1. 不(bu)銹鋼管入廠驗收的(de)基本要求


  鋼管應有鋼號及標準代號印記,不銹鋼(gang)管質量應符合相應的鋼管技術標準要求。


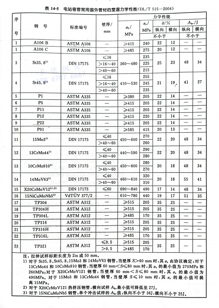
  不(bu)銹鋼管材(cai)料(liao)應(ying)(ying)按質(zhi)量合(he)(he)格證(zheng)書(shu)或質(zhi)量保證(zheng)書(shu)進(jin)行質(zhi)量驗收。質(zhi)量合(he)(he)格證(zheng)書(shu)或質(zhi)量保證(zheng)書(shu)應(ying)(ying)標明鋼號(hao)、化(hua)學(xue)(xue)成(cheng)分、力學(xue)(xue)性能(常用(yong)管材(cai)化(hua)學(xue)(xue)成(cheng)分及分學(xue)(xue)性能見表14-2~表14-5),以及必要(yao)的(de)(de)熱處理(li)工藝等。數據不(bu)全(quan)的(de)(de)應(ying)(ying)進(jin)行補檢(jian),補檢(jian)的(de)(de)方法、范圍、數量應(ying)(ying)符合(he)(he)國家(jia)標準或行業標準。進(jin)口鋼管除應(ying)(ying)符合(he)(he)合(he)(he)同規定的(de)(de)有(you)關國家(jia)的(de)(de)技術標準外,還應(ying)(ying)有(you)入境貨物(wu)檢(jian)驗檢(jian)疫證(zheng)明。


2. 彎(wan)制前準備


 a. 鋼管在彎制前應驗證(zheng)其鋼號,鋼管直徑和(he)壁厚應符(fu)合相應的鋼管技術標準及設計(ji)要求。


 b. 不(bu)銹鋼管彎制前應進行光譜分析和硬度(du)試驗。


 c. 不銹鋼(gang)管(guan)在彎制前應作宏觀檢查,外觀質量應符(fu)合 DL 5031-1994《電力(li)建設施(shi)工(gong)及驗(yan)收技(ji)術規范(管(guan)道篇(pian))》中3.1.3條有要(yao)求(qiu)。經檢查發現有重坡、裂紋(wen)、劃痕、凹坑(keng)等局部(bu)缺(que)陷的(de)(de)鋼(gang)管(guan),應逐步(bu)修(xiu)磨(mo)直至缺(que)陷完(wan)全消除,修(xiu)磨(mo)后的(de)(de)實際壁(bi)厚仍應符(fu)合其相應的(de)(de)鋼(gang)管(guan)技(ji)術標(biao)準(zhun)要(yao)求(qiu)或設計要(yao)求(qiu)。


 d. 用作不銹鋼彎管的直管,其最小壁厚的選擇見表14-7及表14-8。彎制時應將直管較厚的一側置于彎管的受拉側。





 e. 不銹(xiu)鋼(gang)(gang)(gang)(gang)管(guan)在下料(liao)時應進行鋼(gang)(gang)(gang)(gang)管(guan)材料(liao)標(biao)(biao)記(包括鋼(gang)(gang)(gang)(gang)號和(he)鋼(gang)(gang)(gang)(gang)管(guan)爐(lu)批號)移(yi)植(zhi)。對于(yu)主蒸(zheng)汽(qi)管(guan)道、再(zai)熱蒸(zheng)汽(qi)管(guan)道和(he)高壓給水管(guan)道,宜進行鋼(gang)(gang)(gang)(gang)印(yin)標(biao)(biao)記移(yi)植(zhi),鋼(gang)(gang)(gang)(gang)印(yin)標(biao)(biao)記應清(qing)晰完整,其(qi)字體大小不應小于(yu)3.5號。鋼(gang)(gang)(gang)(gang)印(yin)標(biao)(biao)記宜采用(yong)(yong)低(di)應力鋼(gang)(gang)(gang)(gang)印(yin)鈍頭(tou)連續點字模(mo)(mo)或鈍頭(tou)斷續點字模(mo)(mo),可用(yong)(yong)“圓頭(tou)”或“球形”沖(chong)頭(tou)打印(yin)。每(mei)一字模(mo)(mo)不應呈現尖銳狀和(he)危(wei)及鋼(gang)(gang)(gang)(gang)管(guan)設(she)計厚(hou)度的(de)深坑。移(yi)植(zhi)的(de)標(biao)(biao)記應位于(yu)便(bian)于(yu)識別(bie)的(de)直管(guan)段上。對于(yu)其(qi)他管(guan)道,材料(liao)標(biao)(biao)記移(yi)植(zhi)方法由供需(xu)雙方協商確(que)定。


3. 彎管工藝評定(ding)


 a. 不銹鋼彎(wan)管加工企業應進行彎(wan)管工藝(yi)評定。


 b. 不銹鋼彎管(guan)工藝評定應按DL/T 515-2004中附錄D的規定進行。


 c. 不銹鋼彎(wan)管(guan)工藝(yi)評定應(ying)由具備資質的第三方檢驗機構進行見證(zheng)。


4. 彎管技術(shu)要求


 a. 不銹鋼彎管每端應(ying)有直管段,直管段長度一般不應(ying)小于(yu)管子的(de)外徑(jing)。對于(yu)感應(ying)加(jia)熱彎管,推薦的(de)直管段長度見(jian)表14-9。


 b. 不銹鋼彎管加工時,管子不應與腐蝕性介質或(huo)有害物質接(jie)觸。


 c. 應(ying)按(an)評定合格(ge)的彎管(guan)工藝進行彎管(guan),不應(ying)彎制評定范圍(wei)以外(wai)的鋼管(guan)。


 d.熱(re)彎(wan)彎(wan)管推薦的加熱(re)溫度及冷卻(que)方式(shi)見表14-10。





聯系方式.jpg