4. 工藝條件決定(ding)了(le)擠壓(ya)機工作套(tao)筒所需的(de)內徑和擠壓(ya)力。此(ci)擠壓(ya)力為在工作套(tao)筒內孔截面上建立一定(ding)的(de)單位(wei)壓(ya)力所必需的(de)。


  5. 擠壓筒外徑采用以下關系式確(que)定:


a.jpg


  6. 在(zai)(zai)擠壓(ya)筒(tong)(tong)(tong)-套(tao)筒(tong)(tong)(tong)系統(tong)計算時,當套(tao)筒(tong)(tong)(tong)壁厚增加至一定范圍而(er)對(dui)最大應(ying)力數值的(de)影響很小時,為使(shi)套(tao)筒(tong)(tong)(tong)材料的(de)性能得到充分利(li)用,并使(shi)沿斷面上應(ying)力較均勻地分布(bu),在(zai)(zai)大壓(ya)力的(de)情(qing)況(kuang)下應(ying)采用組合套(tao)筒(tong)(tong)(tong)。


  7. 對(dui)于多(duo)層(ceng)結構的(de)擠壓(ya)(ya)(ya)(ya)筒一(yi)套(tao)(tao)筒系(xi)(xi)統,可根據其許(xu)用應(ying)力與壁(bi)厚系(xi)(xi)數的(de)關系(xi)(xi)圖表來(lai)選擇合(he)理結構的(de)多(duo)層(ceng)擠壓(ya)(ya)(ya)(ya)筒。其保證條件是:套(tao)(tao)筒以一(yi)定(ding)的(de)公盈裝入多(duo)層(ceng)擠壓(ya)(ya)(ya)(ya)筒中,提(ti)高其承受最大壓(ya)(ya)(ya)(ya)力的(de)能力,并在此壓(ya)(ya)(ya)(ya)力下,擠壓(ya)(ya)(ya)(ya)筒一(yi)套(tao)(tao)筒系(xi)(xi)統內的(de)應(ying)力不超過(guo)允(yun)許(xu)值。


  8. 擠(ji)壓(ya)筒(tong)一(yi)套(tao)筒(tong)系統的(de)(de)(de)強(qiang)度,由擠(ji)壓(ya)筒(tong)材(cai)料在工作溫(wen)度下(xia)(xia)的(de)(de)(de)屈服極限(σt)和(he)單位(wei)擠(ji)壓(ya)力所(suo)決(jue)定。在擠(ji)壓(ya)筒(tong)一(yi)套(tao)筒(tong)內(nei)表面上(shang)的(de)(de)(de)最大(da)切應(ying)力不(bu)應(ying)超過(guo)這(zhe)個(ge)屈服極限。當(dang)此(ci)應(ying)力大(da)于(yu)或等(deng)于(yu)材(cai)料熱狀(zhuang)態下(xia)(xia)的(de)(de)(de)屈服極限,則擠(ji)壓(ya)筒(tong)應(ying)做成(cheng)2、3或4層。這(zhe)時整個(ge)系統的(de)(de)(de)強(qiang)度就(jiu)取(qu)決(jue)于(yu)所(suo)選用材(cai)料在熱狀(zhuang)態下(xia)(xia)的(de)(de)(de)屈服強(qiang)度極限σt、σt'、σt”和(he)擠(ji)壓(ya)筒(tong)各(ge)個(ge)套(tao)筒(tong)中產(chan)生的(de)(de)(de)應(ying)力。實踐證明(ming),在這(zhe)種情況下(xia)(xia)套(tao)筒(tong)的(de)(de)(de)內(nei)、外直徑(jing)比(bi)很重要。對(dui)所(suo)有(you)套(tao)筒(tong)來講,應(ying)是相等(deng)的(de)(de)(de),即如果d/dx=U,那么U1=U2=U3.對(dui)易擠(ji)壓(ya)的(de)(de)(de)金屬用較(jiao)(jiao)厚的(de)(de)(de)套(tao)筒(tong),即U1>U2;而(er)對(dui)難擠(ji)壓(ya)的(de)(de)(de)金屬采用較(jiao)(jiao)薄的(de)(de)(de)套(tao)筒(tong),即U1<U2.


  在(zai)(zai)(zai)正(zheng)(zheng)確選擇(ze)切應力(li)時(shi),可(ke)正(zheng)(zheng)確選擇(ze)用以抵消(xiao)主應力(li)的(de)熱(re)裝(zhuang)(zhuang)應力(li)。為了(le)安全,各套(tao)簡均在(zai)(zai)(zai)一(yi)定(ding)的(de)公盈量下進行熱(re)裝(zhuang)(zhuang),以使每個(ge)套(tao)筒的(de)負荷(he)與材(cai)料熱(re)狀態下的(de)屈服(fu)極(ji)限有同樣的(de)比例。在(zai)(zai)(zai)計算時(shi),應采用低于相應材(cai)料在(zai)(zai)(zai)熱(re)狀態下之屈服(fu)極(ji)限。


為使套(tao)筒中的應力趨于平緩,采(cai)用如下的直徑(jing)比:


b.jpg


 9. 在強度(du)驗算(suan)(suan)時,因為擠壓(ya)筒(tong)部件通常是采用韌性熱強鋼制造的,因此(ci),最(zui)(zui)近似的是按第(di)三強度(du)理論(lun)(最(zui)(zui)大(da)切應(ying)力理論(lun))和第(di)四強度(du)理論(lun)(能量理論(lun))驗算(suan)(suan)。對于整體式擠壓(ya)筒(tong),其危險點(擠壓(ya)筒(tong)內表面(mian))上的應(ying)力不超過允(yun)用值的情(qing)況(kuang)下(xia)其最(zui)(zui)大(da)壓(ya)力,可按第(di)三強度(du)理論(lun)計算(suan)(suan),也可按第(di)四強度(du)理論(lun)計算(suan)(suan)。


 10. 多層擠壓(ya)筒(tong)的極(ji)限應力與層數無關,與整體式擠壓(ya)筒(tong)相(xiang)比,其(qi)極(ji)限應力提(ti)高2倍(bei)。


 11. 擠(ji)壓(ya)筒(tong)的內部壓(ya)力,在(zai)(zai)套筒(tong)橫(heng)截(jie)面的徑向上產(chan)生壓(ya)縮(suo)應(ying)力,在(zai)(zai)切線方向上產(chan)生拉伸應(ying)力。軸(zhou)向應(ying)力在(zai)(zai)所有(you)斷面中是均勻分布的,計算時可(ke)忽(hu)略不計。


 12. 擠(ji)(ji)壓(ya)(ya)(ya)筒(tong)-套(tao)筒(tong)系統的(de)(de)熱裝配是在一定的(de)(de)公(gong)盈(ying)量下(xia)裝入已加熱到350~400℃溫度的(de)(de)擠(ji)(ji)壓(ya)(ya)(ya)筒(tong)中(zhong)。已磨損套(tao)筒(tong)的(de)(de)更(geng)換可以在專(zhuan)(zhuan)用(yong)的(de)(de)設(she)備上(shang)進行(xing),也可采用(yong)專(zhuan)(zhuan)門裝置在擠(ji)(ji)壓(ya)(ya)(ya)機(ji)上(shang)頂出套(tao)筒(tong)。套(tao)筒(tong)頂出時,其壓(ya)(ya)(ya)力(li)不允(yun)許大于3~5MPa(表(biao)壓(ya)(ya)(ya))。因為套(tao)筒(tong)頂出后(hou),急劇的(de)(de)卸壓(ya)(ya)(ya)可能(neng)引起擠(ji)(ji)壓(ya)(ya)(ya)機(ji)工(gong)作故障,甚至在大壓(ya)(ya)(ya)力(li)下(xia)會(hui)導(dao)致擠(ji)(ji)壓(ya)(ya)(ya)機(ji)損壞(huai)。


 13. 在熱(re)裝(zhuang)時,應保證(zheng)套筒和(he)擠壓(ya)(ya)筒材料(liao)不會(hui)被回火而產生(sheng)塑性變形,消除套筒內(nei)的(de)(de)原(yuan)始(shi)受(shou)壓(ya)(ya)狀態,減小熱(re)裝(zhuang)時的(de)(de)公盈將會(hui)惡化擠壓(ya)(ya)筒殼體(ti)的(de)(de)工作,增(zeng)加套筒的(de)(de)應力,從而更難(nan)選擇套筒的(de)(de)材料(liao)。因此,過盈選擇不當可使擠壓(ya)(ya)筒使用壽命降低(di)。


 過盈量一般(ban)為(wei)筒徑的(de)0.1%~0.2%.60MN(6000t)擠壓機在(zai)各(ge)套筒上的(de)公盈量均為(wei)0.2%(與(yu)德(de)國 Schloemann公司的(de)31.5MN(3150t)擠壓機相同)。


  原上(shang)海(hai)異形鋼管廠的(de)經驗認為(wei),過盈量為(wei)筒(tong)徑的(de)0.15%(約為(wei)0.7~1.2mm)較為(wei)合適。


14. 在(zai)確定了多層擠壓(ya)(ya)筒由套(tao)筒熱裝和擠壓(ya)(ya)力(li)所產生(sheng)的(de)應(ying)(ying)力(li)之后(hou),在(zai)選擇(ze)套(tao)筒和擠壓(ya)(ya)筒的(de)材料時(shi),還要(yao)考慮附加應(ying)(ying)力(li)的(de)存在(zai)。附加應(ying)(ying)力(li)由以下因(yin)素產生(sheng): a. 擠(ji)壓(ya)時,套(tao)筒與熱(re)鋼坯接觸導(dao)致擠(ji)壓(ya)筒一套(tao)筒系統的(de)溫升;b. 壓(ya)力沿擠(ji)壓(ya)筒長度上傳遞的(de)不均勻性;c. 金屬與套(tao)筒壁(bi)的(de)熱(re)摩擦。


根據(ju)以上(shang)因素對擠壓筒(tong)一套筒(tong)系統(tong)中應(ying)力產生(sheng)的(de)影響(xiang),應(ying)提出其修(xiu)正(zheng)值。


二、擠壓筒(tong)內襯的(de)使用(yong)條件


擠(ji)壓(ya)筒內(nei)襯是多層(ceng)擠(ji)壓(ya)筒一(yi)套筒系統中的(de)易損件,其壽命一(yi)般為1500~4000次/只。擠(ji)壓(ya)筒內(nei)襯的(de)使(shi)用(yong)條(tiao)件如(ru)下:


 1. 擠(ji)壓(ya)時,金屬在高溫(wen)(wen)高壓(ya)下以400mm/s的(de)(de)速度滑動,即使(shi)在良(liang)好的(de)(de)潤滑條件(jian)下,內(nei)襯(chen)內(nei)表(biao)面在1.5mm深度的(de)(de)范圍內(nei)被加熱到(dao)(dao)650~700℃的(de)(de)高溫(wen)(wen)。尤其是在靠近擠(ji)壓(ya)模一端的(de)(de)200~300mm的(de)(de)長度上(shang),擠(ji)壓(ya)筒(tong)內(nei)襯(chen)的(de)(de)內(nei)表(biao)面遭受到(dao)(dao)最強烈的(de)(de)熱摩擦,引(yin)起最嚴重的(de)(de)磨(mo)損,會形(xing)成縱(zong)向(xiang)劃道、內(nei)壁溝槽和表(biao)面粗(cu)糙及(ji)龜裂,進而導致內(nei)襯(chen)的(de)(de)報廢。因此(ci),一般在設計多層擠(ji)壓(ya)簡一套(tao)簡系統(tong)的(de)(de)結(jie)構時。應該考慮到(dao)(dao)擠(ji)壓(ya)筒(tong)的(de)(de)內(nei)襯(chen)套(tao)筒(tong)可以允許調頭使(shi)用。因為使(shi)用經(jing)驗表(biao)明(ming),在進料端的(de)(de)擠(ji)壓(ya)筒(tong)內(nei)襯(chen)的(de)(de)內(nei)表(biao)面沒有(you)發生磨(mo)損。


另外,當內(nei)襯(chen)壓(ya)入不良或者由于中套和內(nei)襯(chen)磨損,公(gong)盈(ying)消失,會形成內(nei)襯(chen)縱(zong)(zong)向裂紋。大(da)部分(fen)縱(zong)(zong)向裂紋的(de)(de)發生都在(zai)(zai)內(nei)襯(chen)壓(ya)出以后,即(ji)公(gong)盈(ying)已(yi)經消失之時。這種情況限制了內(nei)襯(chen)修復的(de)(de)可能性。作為預防(fang)的(de)(de)辦法(fa),可以在(zai)(zai)內(nei)襯(chen)壓(ya)出以后,立即(ji)在(zai)(zai)500℃溫度下進行退火4~5h,以消除應力(li)。


 2. 國外的使用經驗已經證(zheng)明,采用離心澆注的空心坯(pi)來制(zhi)造擠壓筒(tong)的內襯,是最合理(li)的工(gong)藝。因為在(zai)其制(zhi)造過程中消耗最少(shao),成本(ben)最低。


  采用離心澆注空心坯(pi)作擠壓筒內(nei)襯時,其機(ji)械加工(gong)的余(yu)量,對外徑(jing)而言約為10~15mm,對內(nei)徑(jing)而言應不少于20~25mm.內(nei)襯粗(cu)加工(gong)以后(hou)(hou)再(zai)經(jing)熱(re)處理(淬火(huo)后(hou)(hou)高溫回火(huo))。


  專門的(de)研究確(que)定,鍛造的(de)擠壓筒內襯(chen)(chen)和(he)離心澆注(zhu)的(de)擠壓筒內襯(chen)(chen),其(qi)使用壽(shou)命相同(tong)。在各種(zhong)工作條(tiao)件下的(de)實際(ji)使用,證明(ming)均可(ke)以(yi)達到1500~4000次/只(zhi)的(de)使用壽(shou)命指標。


三、臥式擠(ji)壓機的(de)(de)擠(ji)壓筒一套筒系統的(de)(de)計(ji)算


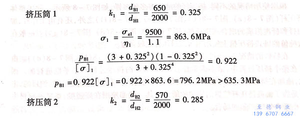
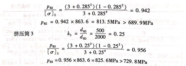
 80MN(8000t)擠壓(ya)機擠壓(ya)筒的結構(帶預(yu)熱器)如圖7-7所示。


7.jpg


  計(ji)算時(shi),按作用(yong)有內外壓(ya)力的(de)多層厚壁圓(yuan)筒強度計(ji)算的(de)方法進行。


  假設(she):(1)沿擠壓(ya)(ya)筒長度上單(dan)位壓(ya)(ya)應力(li)不變,且與擠壓(ya)(ya)墊上的(de)(de)單(dan)位壓(ya)(ya)力(li)相等;(2)軸向壓(ya)(ya)應力(li)不大,計算時可忽略不計;(3)所有的(de)(de)組成套(tao)筒經受(shou)均(jun)勻的(de)(de)熱(re)制度的(de)(de)作(zuo)用;(4)內(nei)孔(kong)在加(jia)熱(re)器的(de)(de)作(zuo)用下對套(tao)筒外內(nei)表面(mian)應力(li)和(he)變形(xing)無影響。


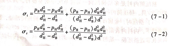
 按Slame公式確定切向應力σt和徑向應力σr,而軸向力引起的應力σg不計。則:


式 1.jpg


 在(zai)(zai)強度驗算(suan)時(shi),因為(wei)擠壓筒(tong)(tong)部件通常是采用(yong)韌性熱強鋼制造,且其受力(li)條(tiao)件為(wei)二向(xiang)的平(ping)面應力(li)狀態(tai)。因此(ci),對于(yu)整(zheng)體式(shi)擠壓筒(tong)(tong),在(zai)(zai)內表面危險點上的應力(li)不超過(guo)允許值的情況下,其最大壓應力(li),可按(an)第三強度理論和第四強度理論來計(ji)算(suan)。


按照第四強度(du)理論計算(suan)時的等(deng)效應力為:


式 3.jpg


式 9.jpg

可見,多層(ceng)擠壓筒(tong)的內應力(li)絕對值始終小于(yu)許(xu)用應力(li)絕對值。且擠壓筒(tong)的裝配(pei)次序(xu)(圖(tu)7-7)為:裝好擠壓筒(tong)殼體(將(jiang)套筒(tong)2嵌(qian)入套筒(tong)1中),然后,在由套筒(tong)1和2所組成的擠壓筒(tong)殼體中嵌(qian)入內套筒(tong)3。


按式(7-8)確定最(zui)大(da)單位力(li),為了便于計算,列表7-2.





第3套(tao)(tao)筒(tong)(tong)(內(nei)套(tao)(tao)筒(tong)(tong))的(de)內(nei)應(ying)(ying)力,即(ji)為在對每個套(tao)(tao)筒(tong)(tong)所選擇許用(yong)應(ying)(ying)力情況(kuang)下(xia),所求(qiu)的(de)整個擠(ji)壓筒(tong)(tong)的(de)最大單位(wei)工作壓力(對應(ying)(ying)表7-2第17行(xing))。


按式(shi)(7-10)確定擠壓(ya)筒的(de)內應力,并與列入(ru)表(biao)7-2第(di)17行的(de)式(shi)(7-8)確定的(de)單位壓(ya)力相比較得: