1. 用PN標(biao)記的整體鋼(gang)制香蕉視頻app破解碼:管法蘭香蕉視頻app破解碼:密封面型式及適用的(de)公(gong)稱壓(ya)力和公(gong)稱尺寸范(fan)圍見表(biao) 6-1。


1.jpg


2. 用PN標記的整體鋼制管法蘭的結構型式包括平面型、突面型、凹凸面型、榫槽面型、O形圈面型及環連接面型等6種,如圖6-1~圖6-6所示。



3. 用(yong)(yong)PN標記的整體鋼(gang)制管法(fa)蘭密封尺(chi)寸見圖(tu)6-2~圖(tu)6-5及表(biao)6-2。用(yong)(yong)PN標記的法(fa)蘭環連接面尺(chi)寸見圖(tu)6-6及表(biao)6-3.




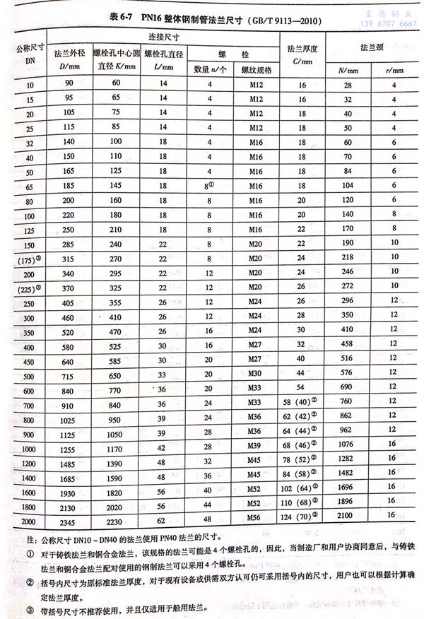
4. 用PN 標記的整體鋼制管(guan)法蘭的結(jie)構尺寸見圖(tu)(tu) 6-1 ~ 圖(tu)(tu) 6-6 及表 6-4 ~表 6-15。



注:公稱(cheng)尺(chi)寸(cun)DN10~DN40的(de)(de)法蘭使用PN40法蘭的(de)(de)尺(chi)寸(cun);公稱(cheng)尺(chi)寸(cun)DN50~DN150的(de)(de)法蘭使用PN16法蘭的(de)(de)尺(chi)寸(cun)。

    ①. 對于鑄鐵法蘭(lan)和銅合金法蘭(lan),該規格(ge)的(de)法蘭(lan)可能是4個(ge)螺栓(shuan)孔(kong)的(de),因(yin)此,當制造廠和用(yong)戶協商同(tong)意后(hou),與鑄鐵法蘭(lan)和銅合金法蘭(lan)配對使用(yong)的(de)鋼制法蘭(lan)可以采用(yong)4個(ge)螺栓(shuan)孔(kong)。

    ②. 括(kuo)號內尺寸為原標準(zhun)法(fa)蘭厚度,對(dui)于現有設備或供(gong)需雙方認可仍可采用(yong)括(kuo)號內的尺寸,用(yong)戶也可以根據計算(suan)確定法(fa)蘭厚度。

    ③. 帶括號(hao)尺寸不推薦使用(yong),并且僅適用(yong)于船用(yong)法蘭。



7.jpg


注:公稱尺(chi)寸DN10~DN40的法蘭使用PN40法蘭的尺(chi)寸。

   ①. 對于鑄鐵法(fa)(fa)蘭和(he)銅(tong)(tong)合金法(fa)(fa)蘭,該(gai)規格的(de)法(fa)(fa)蘭可能是4個螺(luo)(luo)栓孔(kong)的(de),因此,當制(zhi)(zhi)造廠和(he)用(yong)戶(hu)協商(shang)同意后,與鑄鐵法(fa)(fa)蘭和(he)銅(tong)(tong)合金法(fa)(fa)蘭配對使用(yong)的(de)鋼(gang)制(zhi)(zhi)法(fa)(fa)蘭可以采用(yong)4個螺(luo)(luo)栓孔(kong)。

   ②. 括號內尺寸為原(yuan)標準法(fa)蘭厚(hou)度,對(dui)于現(xian)有(you)設備(bei)或供需雙方認可仍可采用(yong)括號內的尺寸,用(yong)戶也可以(yi)根據(ju)計算(suan)確定法(fa)蘭厚(hou)度。

   ③. 帶括號尺寸(cun)不推薦使(shi)用(yong),并且僅適用(yong)于船(chuan)用(yong)法蘭。


8.jpg


注:公(gong)稱尺寸(cun)DN10~DN150的法蘭使用(yong)PN40法蘭的尺寸(cun)。

  ①. 括(kuo)號內(nei)(nei)尺(chi)寸為原標準法(fa)蘭厚度(du),對于現有設備或供需雙(shuang)方(fang)認可(ke)仍可(ke)采(cai)用(yong)括(kuo)號內(nei)(nei)的尺(chi)寸,用(yong)戶也可(ke)以根據計算確定法(fa)蘭厚度(du)。

  ②. 帶括號尺寸不推(tui)薦(jian)使用,并且(qie)僅適用于船用法(fa)蘭。