球(qiu)墨鑄鐵承(cheng)接(jie)管件結(jie)構型式與尺寸如下(xia):


盤承套管型(xing)式見圖6-19a),尺寸見表(biao)6-19;盤承短管型(xing)式見圖6-19b),尺寸見表(biao)6-19。



盤插型式見圖6-20a),尺寸見表6-20;承套型式見圖6-20b),尺寸見表6-20;



雙承和承插(cha)90°(1/4)彎(wan)管型式見圖(tu)6-21,尺寸見表6-21。雙(shuang)承和(he)承插45°(1/8)彎管型(xing)式(shi)見圖6-22,尺寸見表6-21。



雙承和承插22°30'(1/16)彎管型式見圖6-23,尺寸見表6-22。雙(shuang)承和承插(cha)11°15'(1/32)彎管型式見圖6-24,尺寸見表6-22。




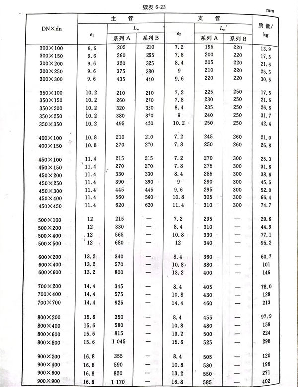
全承三(san)通型(xing)式見圖(tu) 6-25 ,尺寸見表(biao) 6-23 。



雙承單支盤三通(tong)型式見(jian)(jian)圖 6-26 ,尺寸見(jian)(jian)表(biao) 6-24 。


24.jpg


雙承漸縮管型(xing)式見(jian)圖 6-27 ,尺寸見(jian)表 6-25 。



雙承一絲(si)丁(ding)字管型式見圖 6-28 ,尺(chi)寸見表 6-26 。


26.jpg


雙(shuang)承和承插(cha)乙字管型式(shi)見圖(tu) 6-29 ,尺寸見表 6-27 。


27.jpg


雙承丁字管型式見圖 6-30 ,尺寸見表 6-28 。



全承(cheng)四(si)通型式見圖 6-31 ,尺(chi)寸(cun)見表(biao) 6-29 。



插堵型式見圖 6-32 ,尺(chi)寸(cun)見表 6-30 。


30.jpg


滑入式和機械(xie)式承堵型式見(jian)圖 6-33 ,尺寸見(jian)表(biao) 6-31 。