1. 化學成分


  a. 電站(zhan)彎管常用國產管材(cai)的化學成分見表14-2。


  b. 電站彎管常(chang)用國外管材(cai)的化學成分見(jian)表14-3。



2. 室溫力學性能


  a. 電站彎管(guan)(guan)常用國產管(guan)(guan)材的室溫力學性能見表(biao)14-4。


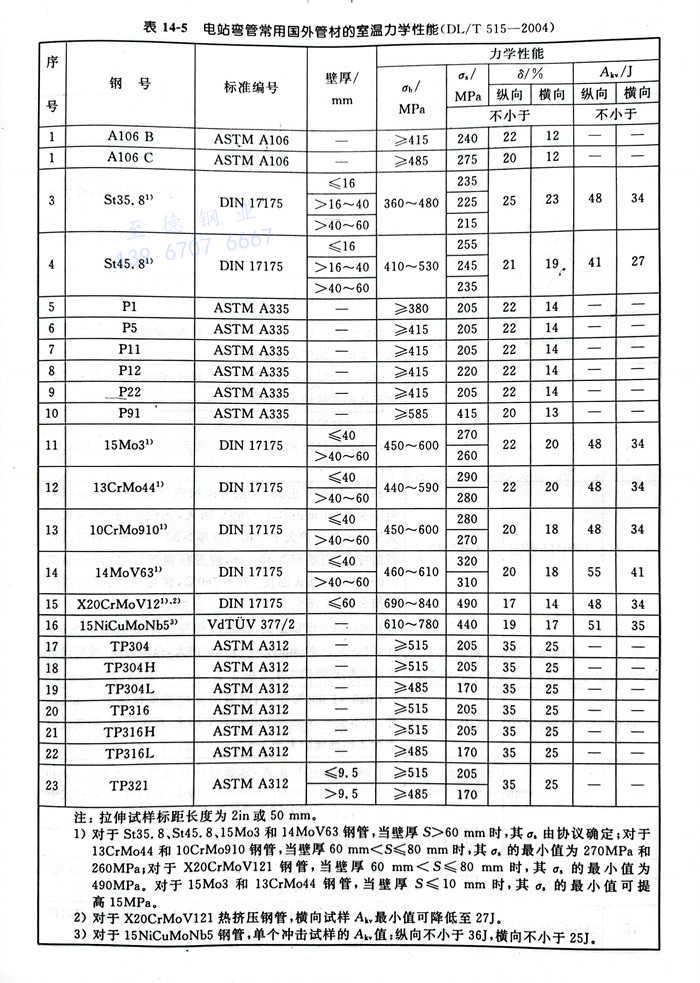
  b. 電(dian)站彎管(guan)常用國(guo)外管(guan)材的室(shi)溫力學性能見表14-5。


3. 熱處理制度


  電(dian)站彎管常用鋼管的熱處理制(zhi)度見表 14-6





聯系方式.jpg