1. ASME B31.3壁(bi)厚(hou)設(she)計(ji)計(ji)算與對比分析(xi)


雜 1.jpg

圖 3.jpg


  從上面的(de)推導過程(cheng)可(ke)知,對于理想的(de)薄壁圓筒管狀(zhuang)設備,如果(guo)要使(shi)其強度承受給定內壓而(er)不致破壞(huai),所取的(de)計算厚度應(ying)與(yu)內壓和管子直徑的(de)乘積(ji)成(cheng)正(zheng)比,與(yu)材料的(de)許用(yong)應(ying)力成(cheng)反比。經過多年發展和對公(gong)式(shi)的(de)不斷修正(zheng),形成(cheng)了目(mu)前廣泛(fan)認(ren)可(ke)的(de)ASME B31.3經典壁厚計算公(gong)式(shi)(3.3.4)或式(shi)(3.3.5)。



2. ASME B31.3管道壁厚計算方(fang)法


(1)管(guan)道的直(zhi)管(guan)部(bu)分(fen)所要求的厚度應按公式(3.3.4)確(que)定:


       tm=t+c  (3.3.4)


考慮到鋼廠(chang)的負偏差,應選用管道最小壁厚T≥tm


(2)直管的壓力設計公式中的代號意義(yi)如下:


    c--機械(xie)裕量(liang)(螺紋(wen)或(huo)溝槽深(shen)(shen)度(du))與腐蝕和磨蝕裕量(liang)的總和。對(dui)于(yu)(yu)帶螺紋(wen)的組件,應(ying)采用(yong)公(gong)(gong)稱螺紋(wen)深(shen)(shen)度(du)(ASME B1.20.1的尺寸h或(huo)相當(dang)的尺寸);對(dui)于(yu)(yu)沒(mei)有(you)規定公(gong)(gong)差的機加工表面或(huo)槽,應(ying)在規定的切削深(shen)(shen)度(du)加上0.5mm(0.02in)的公(gong)(gong)差;


   d--管道內(nei)徑。對于壓力設計計算時,管道內(nei)徑應是(shi)采購技術條件下的最大值;


   D--管(guan)道的外徑,如標準或(huo)技術條件表列或(huo)實測;


   E--ASME B31.3表A-1A或A1-1B所列質量系數;


   p--設(she)計內壓(ya)(表(biao)壓(ya));


   S--材料的許用應力,見ASME B31.3表A-1;


   T--管(guan)壁(bi)厚(實(shi)測或按采購技(ji)術條件中(zhong)的最小壁(bi)厚);


   tm--包括(kuo)機加(jia)工、腐(fu)蝕(shi)和磨蝕(shi)裕量在內的所需最(zui)小厚度;


   t--壓力(li)設(she)計(ji)厚度(du);


W--焊縫結構強(qiang)度降(jiang)低(di)系數。

   

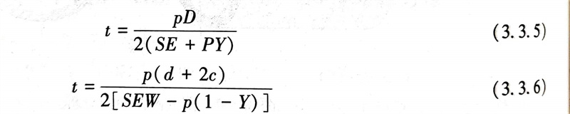
 W 是考慮(lv)蠕變溫度下新加的一個小于(yu)或等于(yu)1的系數。實(shi)際上(shang)式(shi)(3.3.5)和(he)式(shi)(3.3.6)最初(chu)來(lai)源于(yu)較(jiao)精(jing)確且較(jiao)復(fu)雜的拉(la)美(Lamé)公式(shi)(在1883年提出)的經驗近似式(shi)。


  焊縫接頭強(qiang)度降(jiang)(jiang)低系數(shu)(shu)(shu)W是引(yin)起焊縫接頭失效的(de)(de)名義(yi)應(ying)(ying)力與相同持久時間母材失效的(de)(de)名義(yi)應(ying)(ying)力的(de)(de)比,在(zai)(zai)缺少更多可用數(shu)(shu)(shu)據的(de)(de)情況下(如蠕變試(shi)驗),對于所(suo)有(you)材料,在(zai)(zai)溫(wen)度不大(da)于510℃(950℉)時,應(ying)(ying)取(qu)(qu)為1.0,在(zai)(zai)溫(wen)度815℃(1500°℉)時,應(ying)(ying)取(qu)(qu)為0.5。中間溫(wen)度的(de)(de)強(qiang)度降(jiang)(jiang)低系數(shu)(shu)(shu)應(ying)(ying)使用線(xian)性內插法取(qu)(qu)得(de)。對于溫(wen)度高于815℃(1500°℉)的(de)(de)情況,由設(she)計者負責確定強(qiang)度降(jiang)(jiang)低系數(shu)(shu)(shu)。


  使(shi)用焊(han)縫(feng)接(jie)頭的蠕變(bian)試(shi)(shi)驗(yan)來確定(ding)強度降(jiang)低(di)(di)系數時,宜使(shi)用全(quan)厚度橫(heng)截面焊(han)縫(feng)試(shi)(shi)樣試(shi)(shi)驗(yan),其持久(jiu)時間不低(di)(di)于1000h。除非設計者考(kao)慮由于橫(heng)穿焊(han)縫(feng)應力重新分配(pei)的影響,應使(shi)用全(quan)厚度焊(han)縫(feng)試(shi)(shi)樣。


Y--當t/D/6時從ASME B31.3表(biao)查得系數,見表(biao)3.3.18。對于(yu)中間溫(wen)度,Y值(zhi)可用內(nei)插法求得。


表 18.jpg


(3)承受(shou)內壓(ya)的直管。


    ①. 當t<D/6時(shi),直管的內壓設計厚(hou)度,應不小于式(3.3.5)或式(3.3.6)計算出的厚(hou)度:


式 5.jpg


    ②. 當(dang)t≥D/6時或(huo)p/SE>0.385時,直管的內壓設計厚(hou)度要對諸如失效(xiao)機理、疲(pi)勞影響和熱應力等因(yin)素予(yu)以特殊考慮。


(4)承受外壓的(de)直管(guan)。


   確定(ding)承受(shou)外(wai)壓的(de)(de)直管的(de)(de)壁厚和剛性加(jia)(jia)強(qiang)(qiang)要求時,應遵照BPV規范VII卷第1冊(ce)UG-28至(zhi)UG-30規定(ding)的(de)(de)程序,使(shi)用UG-29規定(ding)的(de)(de)兩剛性加(jia)(jia)強(qiang)(qiang)圈斷面中心線間長度(du)(du)作為設計長度(du)(du)Lo。作為例外(wai)的(de)(de)是(shi)當P.2的(de)(de)S值應是(shi)在設計溫度(du)(du)下管道材料下列數值中較小值:


   ①. 1.5倍(bei)ASME B31.3附錄表A-1的(de)許用應(ying)力;

   ②. 0.9倍列于第II卷(juan)D篇(pian)表(biao)Y-1相應材(cai)料屈服強度(du)。

(第VII卷中的符號D。相(xiang)當于(yu)ASME B31.3中的D)





聯系方式.jpg