一、通用金屬環(huan)形墊片(pian)型式、尺寸及(ji)公差


1. 型(xing)式(shi)與尺(chi)寸


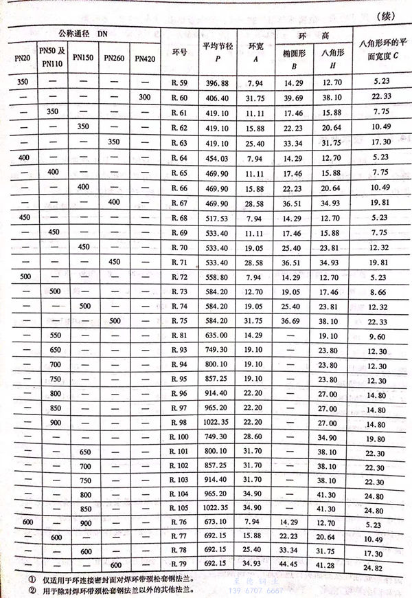
 金屬環形(xing)(xing)墊片按截面形(xing)(xing)狀分為(wei)八(ba)角形(xing)(xing)和橢圓形(xing)(xing)兩種結(jie)構,如圖14-1所示,尺寸見表14-1.


1.2.jpg




2. 尺寸公差


 金屬環(huan)形墊(dian)片的尺寸極限偏差見表 14-2。


2.jpg



二、通用(yong)金屬環形墊片(pian)技(ji)術要求


1. 材料 


 金屬環墊坯(pi)料(liao)的(de)(de)化學(xue)成分應符(fu)(fu)合(he)相(xiang)應標(biao)準(zhun)(zhun)的(de)(de)規(gui)定(ding),其中軟鐵的(de)(de)化學(xue)成分應符(fu)(fu)合(he)表14-3的(de)(de)規(gui)定(ding),常(chang)用材料(liao)的(de)(de)牌(pai)號、代號、推薦最高使用溫度和執(zhi)行標(biao)準(zhun)(zhun)見表14-4。根據供需雙方(fang)協商,允許采用表14-4之(zhi)外的(de)(de)其他材料(liao),其性(xing)能應符(fu)(fu)合(he)相(xiang)關(guan)標(biao)準(zhun)(zhun)要求。


3.jpg


2. 硬度 


 金屬環墊的硬度一般應低于法蘭材料,以確保緊密連接。合金及不銹鋼法蘭用金屬環墊的硬度值由供需雙方協商確定。同一金屬環墊的硬度應均勻,其極差不得超過10HBW,測試各點的硬度不得超過表14-5的規定。常用材料的金屬環墊推薦最大硬度值見表14-5。


5.jpg


 在(zai)某些情況下,金(jin)屬環墊的(de)硬(ying)度(du)值(zhi)可能不(bu)低于法蘭(lan)合金(jin)材料的(de)硬(ying)度(du)值(zhi)。例如,為了(le)獲得最佳(jia)耐腐(fu)蝕性狀態而進行熱(re)處理的(de)不(bu)銹鋼法蘭(lan);與退(tui)火至最低硬(ying)度(du)的(de)同(tong)樣材料制成(cheng)的(de)環墊具有(you)相同(tong)的(de)硬(ying)度(du)范(fan)圍。


3. 表(biao)面粗糙(cao)度 


 金(jin)屬(shu)環(huan)墊(dian)的密封面(mian)(mian)(八角墊(dian)的斜面(mian)(mian)、橢圓(yuan)墊(dian)的圓(yuan)弧面(mian)(mian))不得(de)有劃(hua)痕(hen)、磕痕(hen)、裂紋和凹坑,表(biao)面(mian)(mian)粗糙度不大于(yu)Ra1.6μm.



三、通用(yong)金屬環形(xing)墊片標記


 1. 標記方法(fa) 


  金(jin)屬環(huan)(huan)形墊片(pian)的標記由墊片(pian)形式、環(huan)(huan)號-墊片(pian)材料牌號和墊片(pian)標準號組(zu)成。


 2. 標(biao)記示例(li)


  號(hao)為(wei)20, 材料為(wei)0Cr19Ni9 的八角形金屬環(huan)墊片(pian),其標記為(wei):八角墊  R.20-0Cr19Ni9  GB/T 9128