隨機變量模(mo)型(xing)和隨機過(guo)程模(mo)型(xing)是研究香蕉視頻app破解碼:應力腐蝕概率的(de)常(chang)用模型,本章重點介(jie)紹隨機變量(liang)模型。


一(yi)、應力-強度干涉模型(xing)


 1942年,Pugsley提(ti)出了(le)(le)采用(yong)應(ying)力(li)(li)(li)(li)、強(qiang)(qiang)度(du)(du)分(fen)(fen)(fen)布函數曲線(xian)的(de)(de)干(gan)涉區面(mian)積分(fen)(fen)(fen)析(xi)(xi)失(shi)效(xiao)概(gai)率的(de)(de)方法,即應(ying)力(li)(li)(li)(li)-強(qiang)(qiang)度(du)(du)干(gan)涉模型(xing),該模型(xing)在(zai)構(gou)件(jian)和(he)(he)系(xi)統的(de)(de)可靠性(xing)分(fen)(fen)(fen)析(xi)(xi)中得到了(le)(le)廣泛應(ying)用(yong)。目(mu)前,已(yi)成為分(fen)(fen)(fen)析(xi)(xi)構(gou)件(jian)和(he)(he)系(xi)統失(shi)效(xiao)概(gai)率的(de)(de)重要(yao)模型(xing)之一。在(zai)結(jie)構(gou)可靠性(xing)分(fen)(fen)(fen)析(xi)(xi)中,應(ying)力(li)(li)(li)(li)-強(qiang)(qiang)度(du)(du)(S-R)干(gan)涉模型(xing)應(ying)用(yong)最廣,模型(xing)中的(de)(de)S和(he)(he)R的(de)(de)含義不(bu)僅僅是力(li)(li)(li)(li)學(xue)分(fen)(fen)(fen)析(xi)(xi)中的(de)(de)應(ying)力(li)(li)(li)(li)和(he)(he)強(qiang)(qiang)度(du)(du),二者具(ju)有(you)更廣泛的(de)(de)范(fan)疇。對于(yu)一個(ge)系(xi)統而言,S指的(de)(de)是造成結(jie)構(gou)破壞的(de)(de)所(suo)有(you)因素,即推動力(li)(li)(li)(li);R代表了(le)(le)結(jie)構(gou)抵抗破壞的(de)(de)能力(li)(li)(li)(li),即阻抗力(li)(li)(li)(li)。


  應(ying)(ying)(ying)(ying)力腐(fu)(fu)蝕(shi)(shi)斷(duan)(duan)(duan)裂(lie)是一種低(di)應(ying)(ying)(ying)(ying)力脆(cui)斷(duan)(duan)(duan),是斷(duan)(duan)(duan)裂(lie)和腐(fu)(fu)蝕(shi)(shi)兩種機(ji)理相(xiang)互影響的(de)(de)(de)結(jie)果。因此,當應(ying)(ying)(ying)(ying)力還遠低(di)于斷(duan)(duan)(duan)裂(lie)應(ying)(ying)(ying)(ying)力時(shi)就能引起應(ying)(ying)(ying)(ying)力腐(fu)(fu)蝕(shi)(shi)裂(lie)紋(wen)的(de)(de)(de)產生和擴展(zhan)。應(ying)(ying)(ying)(ying)力作用(yong)(yong)(yong)降低(di)了材(cai)料(liao)(liao)的(de)(de)(de)耐腐(fu)(fu)蝕(shi)(shi)性能,而腐(fu)(fu)蝕(shi)(shi)降低(di)了材(cai)料(liao)(liao)的(de)(de)(de)斷(duan)(duan)(duan)裂(lie)強度(du),兩者(zhe)是互相(xiang)促進的(de)(de)(de)。也就是說,機(ji)械力和化(hua)(hua)學力的(de)(de)(de)協同作用(yong)(yong)(yong)導(dao)致了裂(lie)紋(wen)的(de)(de)(de)擴展(zhan),如果只有應(ying)(ying)(ying)(ying)力或腐(fu)(fu)蝕(shi)(shi)單(dan)獨作用(yong)(yong)(yong),是不(bu)會出現應(ying)(ying)(ying)(ying)力腐(fu)(fu)蝕(shi)(shi)斷(duan)(duan)(duan)裂(lie)的(de)(de)(de)結(jie)果。應(ying)(ying)(ying)(ying)力腐(fu)(fu)蝕(shi)(shi)斷(duan)(duan)(duan)裂(lie)要經過一定的(de)(de)(de)時(shi)間才能發生,這是因為能量積蓄(xu)到(dao)使材(cai)料(liao)(liao)破(po)壞的(de)(de)(de)程(cheng)度(du)是需要時(shi)間的(de)(de)(de),應(ying)(ying)(ying)(ying)力腐(fu)(fu)蝕(shi)(shi)是使材(cai)料(liao)(liao)強度(du)逐漸退化(hua)(hua)的(de)(de)(de)過程(cheng),因此,我們(men)可以采用(yong)(yong)(yong)耐久性損傷模型來描述應(ying)(ying)(ying)(ying)力腐(fu)(fu)蝕(shi)(shi)失效(xiao)的(de)(de)(de)物(wu)理過程(cheng)。由S-R干涉模型的(de)(de)(de)理論可以寫(xie)出結(jie)構的(de)(de)(de)極限狀態方程(cheng)


式 1.jpg

式 2.jpg


  因此,對于失效概(gai)率(lv)的(de)研究就轉化為對強度(du)和應力(li)由于概(gai)率(lv)分(fen)布干(gan)涉引起的(de)狀態失效問題的(de)研究。當(dang)fs(s)和fR(r)分(fen)別表示應力(li)和強度(du)的(de)概(gai)率(lv)密度(du)函數時,圖中兩者重疊部分(fen)面(mian)積反映了失效概(gai)率(lv)的(de)大小(xiao),如圖6-1所(suo)示。


1.jpg


  假(jia)如最初應(ying)力(li)與強(qiang)度是留(liu)有充分(fen)的(de)安全(quan)余量的(de),那么經過一定時間(jian)后,隨著應(ying)力(li)分(fen)布與強(qiang)度分(fen)布的(de)交疊,就有失(shi)效發生(sheng)(sheng),這種情形(xing)可(ke)以說是耐久模型的(de)典型例(li)子。根(gen)據(ju)應(ying)力(li)-強(qiang)度干(gan)涉(she)模型不但(dan)能(neng)夠求(qiu)解(jie)應(ying)力(li)腐蝕失(shi)效概率(lv)(lv),還(huan)可(ke)以分(fen)析(xi)應(ying)力(li)腐蝕不同(tong)階段的(de)概率(lv)(lv)情況(kuang),如裂紋(wen)的(de)萌生(sheng)(sheng)概率(lv)(lv)、裂紋(wen)的(de)擴展概率(lv)(lv)等。


  當材料(liao)發(fa)生腐蝕(shi)(shi)后,隨著(zhu)時(shi)(shi)(shi)(shi)間(jian)的(de)(de)推移,材料(liao)抵抗破壞的(de)(de)能力(li)降低(di),而腐蝕(shi)(shi)環境很可能變得更加苛(ke)刻。例如應力(li)腐蝕(shi)(shi),隨著(zhu)裂(lie)紋(wen)的(de)(de)擴展,材料(liao)強度(du)(du)降低(di)、裂(lie)紋(wen)尖端應力(li)集(ji)中區域增大(da)(da),局部存(cun)在侵蝕(shi)(shi)性(xing)離子的(de)(de)富集(ji),使得廣(guang)義應力(li)變大(da)(da)而強度(du)(du)降低(di),此(ci)時(shi)(shi)(shi)(shi)S(t)和(he)R(t)都是(shi)與時(shi)(shi)(shi)(shi)間(jian)有關的(de)(de)變量,很顯然,概率密度(du)(du)函數(shu)也著(zhu)時(shi)(shi)(shi)(shi)間(jian)的(de)(de)變化而變化。當強度(du)(du)隨時(shi)(shi)(shi)(shi)間(jian)發(fa)生衰退時(shi)(shi)(shi)(shi),強度(du)(du)和(he)應力(li)組成的(de)(de)干(gan)涉區域隨時(shi)(shi)(shi)(shi)間(jian)變化會(hui)越來(lai)越大(da)(da),這意味(wei)著(zhu)產品(pin)可靠性(xing)在降低(di)。


2.jpg


  大多數參(can)數的(de)不確定性與(yu)時(shi)(shi)間有關(guan)。發(fa)生應力腐蝕(shi)時(shi)(shi),構件所受(shou)的(de)廣義應力一(yi)般是隨(sui)機(ji)過程,應力稱為(wei)時(shi)(shi)間的(de)函(han)(han)數,強度為(wei)一(yi)固(gu)定的(de)臨界值,如圖6-2所示,功能函(han)(han)數應表(biao)示為(wei)


式 5.jpg



二(er)、應力腐蝕參數(shu)的(de)概率分布估計


1. 變量分布類型確定


  采(cai)用(yong)S-R模(mo)型(xing)(xing)分(fen)(fen)(fen)析(xi)應力(li)腐(fu)(fu)蝕(shi)(shi)(shi)失(shi)效概率時,第一步(bu)(bu)是(shi)確(que)定(ding)應力(li)腐(fu)(fu)蝕(shi)(shi)(shi)的(de)“推動力(li)”,即(ji)S所(suo)包含的(de)參(can)(can)數,包括溫(wen)度、侵蝕(shi)(shi)(shi)性離子濃度、pH值(zhi)等(deng),分(fen)(fen)(fen)析(xi)各參(can)(can)數的(de)分(fen)(fen)(fen)布(bu)(bu)(bu)概型(xing)(xing)。在進(jin)(jin)行(xing)參(can)(can)數的(de)概率分(fen)(fen)(fen)布(bu)(bu)(bu)類(lei)型(xing)(xing)研究(jiu)中(zhong),一般經(jing)過以下(xia)步(bu)(bu)驟(zou):①. 假(jia)設隨(sui)機變(bian)量(liang)服從某一分(fen)(fen)(fen)布(bu)(bu)(bu);②. 在假(jia)設分(fen)(fen)(fen)布(bu)(bu)(bu)基礎(chu)上構(gou)建(jian)統計量(liang);③. 根據統計量(liang)的(de)分(fen)(fen)(fen)布(bu)(bu)(bu)做(zuo)出統計推斷,進(jin)(jin)行(xing)擬合(he)檢驗;④. 選(xuan)擇最優概型(xing)(xing)。常(chang)用(yong)的(de)統計量(liang)包括均值(zhi)、標準差、極差、變(bian)異系數、偏(pian)度等(deng)。正(zheng)態分(fen)(fen)(fen)布(bu)(bu)(bu)、威布(bu)(bu)(bu)爾(Weibull)分(fen)(fen)(fen)布(bu)(bu)(bu)、指(zhi)數分(fen)(fen)(fen)布(bu)(bu)(bu)以及(ji)Poisson分(fen)(fen)(fen)布(bu)(bu)(bu)等(deng)都是(shi)應力(li)腐(fu)(fu)蝕(shi)(shi)(shi)概率分(fen)(fen)(fen)析(xi)中(zhong)經(jing)常(chang)用(yong)到的(de)隨(sui)機變(bian)量(liang)的(de)概率分(fen)(fen)(fen)布(bu)(bu)(bu)類(lei)型(xing)(xing)。


通常(chang)(chang),直接(jie)計算概(gai)率(lv)的(de)(de)密度(du)(du)函(han)數(shu)難度(du)(du)非常(chang)(chang)大,常(chang)(chang)用的(de)(de)處理(li)方法是把(ba)概(gai)率(lv)密度(du)(du)估(gu)(gu)計轉(zhuan)化為參數(shu)估(gu)(gu)計問題(ti)。因此(ci)概(gai)率(lv)密度(du)(du)函(han)數(shu)的(de)(de)確定是關鍵,正(zheng)確的(de)(de)密度(du)(du)函(han)數(shu)是獲得準確估(gu)(gu)計值的(de)(de)重要前提。


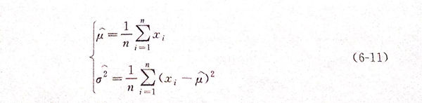
2. 參數(shu)的估計(ji)和假設檢(jian)驗


由于正(zheng)態分布(bu)(bu)(bu)情況發生的(de)(de)比較多(duo),因此(ci),以正(zheng)態分布(bu)(bu)(bu)為(wei)例加(jia)(jia)以說(shuo)明。參(can)數(shu)(shu)估(gu)計(ji)(ji)的(de)(de)思(si)路是采用(yong)樣本統(tong)計(ji)(ji)量(liang)估(gu)計(ji)(ji)總體參(can)數(shu)(shu)。常用(yong)的(de)(de)參(can)數(shu)(shu)估(gu)計(ji)(ji)方(fang)(fang)法(fa)有(you)矩估(gu)計(ji)(ji)法(fa)和最大(da)(da)(極大(da)(da))似然法(fa),除此(ci)之外,還有(you)最小(xiao)二乘、貝葉斯(si)估(gu)計(ji)(ji)等方(fang)(fang)法(fa)。矩估(gu)計(ji)(ji)法(fa)不受變(bian)量(liang)分布(bu)(bu)(bu)的(de)(de)影(ying)(ying)響(xiang),這(zhe)也恰恰成為(wei)該方(fang)(fang)法(fa)的(de)(de)缺點(dian),即變(bian)量(liang)的(de)(de)分布(bu)(bu)(bu)信息(xi)不能(neng)被充分利用(yong),一般具有(you)多(duo)個(ge)分析結果。與矩估(gu)計(ji)(ji)法(fa)相反,最大(da)(da)似然法(fa)的(de)(de)使(shi)用(yong)受已知(zhi)變(bian)量(liang)概型(xing)(xing)的(de)(de)影(ying)(ying)響(xiang),必須(xu)在已知(zhi)概型(xing)(xing)的(de)(de)前提下(xia)才能(neng)使(shi)用(yong),而且假設的(de)(de)概率模型(xing)(xing)正(zheng)確(que)性對參(can)數(shu)(shu)估(gu)計(ji)(ji)結果影(ying)(ying)響(xiang)很大(da)(da)。最大(da)(da)似然估(gu)計(ji)(ji)法(fa)具有(you)計(ji)(ji)算簡單(dan)、收斂型(xing)(xing)好等特點(dian),在參(can)數(shu)(shu)估(gu)計(ji)(ji)中的(de)(de)應用(yong)更加(jia)(jia)廣泛(fan),其主要計(ji)(ji)算步驟如下(xia):


式 8.jpg


  式(6-10)稱為似(si)然(ran)方程組,求(qiu)解(jie)該方程組,得出均值(zhi)、方差最(zui)大似(si)然(ran)估計值(zhi)


式 11.jpg


  以(yi)上過(guo)程是參(can)數(shu)(shu)估(gu)計(ji),下面對參(can)數(shu)(shu)假設檢驗。與參(can)數(shu)(shu)估(gu)計(ji)的(de)(de)目(mu)的(de)(de)相同,參(can)數(shu)(shu)假設檢驗也(ye)是根據樣本信息對總(zong)體(ti)的(de)(de)數(shu)(shu)量特征進行推斷。


  假(jia)(jia)設(she)(she)(she)(she)檢(jian)驗(yan)是(shi)以樣本資料(liao)對總體的先驗(yan)假(jia)(jia)設(she)(she)(she)(she)是(shi)否成立(li),根(gen)據(ju)樣本的統計量(liang)檢(jian)驗(yan)假(jia)(jia)設(she)(she)(she)(she)的總體參數的可靠(kao)度,同時做出判斷(duan)結果(guo),判斷(duan)結果(guo)包括接(jie)受和(he)拒絕。分(fen)析過(guo)程(cheng)是(shi):①. 提出原假(jia)(jia)設(she)(she)(she)(she)(要求檢(jian)驗(yan)的假(jia)(jia)設(she)(she)(she)(she))H0 :F(x)=F0(x)和(he)備選假(jia)(jia)設(she)(she)(she)(she)(如果(guo)原假(jia)(jia)設(she)(she)(she)(she)不(bu)成立(li),就要接(jie)受另一個假(jia)(jia)設(she)(she)(she)(she))H1:F(x)≠F0(x);②. 選取恰當的檢(jian)驗(yan)統計量(liang);③. 計算(suan)觀測值;④. 確定顯著性水平;⑤. 依據(ju)檢(jian)驗(yan)統計量(liang)觀測值的位(wei)置給(gei)出判斷(duan)結果(guo)。


在(zai)以上(shang)分析過程(cheng)中,可(ke)能會(hui)犯兩類(lei)錯誤(wu):當H0為真時而(er)拒(ju)絕H0,稱為第(di)一類(lei)錯誤(wu);當H0為假(jia)時而(er)接(jie)受H0,稱為第(di)二類(lei)錯誤(wu)。犯兩類(lei)錯誤(wu)的(de)概(gai)率通常(chang)是(shi)矛盾(dun)的(de):一個概(gai)率小(xiao)了另一個概(gai)率就(jiu)(jiu)大(da)。在(zai)實際使(shi)用中,我們一般限定(ding)犯第(di)一類(lei)錯誤(wu)的(de)概(gai)率不超過給定(ding)的(de)α,使(shi)犯第(di)二類(lei)錯誤(wu)的(de)概(gai)率就(jiu)(jiu)可(ke)能小(xiao)。在(zai)正態總體參數的(de)假(jia)設檢(jian)驗(yan)中,主要包括(kuo)均值的(de)U檢(jian)驗(yan)和t檢(jian)驗(yan)、方差的(de)χ2檢(jian)驗(yan)等。


3. 分布(bu)的假(jia)設檢驗(yan)


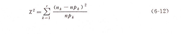
  上一小(xiao)節(jie)介(jie)紹的(de)(de)(de)是(shi)(shi)在總(zong)體(ti)(ti)分(fen)(fen)布已(yi)知(zhi)的(de)(de)(de)情(qing)況下(xia),對分(fen)(fen)布中的(de)(de)(de)一些未知(zhi)參數(shu)進行檢(jian)(jian)(jian)(jian)驗(yan)。但是(shi)(shi),很(hen)多(duo)時候并不知(zhi)道總(zong)體(ti)(ti)的(de)(de)(de)分(fen)(fen)布規(gui)律,我們往(wang)(wang)往(wang)(wang)是(shi)(shi)根(gen)據(ju)樣本來(lai)假設總(zong)體(ti)(ti)的(de)(de)(de)分(fen)(fen)布類(lei)型(xing),因此(ci),對于總(zong)體(ti)(ti)樣本所假設的(de)(de)(de)分(fen)(fen)布是(shi)(shi)否(fou)正(zheng)確(que),還需要檢(jian)(jian)(jian)(jian)驗(yan),常用的(de)(de)(de)有χ2、J-B、A-D、K-S等檢(jian)(jian)(jian)(jian)驗(yan)方法(fa),其中χ2檢(jian)(jian)(jian)(jian)驗(yan)應用較多(duo),下(xia)面以這(zhe)種方法(fa)為例,介(jie)紹檢(jian)(jian)(jian)(jian)驗(yan)過程。


  χ2檢(jian)驗法的分析過程(cheng)是:①. 提出原假設;②. 檢(jian)驗假設H0:Fx(x)=F0(x;θ1,θ2,··,θm).先用若干個(ge)互不(bu)相交的小區間把樣(yang)本(ben)數(shu)(shu)據(ju)進行分組,通常每(mei)個(ge)區間的數(shu)(shu)據(ju)不(bu)少于5個(ge),若不(bu)滿足這(zhe)一要(yao)求(qiu),可以通過合并區間來達(da)到這(zhe)一要(yao)求(qiu)。假設H0成(cheng)立,根據(ju)分組結果計(ji)算χ2檢(jian)驗統計(ji)量


式 12.jpg


雜 1.jpg


4. 主要參數的概(gai)率分(fen)布(bu)


 根據(ju)以(yi)上(shang)分(fen)析步驟(zou),對應力腐蝕環境(jing)中的(de)離子濃度的(de)統計(ji)性進行(xing)分(fen)析。數(shu)(shu)據(ju)來自某(mou)石(shi)化企業的(de)監測數(shu)(shu)據(ju)。頻率直方(fang)圖(tu)要將樣本值分(fen)為r個不相(xiang)交(jiao)的(de)區間,r值可由 Sturges公(gong)式(shi)確定,并取整數(shu)(shu)。r值取決于樣本數(shu)(shu)n。


式 13.jpg

3.jpg

3.1.jpg


  首(shou)先(xian),假(jia)設各參數服(fu)從正態分(fen)布,并畫出(chu)正態分(fen)布的(de)密度函數曲線,該計(ji)算采用matlab編程完成,計(ji)算結果如圖(tu)6-3所示。


  從圖6-3可以(yi)看出,pH、氯離(li)(li)子(zi)(zi)(zi)濃度和硫酸根離(li)(li)子(zi)(zi)(zi)濃度滿(man)(man)足(zu)(zu)正(zheng)態分(fen)(fen)布,而亞硫酸根離(li)(li)子(zi)(zi)(zi)濃度不(bu)滿(man)(man)足(zu)(zu)正(zheng)態分(fen)(fen)布,經過分(fen)(fen)析,認為滿(man)(man)足(zu)(zu)威布爾分(fen)(fen)布,如圖6-4所(suo)示。


4.jpg


  經過(guo)卡方檢驗,在顯著(zhu)性水平0.05下,可以認為:


  溫度服從(cong)N(98.25,1.642);


  pH服從N(4.4608,0.29522);


  硫酸根離子濃(nong)度(du)服從N(143.5204,9.48592);


  氯(lv)離子濃度服從N(35.3481,17.57352);


  亞硫(liu)酸根離子濃度服從(cong)α=0.5926,β=1.5746的兩(liang)參數威布爾(er)分布。


  亞硫酸根(gen)(gen)離(li)子(zi)(zi)濃度服從威布爾分布的原因:亞硫酸根(gen)(gen)不穩(wen)定,與氫離(li)子(zi)(zi)反應,從而濃度逐漸減(jian)小。


三、失效概率計算方法


1. 解(jie)析法


  當應(ying)力(li)和強(qiang)(qiang)度(du)是比較簡單的變(bian)量時(shi),式(6-4)可(ke)(ke)以直接(jie)計算(suan)(suan)失(shi)效(xiao)概率(lv)。在(zai)一些(xie)研究(jiu)中(zhong),會出現“干(gan)涉面(mian)積=失(shi)效(xiao)概率(lv)”的說(shuo)法(fa),這種說(shuo)法(fa)是不(bu)正確的。根(gen)據(ju)(ju)可(ke)(ke)靠性(xing)理論可(ke)(ke)知,應(ying)力(li)-強(qiang)(qiang)度(du)模型中(zhong)強(qiang)(qiang)度(du)大于(yu)應(ying)力(li)的概率(lv)即為可(ke)(ke)靠度(du)。可(ke)(ke)靠度(du)P可(ke)(ke)根(gen)據(ju)(ju)下式計算(suan)(suan)


5.jpg



  從(cong)計(ji)算結果可以看出,失效(xiao)概率遠(yuan)小于干涉面(mian)積之和(he)。


式 17.jpg

式 24.jpg


2. 數值解(jie)析法(fa)


  當隨機變(bian)量(liang)較(jiao)多時,直接求(qiu)解(jie)失(shi)(shi)效(xiao)概率(lv)值是(shi)很困難(nan)的,采用數值求(qiu)解(jie)是(shi)一種(zhong)比較(jiao)好的解(jie)決方法(fa)。在(zai)應(ying)力腐蝕(shi)概率(lv)計(ji)算中,涉及的隨機變(bian)量(liang)較(jiao)多且(qie)具有不同的分布類型,結果難(nan)以用解(jie)析法(fa)和近似(si)法(fa)求(qiu)解(jie),可以采用蒙特(te)卡洛(Monte-Carlo)模擬法(fa)。Monte-Carlo模擬法(fa)的特(te)點是(shi):①. 受(shou)研究問題維數的影響(xiang)較(jiao)小;②. 不受(shou)假設約束(shu);③. 不存在(zai)狀態空間爆炸(zha)問題;④. 不受(shou)變(bian)量(liang)數量(liang)的影響(xiang)。因此,Monte-Carlo法(fa)是(shi)一種(zhong)處理高維動態失(shi)(shi)效(xiao)概率(lv)問題的方法(fa)。


  蒙特卡洛模擬法又稱為隨機模擬法,基本思想是(shi):


式 27.jpg