鋼制(zhi)管法(fa)蘭參考(kao)質量,用于供(gong)設計、制(zhi)造、建設和施工(gong)等(deng)單位作工(gong)程詢價、報(bao)價及預算等(deng)工(gong)作時參考(kao)。香蕉視頻app破解碼:法蘭的參考質量不作為(wei)檢測法蘭的技術指標準,只作為(wei)資料性的參考文(wen)件(jian)。


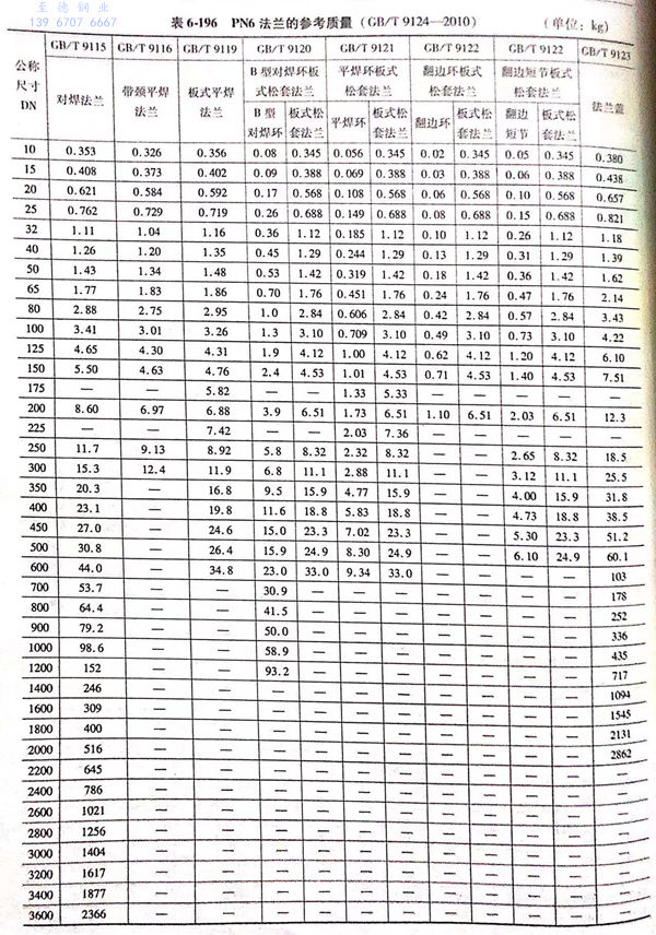
1. 用PN標(biao)記的(de)法蘭(lan)


 用PN標記的法蘭(包括PN2.5~PN400共12個壓力級的法蘭)的參考質量見(jian)表6-195~表6-203。





2. 用 Class 標記的法蘭


 用(yong) Class 標記的(de)(de)法蘭(lan)(lan)(包括 Class 150 ~ Class 2500 共6個壓(ya)力級的(de)(de)法蘭(lan)(lan))的(de)(de)參考質量見(jian)表6-204~表6-209。