香蕉视频app破解码
香蕉視頻app破解碼:
首頁(ye)
香蕉視頻app破解碼:
關于我們(men)
香蕉視頻app破解碼:
公(gong)司簡介
香蕉視頻app破解碼:
企業理念
香蕉視頻app破解碼:
核心服務
香蕉視頻app破解碼:
榮(rong)譽證書(shu)
香蕉視頻app破解碼:
新聞中心
香蕉視頻app破解碼:
企業(ye)資訊
香蕉視頻app破解碼:
行業(ye)新聞
香蕉視頻app破解碼:
產品中心
香蕉視頻app破解碼:
不銹鋼管
香蕉視頻app破解碼:
不銹鋼管(guan)件
香蕉視頻app破解碼:
不(bu)銹鋼法蘭(lan)
香蕉視頻app破解碼:
預制件加工
香蕉視頻app破解碼:
車間設備
香蕉視頻app破解碼:
生(sheng)產設備
香蕉視頻app破解碼:
檢測設備
香蕉視頻app破解碼:
質保體系
香蕉視頻app破解碼:
體(ti)系認證
香蕉視頻app破解碼:
售后服務
香蕉視頻app破解碼:
聯系我(wo)們
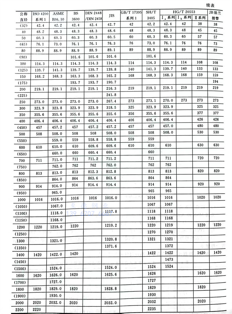
國標美標日標歐標不銹鋼管公稱直徑及其外徑尺寸規格對照表
發布日期:2023-12-10 16:12:43 人氣:707
國標美標日標歐標
香蕉視頻app破解碼:
不銹鋼管
公稱直徑及相應管子標準及其外徑尺寸規格對照表
S30403 00Cr19Ni10 不銹鋼標準牌號化學成分及主要特性和用途
球墨鑄鐵管件法蘭盤的結構型式與尺寸
猜你喜歡
香蕉視頻app破解碼:浙江溫州鋼管廠家304不銹鋼管常用規格價格表