金屬(shu)(shu)在(zai)大氣中(zhong)會自發進行氧(yang)化(hua)(hua),隨著溫(wen)度增高(gao),大氣中(zhong)水分蒸發,濕腐蝕(shi)變(bian)成(cheng)干腐蝕(shi),腐蝕(shi)更嚴重,在(zai)工(gong)業中(zhong)成(cheng)為(wei)重要問(wen)題。如高(gao)溫(wen)石油化(hua)(hua)工(gong)管道等(deng)都(dou)存在(zai)高(gao)溫(wen)氧(yang)化(hua)(hua)問(wen)題。在(zai)高(gao)溫(wen)下金屬(shu)(shu)表(biao)面(mian)產生一層氧(yang)化(hua)(hua)膜(mo)。Pilling和Bedworth曾指出,抗(kang)氧(yang)化(hua)(hua)性和氧(yang)化(hua)(hua)物與金屬(shu)(shu)的體積(ji)比有(you)關。如用R表(biao)示單位(wei)體積(ji),則:


式 2.jpg


  當R<1時,氧(yang)化物不(bu)(bu)能覆蓋金屬(shu)表面,因(yin)而沒有保護性(xing);當R>1時,氧(yang)化物中將產生較大(da)的應(ying)(ying)力,膜易破裂(lie)脫落,保護性(xing)不(bu)(bu)好。理想的比(bi)值應(ying)(ying)接近(jin)1。此(ci)外,保護性(xing)高(gao)的膜還應(ying)(ying)具(ju)有高(gao)熔點,低(di)(di)(di)蒸氣壓(ya),膨(peng)脹系數與金屬(shu)接近(jin),良(liang)好的抗(kang)破裂(lie)高(gao)溫塑(su)性(xing),低(di)(di)(di)電導率,對金屬(shu)離子和(he)氧(yang)的擴散系數低(di)(di)(di)等。


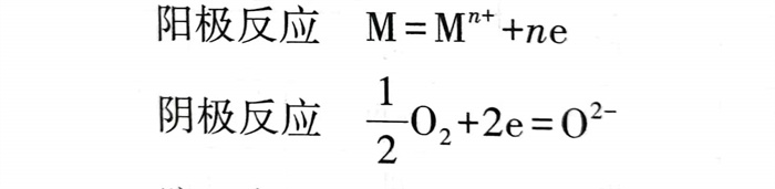
  金屬(shu)的高溫氣體腐蝕也是(shi)一個電(dian)化學過(guo)程。如圖8.1.13所示。陽極(ji)反應是(shi)金屬(shu)離(li)(li)子(zi)化,在(zai)膜(mo)-金屬(shu)界面發生;陰極(ji)反應是(shi)氧的離(li)(li)子(zi)化,在(zai)膜(mo)-氣體界面發生。電(dian)子(zi)和離(li)(li)子(zi)(金屬(shu)離(li)(li)子(zi)和氧離(li)(li)子(zi))在(zai)膜(mo)中兩極(ji)之(zhi)間流動,它和水溶液中的腐蝕電(dian)池相似。


雜 5.jpg


13.jpg


  防止高溫氧(yang)化(hua)最有(you)效(xiao)的方(fang)法是(shi)在(zai)基體金屬中(zhong)加(jia)入有(you)效(xiao)的合金成(cheng)分,使膜中(zhong)生成(cheng)保護性很強的二(er)元(yuan)(yuan)或三元(yuan)(yuan)化(hua)合物,使離子擴散更為困難,氧(yang)化(hua)速度因而(er)下降。





聯系方式.jpg