柔性石(shi)墨金屬波齒復合(he)墊(dian)片(pian)是(shi)由(you)柔性石(shi)墨做成的金屬波齒復合(he)墊(dian)片(pian)是(shi)在機械加工成波齒狀的金屬板兩面覆蓋上柔性石(shi)墨的一(yi)種復合(he)墊(dian)片(pian)。這種墊(dian)片(pian)既有(you)金屬的強度,又有(you)波紋彈性的特點,最高使用(yong)溫度可達到650℃左(zuo)右;適(shi)用(yong)公稱壓力用(yong)PN標記的香蕉視頻app破解碼:法蘭用(yong)墊(dian)片(pian)(pian)尺(chi)寸(cun)的(de)最(zui)高壓(ya)力可達(da)(da)250bar;適用(yong)公稱壓(ya)力用(yong)Class標記的(de)法蘭(lan)用(yong)墊(dian)片(pian)(pian)尺(chi)寸(cun)的(de)最(zui)高壓(ya)力可達(da)(da)到1500磅級(PN260bar).此種墊(dian)片(pian)(pian)通常用(yong)于突面(mian)、凹(ao)凸(tu)面(mian)及(ji)榫槽面(mian)帶頸對焊(han)鋼制管法蘭(lan)、壓(ya)力容器(qi)法蘭(lan)、香蕉視頻app破解碼:閥門及(ji)換熱器等管(guan)道和(he)設備的密封。


一、型(xing)式及(ji)代號


1. 型式


  柔(rou)性石(shi)墨金(jin)屬波齒復合(he)墊片,按結構的不同可分為基(ji)本型(xing)、帶定位(wei)環(huan)型(xing)及帶定位(wei)耳型(xing)3種(zhong)型(xing)式。


 a. 基本型 


 基本型柔性石墨金屬波齒復合墊片適用于榫槽面和凹凸面法(fa)蘭,其結構型式(shi)如圖13-23所(suo)示。


圖 23.jpg


 b. 帶定位環型


帶定(ding)位環型柔(rou)性石(shi)墨(mo)金屬波齒復合墊片適(shi)用(yong)于全平面和突面密封面法(fa)蘭(lan),其結構型式如圖13-24所示(shi)。


圖 24.jpg


 c. 帶定位耳型


 帶定(ding)位耳型(xing)柔性石墨金屬(shu)波(bo)齒(chi)復合墊(dian)片適用(yong)于全平(ping)面(mian)和突面(mian)密封(feng)面(mian)法蘭,其結構型(xing)式如(ru)圖13-25所示。


圖 25.jpg


2. 代號(hao)


 a.  墊片的型式代號見表 13-36。


36.jpg


 b. 金屬骨架的常用材料代號見表(biao) 13-37。


37.jpg




二、尺(chi)寸及(ji)公差


1. 公(gong)稱壓(ya)力用 PN 標記的法(fa)蘭用墊片(pian)尺(chi)寸


a. 榫槽面法(fa)蘭用(yong)基(ji)本型墊片尺寸見圖 13-23 和 表 13-38。


38.jpg


b. 凹凸面法蘭用基本型墊片尺寸見圖 13-23 和(he) 表 13-39。


39.jpg


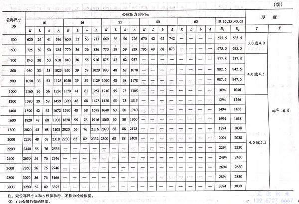
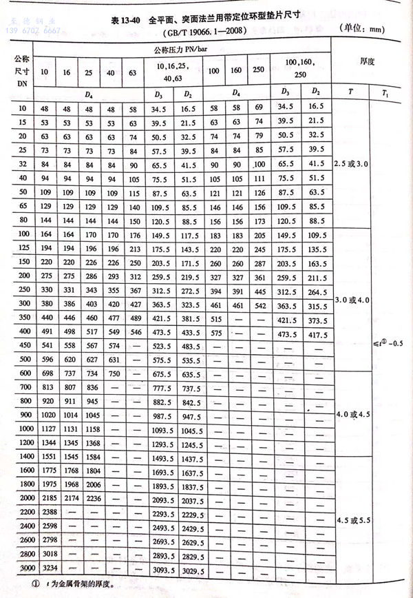
c. 全平面、突(tu)面法蘭(lan)用帶定位環型墊片尺寸見(jian)圖 13-24 和 表 13-40。


40.jpg


d. 全平面(mian)(mian)、突面(mian)(mian)法蘭(lan)用(yong)帶定(ding)位(wei)耳環型墊片(pian)尺寸見(jian)圖 13-25 和(he) 表 13-41。



2. 公(gong)稱壓力用(yong) Class 標記的法蘭用(yong)墊片尺寸


a. 榫槽面(mian)法蘭用基本型(xing)墊片尺寸見圖 13-23 和 表 13-42。


42.jpg


b. 凹凸(tu)面法蘭用基(ji)本型墊片尺寸見圖 13-23 和 表 13-43。


43.jpg


c. 全平面、突面法蘭(lan)用帶定位環型墊片尺寸見圖 13-24 和 表 13-44。


44.jpg


d. 全平面(mian)、突面(mian)法(fa)蘭用(yong)帶定位耳環(huan)型墊(dian)片尺寸見圖(tu) 13-25 和 表 13-45。


45.jpg



3. 公稱壓力(li)用Class 標記(ji)的大直徑鋼(gang)制管法蘭用墊(dian)片尺寸


a. 公稱壓力用Class 標記的A系(xi)列大(da)直徑(jing)突面法蘭用帶定(ding)位環(huan)型的墊片尺(chi)寸(cun)見圖13-24和表13-46。


46.jpg


b. 公稱壓力(li)用(yong)Class 標記的B系列(lie)大直徑突面法蘭用(yong)帶定位(wei)環(huan)型墊片(pian)尺(chi)寸見圖13-24和表13-47。


47.jpg


c. 公稱(cheng)壓力用Class 標(biao)記的A系(xi)列(lie)大直徑突面法蘭(lan)用帶定位耳型(xing)墊片的尺寸見圖13-26和(he)表(biao)13-48.


圖 26.jpg

48.jpg


d. 公稱壓力(li)用Class標記的(de)B系(xi)列大直徑(jing)突面法用帶定位耳(er)型的(de)墊片尺寸見(jian)圖13-26和表13-49。


49.jpg


4. 金屬(shu)骨架尺寸(cun)的極(ji)限偏差


金屬(shu)(shu)波齒復(fu)合墊片金屬(shu)(shu)骨(gu)架(jia)尺(chi)寸的(de)(de)極限(xian)偏差(cha)見表13-50.復(fu)合后的(de)(de)墊片外徑和密封元(yuan)件寬度的(de)(de)極限(xian)偏差(cha)與金屬(shu)(shu)骨(gu)架(jia)的(de)(de)相同。


5. 墊(dian)片(pian)厚度公差


墊片厚度(du)的(de)極(ji)限偏差見表(biao)13-51;波(bo)齒深度(du)以及波(bo)齒圓弧(hu)半徑的(de)尺寸及其(qi)極(ji)限偏差由(you)制造廠(商(shang))進行確定。


6. 尺(chi)寸(cun)極限偏差


大直(zhi)徑法蘭用柔(rou)性石墨金屬波齒復合墊片尺(chi)寸極限偏差見表(biao)13-52.




50.jpg



三、技術(shu)要求


1. 金屬骨架


a. 金屬骨架材料(liao)(liao)及(ji)硬度(du)要求(qiu)見(jian)表(biao)13-53.材料(liao)(liao)的機械性能和化學成(cheng)分應符合(he)相應標準的規定。


b. 金屬骨架一般使用整張金屬板制(zhi)作(zuo),若受材(cai)料寬度限(xian)(xian)制(zhi)需(xu)拼(pin)接(jie)時,其拼(pin)接(jie)接(jie)頭的數量(liang)應(ying)有所(suo)限(xian)(xian)制(zhi)。拼(pin)接(jie)接(jie)頭的數量(liang)見(jian)表13-54.對接(jie)切口應(ying)采(cai)用氬弧焊或電焊對接(jie)焊縫(feng)(feng)必須打磨(mo)與母材(cai)齊平,焊縫(feng)(feng)處(chu)不應(ying)出(chu)現夾渣、氣孔(kong)等影響(xiang)焊接(jie)接(jie)頭質量(liang)的缺陷(xian)。


c. 金(jin)屬骨(gu)架(jia)的(de)結構(gou)見圖13-27,其結構(gou)尺寸和(he)參數由制(zhi)造(zao)廠(商)設計確(que)(que)定(ding),并(bing)確(que)(que)保金(jin)屬骨(gu)架(jia)兩(liang)(liang)側面(mian)波(bo)(bo)峰(feng)與(yu)波(bo)(bo)谷應錯開1/2齒(chi)距,波(bo)(bo)齒(chi)距一致(zhi),波(bo)(bo)齒(chi)圓弧(hu)半徑相等,所有齒(chi)尖應在一個平(ping)面(mian)內(nei)(nei),骨(gu)架(jia)無明顯翹曲變(bian)形。成形后的(de)金(jin)屬骨(gu)架(jia)任意兩(liang)(liang)點厚度(du)偏差(cha)在制(zhi)作骨(gu)架(jia)的(de)板材厚度(du)偏差(cha)范圍之內(nei)(nei)。


d. 定(ding)(ding)位(wei)環(包括定(ding)(ding)位(wei)耳環)厚(hou)度T1通(tong)常為T1≤t-0.5,定(ding)(ding)位(wei)環可直接與波(bo)齒部分(fen)一起(qi)加工成一整體。定(ding)(ding)位(wei)環采用碳鋼(gang)材料(liao)時,其表(biao)面應進行防銹(xiu)處理。


e. 當(dang)墊(dian)片單邊(bian)寬度較窄時,宜采用較小的波(bo)齒距,并使單邊(bian)不得少于3個齒尖,以保證(zheng)密封(feng)性(xing)能(neng)。


2. 墊片的復(fu)合


a. 墊片用粘合劑應(ying)按有關標準規(gui)(gui)定,柔(rou)性石(shi)墨應(ying)符合JB/T 7758.2《柔(rou)性石(shi)墨板技術條(tiao)件》的規(gui)(gui)定。


b. 墊片復合(he)后的(de)截面(mian)圖見圖13-28.墊片的(de)公稱厚度(du)T一般(ban)為2.5、3.0、4.0和(he)4.5mm四(si)種,特殊厚度(du)的(de)墊片可根據(ju)用戶要求制作(zuo)。


圖 28.jpg


c. 柔性石墨與金(jin)屬骨架復合后應不(bu)(bu)脫膠,附著牢固,粘(zhan)合無多(duo)余飛邊。墊(dian)片(pian)厚度均勻一致,表面光滑平(ping)整,不(bu)(bu)允許(xu)有影(ying)響密封性能的(de)徑向貫(guan)通劃傷、壓痕及凹凸不(bu)(bu)平(ping)等(deng)缺陷(xian)。


d. 大規格墊片(DN≥300mm)石墨允(yun)許(xu)搭接(jie),搭接(jie)部分的寬度為1~3mm,應采用(yong)斜口搭接(jie),上下層搭接(jie)部分不能重疊,搭接(jie)處應光滑(hua)過渡。


3. 性能(neng)


 柔性石墨金屬(shu)波(bo)齒復合墊(dian)片各項力學性能及密封性能指標(biao)見表13-55.


55.jpg


四、標記及(ji)標志(zhi)


1. 標(biao)記


 a. 標記方法


雜 4.jpg


 b. 標記示例


  墊片型式:帶定位環型;金屬(shu)骨架材料(liao):06Cr19Ni10;公(gong)稱尺寸:DN150;公(gong)稱壓力:PN40;墊片標(biao)準:GB/T 19066.1;其標(biao)記(ji)為:


  波齒墊  B4-DN150-PN40  GB/T 19066.1


2. 標志


按GB/T 19066.3-2003《柔性(xing)石(shi)墨金屬波(bo)齒復合(he)墊(dian)片(pian)技術條件》規定(ding):經檢驗合(he)格(ge)的產品(pin),制造廠應填寫產品(pin)合(he)格(ge)證作為標志,并(bing)隨產品(pin)一起裝箱發送。合(he)格(ge)證包括以下各項內容:


  a. 產品(pin)標記。


  b. 產品規(gui)格及符合標準的編號(hao)。


  c. 產品批號。


 d. 生產日期。


 e. 檢驗(yan)日期及檢驗(yan)者(zhe)姓名、代號。


 f. 制造廠名稱。


 g. 商標。