壓(ya)力(li)對(dui)鑄錠(ding)的(de)凝(ning)固相(xiang)(xiang)變和組(zu)織有十分重(zhong)要(yao)的(de)影響,如(ru)壓(ya)力(li)能提高晶粒形(xing)核速率,減(jian)小臨界形(xing)核半(ban)徑(jing),增大冷(leng)卻速率,細化枝晶組(zu)織,減(jian)輕或消除(chu)凝(ning)固缺陷(疏松、縮孔(kong)、氣孔(kong)和偏(pian)析)以及改(gai)變析出相(xiang)(xiang)形(xing)貌(mao)和類型等。由于鋼(gang)鐵材(cai)料固/液相(xiang)(xiang)線(xian)溫度較高,加壓(ya)難度相(xiang)(xiang)對(dui)較大,不過,較低(di)壓(ya)力(li)依然具有改(gai)善(shan)鑄型和鑄錠(ding)間換熱條(tiao)件、打破液相(xiang)(xiang)中氮氣泡等壓(ya)力(li)平(ping)衡的(de)能力(li),進而達到改(gai)善(shan)鋼(gang)鐵凝(ning)固組(zu)織,減(jian)輕或消除(chu)凝(ning)固缺陷等目的(de)。


一、枝晶組織


  枝晶組(zu)織的出(chu)現和生長與液(ye)相中的成分(fen)過(guo)冷密不可分(fen),當凝固界(jie)面(mian)(mian)出(chu)現擾動導致(zhi)液(ye)相出(chu)現局部(bu)成分(fen)過(guo)冷時,液(ye)相中就(jiu)具備了促使(shi)界(jie)面(mian)(mian)發生波動的驅動力,進一步(bu)增大了凝固界(jie)面(mian)(mian)的不穩(wen)定性,從而(er)使(shi)凝固界(jie)面(mian)(mian)從平面(mian)(mian)狀(zhuang)向(xiang)樹枝狀(zhuang)轉變,形成枝晶組(zu)織,液(ye)相中成分(fen)過(guo)冷的判據為


  式中,GrL為(wei)液(ye)相(xiang)溫度(du)(du)梯度(du)(du);v為(wei)凝(ning)固(gu)(gu)速率(lv)(lv);m為(wei)液(ye)相(xiang)線斜率(lv)(lv);CL為(wei)凝(ning)固(gu)(gu)界面(mian)處液(ye)相(xiang)中溶(rong)(rong)質(zhi)的(de)質(zhi)量(liang)分(fen)數;DL為(wei)液(ye)相(xiang)中溶(rong)(rong)質(zhi)的(de)擴(kuo)(kuo)(kuo)散系數;ko為(wei)溶(rong)(rong)質(zhi)分(fen)配系數。在(zai)(zai)不(bu)考(kao)慮壓(ya)(ya)(ya)力(li)(li)強化(hua)冷(leng)卻(即(ji)GrL保持恒定)情況下(xia)(xia)(xia),壓(ya)(ya)(ya)力(li)(li)可(ke)通過(guo)改變液(ye)相(xiang)線斜率(lv)(lv)、擴(kuo)(kuo)(kuo)散系數和(he)(he)溶(rong)(rong)質(zhi)分(fen)配系數等(deng)(deng)凝(ning)固(gu)(gu)參數,改變枝(zhi)晶(jing)(jing)(jing)(jing)(jing)形貌甚至(zhi)凝(ning)固(gu)(gu)組(zu)(zu)織(zhi)(zhi)的(de)組(zu)(zu)成(cheng)。Zhang等(deng)(deng)對比了(le)(le)高錳鋼(gang)(gang)(Fe-13Mn-1.2C)在(zai)(zai)常壓(ya)(ya)(ya)和(he)(he)6GPa下(xia)(xia)(xia)的(de)凝(ning)固(gu)(gu)組(zu)(zu)織(zhi)(zhi)。發現高錳鋼(gang)(gang)高壓(ya)(ya)(ya)下(xia)(xia)(xia)的(de)凝(ning)固(gu)(gu)組(zu)(zu)織(zhi)(zhi)包含細(xi)小(xiao)等(deng)(deng)軸晶(jing)(jing)(jing)(jing)(jing)和(he)(he)柱狀晶(jing)(jing)(jing)(jing)(jing),與常壓(ya)(ya)(ya)下(xia)(xia)(xia)的(de)凝(ning)固(gu)(gu)組(zu)(zu)織(zhi)(zhi)截然不(bu)同(圖(tu)2-107).晶(jing)(jing)(jing)(jing)(jing)粒尺(chi)寸(cun)統(tong)計(ji)結果表明(ming)(ming),高錳鋼(gang)(gang)在(zai)(zai)常壓(ya)(ya)(ya)下(xia)(xia)(xia)的(de)晶(jing)(jing)(jing)(jing)(jing)粒尺(chi)寸(cun)為(wei)(160±45)μm,6GPa下(xia)(xia)(xia)為(wei)(7.5±2.5)μm,壓(ya)(ya)(ya)力(li)(li)細(xi)化(hua)晶(jing)(jing)(jing)(jing)(jing)粒可(ke)達21倍之(zhi)(zhi)多,主要歸因于增(zeng)(zeng)加(jia)凝(ning)固(gu)(gu)壓(ya)(ya)(ya)力(li)(li)降低(di)了(le)(le)液(ye)相(xiang)中溶(rong)(rong)質(zhi)擴(kuo)(kuo)(kuo)散系數以及增(zeng)(zeng)大(da)了(le)(le)擴(kuo)(kuo)(kuo)散激活(huo)能,進而增(zeng)(zeng)大(da)了(le)(le)液(ye)相(xiang)成(cheng)分(fen)過(guo)冷(leng)度(du)(du),在(zai)(zai)抑制(zhi)(zhi)枝(zhi)晶(jing)(jing)(jing)(jing)(jing)生長的(de)同時(shi)增(zeng)(zeng)大(da)了(le)(le)形核率(lv)(lv)[129,153],從(cong)而使得高錳鋼(gang)(gang)凝(ning)固(gu)(gu)組(zu)(zu)織(zhi)(zhi)逐步向(xiang)枝(zhi)晶(jing)(jing)(jing)(jing)(jing)組(zu)(zu)織(zhi)(zhi)轉變,且(qie)細(xi)化(hua)十分(fen)顯著。Kashchiev和(he)(he)Vasudevan等(deng)(deng)的(de)研究表明(ming)(ming)。在(zai)(zai)凝(ning)固(gu)(gu)過(guo)程中,當固(gu)(gu)相(xiang)摩爾體積小(xiao)于液(ye)相(xiang)摩爾體積時(shi),加(jia)壓(ya)(ya)(ya)有助于提高形核率(lv)(lv),起到細(xi)化(hua)凝(ning)固(gu)(gu)組(zu)(zu)織(zhi)(zhi)的(de)作用,大(da)多數金屬合金屬于此(ci)類;反之(zhi)(zhi),加(jia)壓(ya)(ya)(ya)將(jiang)抑制(zhi)(zhi)晶(jing)(jing)(jing)(jing)(jing)粒的(de)形核,如水(shui)凝(ning)固(gu)(gu)成(cheng)冰。此(ci)外,壓(ya)(ya)(ya)力(li)(li)還能夠抑制(zhi)(zhi)枝(zhi)晶(jing)(jing)(jing)(jing)(jing)沿壓(ya)(ya)(ya)力(li)(li)梯度(du)(du)方向(xiang)的(de)生長,從(cong)而導致枝(zhi)晶(jing)(jing)(jing)(jing)(jing)組(zu)(zu)織(zhi)(zhi)和(he)(he)微(wei)觀偏析呈現方向(xiang)性。


107.jpg


  為(wei)了準(zhun)確地(di)論述壓力(li)對凝固(gu)組(zu)織的影響規(gui)律,本節將以19Cr14Mn0.9N含氮鋼和M42工具鋼加壓凝固(gu)組(zu)織為(wei)例,詳細分析(xi)壓力(li)對枝晶組(zu)織、析(xi)出(chu)相(xiang)等的影響。


 1. 柱狀晶向等軸晶轉(zhuan)變(CET)


   鑄(zhu)(zhu)錠的宏(hong)觀組織(zhi)主要(yao)由晶(jing)(jing)(jing)粒(li)的形(xing)(xing)(xing)貌、尺寸以(yi)及取(qu)向(xiang)(xiang)分布等構成,在合(he)金成分一(yi)定的情況(kuang)下(xia),它主要(yao)取(qu)決于(yu)鋼液(ye)在凝(ning)(ning)固(gu)過程中的冷卻(que)條件(包括澆注溫度(du)和(he)鑄(zhu)(zhu)型(xing)的冷卻(que)效果等。鑄(zhu)(zhu)錠的典(dian)型(xing)宏(hong)觀組織(zhi)可分為三個區(qu)(qu):表(biao)(biao)層(ceng)細(xi)晶(jing)(jing)(jing)區(qu)(qu)、柱(zhu)(zhu)狀(zhuang)晶(jing)(jing)(jing)區(qu)(qu)以(yi)及中心等軸(zhou)晶(jing)(jing)(jing)區(qu)(qu)。表(biao)(biao)層(ceng)的細(xi)晶(jing)(jing)(jing)區(qu)(qu)是由于(yu)鋼液(ye)在鑄(zhu)(zhu)型(xing)的激冷作用下(xia),具(ju)(ju)有(you)較大的過冷度(du),進(jin)而在鑄(zhu)(zhu)型(xing)壁(bi)面以(yi)異質(zhi)形(xing)(xing)(xing)核(he)(he)的方(fang)(fang)(fang)式大量形(xing)(xing)(xing)核(he)(he)并長(chang)大,最(zui)后(hou)形(xing)(xing)(xing)成細(xi)小(xiao)的等軸(zhou)晶(jing)(jing)(jing)區(qu)(qu),即表(biao)(biao)層(ceng)細(xi)晶(jing)(jing)(jing)區(qu)(qu)。隨著(zhu)凝(ning)(ning)固(gu)的進(jin)行,表(biao)(biao)層(ceng)細(xi)晶(jing)(jing)(jing)區(qu)(qu)逐步(bu)形(xing)(xing)(xing)成金屬外殼,使得傳熱(re)具(ju)(ju)備單向(xiang)(xiang)性(xing),有(you)助于(yu)晶(jing)(jing)(jing)粒(li)沿(yan)傳熱(re)方(fang)(fang)(fang)向(xiang)(xiang)生長(chang),呈現出方(fang)(fang)(fang)向(xiang)(xiang)性(xing),從(cong)而形(xing)(xing)(xing)成柱(zhu)(zhu)狀(zhuang)晶(jing)(jing)(jing)區(qu)(qu),也導致了表(biao)(biao)層(ceng)細(xi)晶(jing)(jing)(jing)區(qu)(qu)的區(qu)(qu)域窄小(xiao),厚度(du)通(tong)常為幾毫米。在后(hou)續的凝(ning)(ning)固(gu)過程中,伴隨著(zhu)凝(ning)(ning)固(gu)潛熱(re)的釋放,凝(ning)(ning)固(gu)前沿(yan)溫度(du)梯度(du)減小(xiao),傳熱(re)的單向(xiang)(xiang)性(xing)減弱,成分過冷度(du)增大,進(jin)而使得晶(jing)(jing)(jing)粒(li)生長(chang)的方(fang)(fang)(fang)向(xiang)(xiang)性(xing)減弱,抑(yi)制了柱(zhu)(zhu)狀(zhuang)晶(jing)(jing)(jing)的生長(chang),同時(shi)也促進(jin)了鑄(zhu)(zhu)錠心部異質(zhi)形(xing)(xing)(xing)核(he)(he)的發生,從(cong)而有(you)助于(yu)柱(zhu)(zhu)狀(zhuang)晶(jing)(jing)(jing)向(xiang)(xiang)等軸(zhou)晶(jing)(jing)(jing)轉變,最(zui)終形(xing)(xing)(xing)成中心等軸(zhou)晶(jing)(jing)(jing)區(qu)(qu)。


   因(yin)此(ci),鑄(zhu)(zhu)錠有兩類枝(zhi)(zhi)晶(jing)(jing)(jing)(jing)(jing)組織,即(ji)等(deng)(deng)(deng)軸(zhou)(zhou)晶(jing)(jing)(jing)(jing)(jing)和(he)(he)(he)(he)柱(zhu)狀(zhuang)(zhuang)(zhuang)晶(jing)(jing)(jing)(jing)(jing),通常采用枝(zhi)(zhi)晶(jing)(jing)(jing)(jing)(jing)間(jian)距和(he)(he)(he)(he)CET位(wei)(wei)置對其進行(xing)表(biao)(biao)(biao)征。圖(tu)2-108(a)給出了(le)凝(ning)固壓(ya)(ya)力(li)(li)(li)(li)分(fen)別為0.5MPa、0.85MPa和(he)(he)(he)(he)1.2MPa的(de)19Cr14Mn0.9N含氮(dan)鋼(gang)鑄(zhu)(zhu)錠縱剖面上(shang)(shang)的(de)宏觀組織;CET位(wei)(wei)置到(dao)鑄(zhu)(zhu)錠邊(bian)部(bu)(bu)距離(li)的(de)統計平(ping)均值分(fen)別為19.8mm、22.1mm和(he)(he)(he)(he)27.4mm,增量可達7.6mm,如圖(tu)2-108(b)所示。統計結果(guo)表(biao)(biao)(biao)明(ming),隨著(zhu)壓(ya)(ya)力(li)(li)(li)(li)的(de)增大(da),CET 位(wei)(wei)置逐(zhu)漸由邊(bian)部(bu)(bu)向(xiang)心(xin)部(bu)(bu)移動,柱(zhu)狀(zhuang)(zhuang)(zhuang)晶(jing)(jing)(jing)(jing)(jing)區(qu)(qu)(qu)(qu)區(qu)(qu)(qu)(qu)域增大(da),中心(xin)等(deng)(deng)(deng)軸(zhou)(zhou)晶(jing)(jing)(jing)(jing)(jing)區(qu)(qu)(qu)(qu)區(qu)(qu)(qu)(qu)域減小。根據柱(zhu)狀(zhuang)(zhuang)(zhuang)晶(jing)(jing)(jing)(jing)(jing)向(xiang)等(deng)(deng)(deng)軸(zhou)(zhou)晶(jing)(jing)(jing)(jing)(jing)轉變(bian)的(de)阻擋判據可知[156],當(dang)柱(zhu)狀(zhuang)(zhuang)(zhuang)晶(jing)(jing)(jing)(jing)(jing)枝(zhi)(zhi)晶(jing)(jing)(jing)(jing)(jing)尖端(duan)(duan)處等(deng)(deng)(deng)軸(zhou)(zhou)晶(jing)(jing)(jing)(jing)(jing)體積(ji)分(fen)數大(da)于臨(lin)界值時(shi),柱(zhu)狀(zhuang)(zhuang)(zhuang)晶(jing)(jing)(jing)(jing)(jing)尖端(duan)(duan)生(sheng)長(chang)受到(dao)抑制而停止,此(ci)時(shi)發(fa)生(sheng)柱(zhu)狀(zhuang)(zhuang)(zhuang)晶(jing)(jing)(jing)(jing)(jing)區(qu)(qu)(qu)(qu)向(xiang)中心(xin)等(deng)(deng)(deng)軸(zhou)(zhou)晶(jing)(jing)(jing)(jing)(jing)區(qu)(qu)(qu)(qu)轉變(bian)。因(yin)此(ci),CET轉變(bian)很大(da)程(cheng)度(du)上(shang)(shang)取決于中心(xin)等(deng)(deng)(deng)軸(zhou)(zhou)晶(jing)(jing)(jing)(jing)(jing)的(de)形(xing)核和(he)(he)(he)(he)長(chang)大(da)。由于壓(ya)(ya)力(li)(li)(li)(li)強化冷(leng)卻效果(guo)十分(fen)明(ming)顯,增加(jia)壓(ya)(ya)力(li)(li)(li)(li)加(jia)快了(le)鑄(zhu)(zhu)錠的(de)冷(leng)卻,增大(da)了(le)鑄(zhu)(zhu)錠的(de)溫度(du)梯度(du),從(cong)而降低(di)(di)了(le)枝(zhi)(zhi)晶(jing)(jing)(jing)(jing)(jing)前(qian)沿的(de)成分(fen)過(guo)冷(leng)度(du),此(ci)時(shi),等(deng)(deng)(deng)軸(zhou)(zhou)晶(jing)(jing)(jing)(jing)(jing)在柱(zhu)狀(zhuang)(zhuang)(zhuang)晶(jing)(jing)(jing)(jing)(jing)枝(zhi)(zhi)晶(jing)(jing)(jing)(jing)(jing)尖端(duan)(duan)的(de)形(xing)核和(he)(he)(he)(he)長(chang)大(da)就會受到(dao)嚴重阻礙和(he)(he)(he)(he)抑制;反之(zhi),降低(di)(di)壓(ya)(ya)力(li)(li)(li)(li),有助于等(deng)(deng)(deng)軸(zhou)(zhou)晶(jing)(jing)(jing)(jing)(jing)在柱(zhu)狀(zhuang)(zhuang)(zhuang)晶(jing)(jing)(jing)(jing)(jing)枝(zhi)(zhi)晶(jing)(jing)(jing)(jing)(jing)尖端(duan)(duan)處的(de)形(xing)核和(he)(he)(he)(he)長(chang)大(da),從(cong)而提前(qian)并加(jia)快了(le)CET.因(yin)此(ci),當(dang)壓(ya)(ya)力(li)(li)(li)(li)從(cong)0.5MPa增加(jia)到(dao)1.2MPa時(shi),壓(ya)(ya)力(li)(li)(li)(li)通過(guo)強化冷(leng)卻擴(kuo)大(da)了(le)柱(zhu)狀(zhuang)(zhuang)(zhuang)晶(jing)(jing)(jing)(jing)(jing)區(qu)(qu)(qu)(qu),促使CET轉變(bian)位(wei)(wei)置在徑向(xiang)上(shang)(shang)逐(zhu)漸由邊(bian)部(bu)(bu)向(xiang)心(xin)部(bu)(bu)移動。此(ci)外,在0.5MPa、0.85MPa和(he)(he)(he)(he)1.2MPa下,19Cr14Mn0.9N含氮(dan)鋼(gang)鑄(zhu)(zhu)錠縱剖面的(de)宏觀組織中均存在較窄(zhai)的(de)表(biao)(biao)(biao)層細晶(jing)(jing)(jing)(jing)(jing)區(qu)(qu)(qu)(qu)。


為了進一步研究壓力對CET的影響規律,在不(bu)考慮壓力強化(hua)冷(leng)卻效(xiao)果的前提下,對枝晶尖端(duan)生長(chang)速率v.隨(sui)壓力的變化(hua)規律進行理論計算,可采用KGT模型,,即




  基于2.3.2節分析所得ko和D等相關參數隨壓力的變化規律,結合式(2-188)和式(2-189)可得出不同過冷度下壓力對枝晶尖端生長速率的影響規律。對于19Cr14Mn0.9N 含氮鋼體系,當枝晶尖端的成分過冷度由某一元素偏聚造成時,壓力對枝晶尖端生長速率影響規律如圖2-109所示;當枝晶尖端的過冷度分別由錳和鉬造成時,增加壓力降低了枝晶尖端生長速率;當枝晶尖端的過冷度分別由鉻、碳和氮造成時,增加壓力會增大枝晶尖端生長速率。此外,隨著過冷度的增加,壓力對枝晶尖端生長速率的影響隨之增大;對比0.5MPa和10MPa下的枝晶生長尖端速率可知,枝晶尖端生長速率因壓力改變的變化量可達0.1mm/s,并且壓力越大,枝晶尖端生長速率的變化量越大;因而在高壓下,不考慮壓力強化冷卻效果時,壓力對枝晶尖端生長速率的影響也較大,進而影響CET位置。然而,當壓力從0.5MPa增加至1.2MPa,且不考慮壓力強化冷卻效果時,壓力對枝晶尖端的生長速率的影響較小,可以忽略不計。





   綜(zong)上所述,凝固(gu)壓(ya)(ya)力的(de)(de)增(zeng)(zeng)加會(hui)對(dui)枝晶尖端生(sheng)長速率產(chan)生(sheng)重要影響,且壓(ya)(ya)力的(de)(de)增(zeng)(zeng)量越大,影響越明(ming)顯。結合實(shi)驗和KGT模型(xing)理論計算(suan)可知,低壓(ya)(ya)下(xia),當凝固(gu)壓(ya)(ya)力從0.5MPa 增(zeng)(zeng)加至1.2MPa時,壓(ya)(ya)力主(zhu)要通過強(qiang)化冷卻的(de)(de)方(fang)式,使得鑄錠CET位置(zhi)逐漸由邊部(bu)向心部(bu)移(yi)動(dong)。



 2. 枝晶間(jian)距


  相(xiang)鄰(lin)同次(ci)枝(zhi)(zhi)晶臂之間(jian)的(de)垂直(zhi)距(ju)(ju)(ju)離稱為枝(zhi)(zhi)晶間(jian)距(ju)(ju)(ju),枝(zhi)(zhi)晶間(jian)距(ju)(ju)(ju)的(de)大小表征了(le)枝(zhi)(zhi)晶組織細化程(cheng)度(du)(du),枝(zhi)(zhi)晶間(jian)距(ju)(ju)(ju)越小,枝(zhi)(zhi)晶組織越細密[162],通(tong)常考慮(lv)的(de)枝(zhi)(zhi)晶間(jian)距(ju)(ju)(ju)有(you)一次(ci)枝(zhi)(zhi)晶間(jian)距(ju)(ju)(ju)入1和二次(ci)枝(zhi)(zhi)晶間(jian)距(ju)(ju)(ju)λ2.一次(ci)枝(zhi)(zhi)晶間(jian)距(ju)(ju)(ju)與凝固速率v和溫度(du)(du)梯(ti)度(du)(du)Gr的(de)關系(xi)為


式 190.jpg


  由(you)式(2-191)可(ke)知(zhi),合金(jin)體(ti)系一(yi)定(ding)時,分(fen)(fen)析局部區(qu)(qu)域冷卻(que)速率(lv)v.和(he)(he)溫度(du)梯度(du)Gr隨壓力(li)的(de)(de)變(bian)化趨(qu)勢,有(you)助于(yu)闡(chan)明壓力(li)對一(yi)次枝晶(jing)(jing)(jing)間距λ1的(de)(de)影(ying)響規律。因局部區(qu)(qu)域冷卻(que)速率(lv)vc和(he)(he)溫度(du)梯度(du)Gr的(de)(de)測(ce)量難(nan)度(du)較(jiao)大,可(ke)用模(mo)擬計算的(de)(de)方式獲得。在不(bu)同凝固壓力(li)下的(de)(de)組織模(mo)擬過程中,不(bu)考(kao)慮疏松縮孔對晶(jing)(jing)(jing)區(qu)(qu)分(fen)(fen)布的(de)(de)影(ying)響,模(mo)擬結果如(ru)圖(tu)2-110所示。為了更準(zhun)確地找到CET位置,使用平均(jun)縱(zong)橫(heng)比(bi)(晶(jing)(jing)(jing)粒(li)最(zui)短(duan)邊(bian)與(yu)最(zui)長邊(bian)的(de)(de)比(bi)率(lv))來(lai)區(qu)(qu)分(fen)(fen)柱狀(zhuang)晶(jing)(jing)(jing)和(he)(he)等軸(zhou)晶(jing)(jing)(jing):當晶(jing)(jing)(jing)粒(li)的(de)(de)縱(zong)橫(heng)比(bi)大于(yu)0.4時,晶(jing)(jing)(jing)粒(li)為等軸(zhou)晶(jing)(jing)(jing);當晶(jing)(jing)(jing)粒(li)的(de)(de)縱(zong)橫(heng)比(bi)小(xiao)于(yu)0.4時,則(ze)為柱狀(zhuang)晶(jing)(jing)(jing)。根據阻(zu)擋(dang)判據,等軸(zhou)晶(jing)(jing)(jing)體(ti)積分(fen)(fen)數的(de)(de)臨(lin)界值設定(ding)為0.49,以此作(zuo)為依據,19Cr14Mn0.9N含氮(dan)鋼在0.5MPa、0.85MPa 和(he)(he)1.2MPa 壓力(li)下,CET 位置在徑(jing)向(xiang)上離鑄錠邊(bian)部的(de)(de)平均(jun)距離分(fen)(fen)別為18.1mm、19.8mm和(he)(he)25.3mm.


110.jpg


  19Cr14Mn0.9N 含氮鋼鑄錠(ding)底部(bu)溫度梯度 Gr和(he)(he)冷(leng)卻速率v.隨壓(ya)(ya)力(li)的(de)變化規(gui)律,如(ru)圖2-111所示(shi)。在(zai)某一(yi)壓(ya)(ya)力(li)條件下(xia),vc和(he)(he)Gr沿(yan)徑向由(you)鑄錠(ding)邊(bian)部(bu)到(dao)(dao)心部(bu)均呈現逐漸減(jian)(jian)小的(de)趨勢(shi),結(jie)合式(shi)(2-190)可知(zhi),一(yi)次枝(zhi)晶間(jian)距入(ru)1與v.和(he)(he)Gr成(cheng)反比,因(yin)而1沿(yan)徑向由(you)邊(bian)部(bu)到(dao)(dao)心部(bu)逐漸增大(da)。當壓(ya)(ya)力(li)從(cong)0.5MPa增加至1.2MPa時,在(zai)壓(ya)(ya)力(li)強化冷(leng)卻的(de)作用下(xia),鑄錠(ding)內各單元體(ti)的(de)vc和(he)(he)Gr隨之增大(da),且(qie)對鑄錠(ding)邊(bian)緣(yuan)處的(de)單元體(ti)影(ying)響最大(da),在(zai)沿(yan)徑向向心部(bu)移動的(de)過程中,壓(ya)(ya)力(li)對vc和(he)(he)Gr的(de)影(ying)響逐步減(jian)(jian)弱。結(jie)合式(shi)(2-190)可知(zhi),一(yi)次枝(zhi)晶間(jian)距入(ru)1隨著vc和(he)(he)Gr的(de)增大(da)呈冪函數減(jian)(jian)小。因(yin)此,隨著壓(ya)(ya)力(li)增加,一(yi)次枝(zhi)晶間(jian)距入(ru)1減(jian)(jian)小,且(qie)越靠(kao)近鑄錠(ding)邊(bian)部(bu),入(ru)減(jian)(jian)小趨勢(shi)越明顯(xian),即(ji)壓(ya)(ya)力(li)對柱狀晶一(yi)次枝(zhi)晶間(jian)距的(de)影(ying)響大(da)于中心等(deng)軸晶區。


式 192.jpg


  由(you)邊部(bu)到心部(bu)逐漸增大(da),結合(he)式(2-192)可知,鑄錠心部(bu)的二(er)次枝(zhi)晶(jing)間距(ju)入2大(da)于邊部(bu);壓力從(cong)0.5MPa增加至1.2MPa時(shi),LST明顯減(jian)小,二(er)次枝(zhi)晶(jing)間距(ju)入2也隨之減(jian)小。


112.jpg


  圖(tu)2-112 不同(tong)壓(ya)(ya)力(li)(li)下距離19Cr14Mn0.9N含氮(dan)鋼(gang)鑄錠底部(bu)(bu)(bu)130mm處(chu)LST計(ji)算值由于等軸(zhou)晶(jing)(jing)(jing)(jing)的(de)一(yi)次(ci)(ci)(ci)(ci)枝(zhi)(zhi)晶(jing)(jing)(jing)(jing)臂彼此相交且沿(yan)徑向(xiang)以幾乎相同(tong)的(de)速率向(xiang)四周(zhou)生(sheng)長,同(tong)時(shi)(shi)不同(tong)等軸(zhou)晶(jing)(jing)(jing)(jing)間不存(cun)在任何確定的(de)位向(xiang)關(guan)系,難以通(tong)過實驗對(dui)等軸(zhou)晶(jing)(jing)(jing)(jing)的(de)一(yi)次(ci)(ci)(ci)(ci)晶(jing)(jing)(jing)(jing)間距進行(xing)測(ce)量,因此只對(dui)CET前柱狀晶(jing)(jing)(jing)(jing)的(de)一(yi)次(ci)(ci)(ci)(ci)枝(zhi)(zhi)晶(jing)(jing)(jing)(jing)間距進行(xing)測(ce)量。圖(tu)2-113給出(chu)了距19Cr14Mn0.9N含氮(dan)鋼(gang)鑄錠底部(bu)(bu)(bu)115mm的(de)高度處(chu)一(yi)次(ci)(ci)(ci)(ci)枝(zhi)(zhi)晶(jing)(jing)(jing)(jing)間距入(ru)1和(he)二次(ci)(ci)(ci)(ci)枝(zhi)(zhi)晶(jing)(jing)(jing)(jing)間距x2的(de)變化(hua)規(gui)律,在某(mou)一(yi)壓(ya)(ya)力(li)(li)下,沿(yan)徑向(xiang)由鑄錠邊(bian)部(bu)(bu)(bu)向(xiang)心部(bu)(bu)(bu)移(yi)動的(de)過程(cheng)中,1和(he)x2逐漸增(zeng)大;當壓(ya)(ya)力(li)(li)從(cong)(cong)0.5MPa增(zeng)加(jia)(jia)至(zhi)1.2MPa時(shi)(shi),1和(he)入(ru)2均呈(cheng)減(jian)小(xiao)的(de)趨勢(shi)。基于埋設(she)熱電偶的(de)測(ce)溫結果和(he)式(2-195)可得,2nd和(he)4h測(ce)溫位置處(chu)局(ju)部(bu)(bu)(bu)凝固(gu)時(shi)(shi)間隨(sui)壓(ya)(ya)力(li)(li)的(de)增(zeng)加(jia)(jia)而縮短,如(ru)圖(tu)2-113(a)所示,從(cong)(cong)而導(dao)致x2的(de)減(jian)小(xiao)。對(dui)比可知,枝(zhi)(zhi)晶(jing)(jing)(jing)(jing)間距(λ和(he)ん)和(he)局(ju)部(bu)(bu)(bu)凝固(gu)時(shi)(shi)間沿(yan)徑向(xiang)和(he)隨(sui)壓(ya)(ya)力(li)(li)變化(hua)趨勢(shi)的(de)實驗與模(mo)擬結果一(yi)致。



  綜上所述,增(zeng)加(jia)壓力能夠明顯減小枝晶(jing)間距(x1和x2),縮短局部凝固時(shi)間,細(xi)化凝固組織。鑄(zhu)錠邊部和心部試樣(yang)的枝晶(jing)形(xing)貌如(ru)圖2-114所示,進一步佐證了(le)增(zeng)加(jia)壓力具有明顯細(xi)化枝晶(jing)組織的作用,且(qie)對柱狀(zhuang)晶(jing)的影響大于(yu)中心等軸晶(jing)。


114.jpg



3. 晶粒數


  鑄錠(ding)內晶粒(li)(li)數與晶粒(li)(li)臨(lin)界(jie)形(xing)核(he)半(ban)徑和形(xing)核(he)率有(you)直接(jie)的關系,晶粒(li)(li)臨(lin)界(jie)形(xing)核(he)半(ban)徑為(wei):


式 196.jpg



  其中(zhong),Nm為與液(ye)相線溫(wen)度、凝(ning)固潛熱(re)、擴散激活能以及表面張(zhang)力(li)(li)有關的(de)系(xi)數(shu)(shu)。圖2-114給出了 19Cr14Mn0.9N 含氮鋼(gang)鑄(zhu)錠(ding)等(deng)(deng)軸(zhou)晶(jing)(jing)區(qu)內(nei)晶(jing)(jing)粒數(shu)(shu)隨壓(ya)力(li)(li)的(de)變化(hua)(hua)規律。壓(ya)力(li)(li)從0.5MPa增(zeng)加到1.2MPa時(shi),中(zhong)心等(deng)(deng)軸(zhou)晶(jing)(jing)區(qu)的(de)寬度逐漸減小,最小值(zhi)為56mm.19Cr14Mn0.9N含氮鋼(gang)鑄(zhu)錠(ding)180mm(高(gao))x56mm(寬)等(deng)(deng)軸(zhou)晶(jing)(jing)區(qu)內(nei)晶(jing)(jing)粒數(shu)(shu)隨壓(ya)力(li)(li)的(de)變化(hua)(hua)規律如圖2-115所(suo)示。當(dang)凝(ning)固壓(ya)力(li)(li)從0.5MPa增(zeng)加到0.85MPa時(shi),晶(jing)(jing)粒數(shu)(shu)目從9166增(zeng)加到9551;當(dang)凝(ning)固壓(ya)力(li)(li)進一步增(zeng)加到1.2MPa時(shi),晶(jing)(jing)粒數(shu)(shu)目增(zeng)加到10128.因此,提高(gao)凝(ning)固壓(ya)力(li)(li),鑄(zhu)錠(ding)等(deng)(deng)軸(zhou)晶(jing)(jing)區(qu)內(nei)晶(jing)(jing)粒數(shu)(shu)明(ming)顯增(zeng)大(da)。


115.jpg


  在(zai)低壓下,如壓力(li)從0.5MPa增(zeng)(zeng)至1.2MPa時(shi),液(ye)相(xiang)線溫度(du)(du)(du)(du)(du)、凝固(gu)潛熱(re)(re)、擴散(san)激活(huo)能(neng)以及表面張(zhang)力(li)的變(bian)量非常小(xiao),幾乎可以忽略,這樣可以假(jia)設(she)Nm在(zai)0.5MPa、晶粒(li)數(shu)(shu)0.85MPa和(he)1.2MPa下相(xiang)等(deng),近似為(wei)常數(shu)(shu)。提(ti)(ti)高壓力(li)能(neng)夠明顯地增(zeng)(zeng)大(da)鑄(zhu)錠的溫度(du)(du)(du)(du)(du)梯(ti)度(du)(du)(du)(du)(du)(圖(tu)2-111),溫度(du)(du)(du)(du)(du)梯(ti)度(du)(du)(du)(du)(du)越(yue)大(da),單位(wei)時(shi)間(jian)內從糊狀(zhuang)區內導出結(jie)晶潛熱(re)(re)的量越(yue)大(da),進而(er)提(ti)(ti)高了(le)糊狀(zhuang)區內過冷度(du)(du)(du)(du)(du);反(fan)之亦然,這意味著糊狀(zhuang)區過冷度(du)(du)(du)(du)(du)與溫度(du)(du)(du)(du)(du)梯(ti)度(du)(du)(du)(du)(du)隨壓力(li)的變(bian)化趨勢(shi)相(xiang)同,即隨著壓力(li)的提(ti)(ti)高而(er)增(zeng)(zeng)大(da)。結(jie)合式(2-193)和(he)式(2-197)可知,隨著糊狀(zhuang)區內過冷度(du)(du)(du)(du)(du)ΔT的增(zeng)(zeng)加,晶粒(li)臨(lin)界(jie)形核半徑rk減小(xiao),形核率Na增(zeng)(zeng)大(da),有助(zhu)于提(ti)(ti)高鑄(zhu)錠內晶粒(li)數(shu)(shu)。因此,增(zeng)(zeng)加壓力(li)有利(li)于增(zeng)(zeng)加晶粒(li)數(shu)(shu)。


  距離19Cr14Mn0.9N含氮鋼鑄錠(ding)(ding)底部(bu)130mm的(de)(de)(de)(de)(de)高度(du)(du)處,晶(jing)(jing)粒(li)數隨(sui)(sui)(sui)壓力(li)(li)的(de)(de)(de)(de)(de)變(bian)化規律(lv)如圖2-116所示。在某一凝固(gu)壓力(li)(li)下,鑄錠(ding)(ding)邊(bian)部(bu)的(de)(de)(de)(de)(de)晶(jing)(jing)粒(li)數目最大(da),隨(sui)(sui)(sui)著(zhu)離鑄錠(ding)(ding)邊(bian)部(bu)距離的(de)(de)(de)(de)(de)增(zeng)(zeng)加,由(you)于糊(hu)狀(zhuang)(zhuang)區內(nei)過冷(leng)度(du)(du)的(de)(de)(de)(de)(de)減(jian)(jian)小,晶(jing)(jing)粒(li)數也隨(sui)(sui)(sui)之減(jian)(jian)少(shao)。隨(sui)(sui)(sui)著(zhu)壓力(li)(li)提高,晶(jing)(jing)粒(li)數均呈增(zeng)(zeng)大(da)趨(qu)勢,且柱(zhu)(zhu)狀(zhuang)(zhuang)晶(jing)(jing)區內(nei)軸向切片上晶(jing)(jing)粒(li)數的(de)(de)(de)(de)(de)增(zeng)(zeng)量(liang)明顯(xian)大(da)于中心等軸晶(jing)(jing)區。因為在壓力(li)(li)強化冷(leng)卻的(de)(de)(de)(de)(de)作用下,整(zheng)個鑄錠(ding)(ding)的(de)(de)(de)(de)(de)溫(wen)(wen)度(du)(du)梯(ti)度(du)(du)均有增(zeng)(zeng)大(da)趨(qu)勢,導致(zhi)糊(hu)狀(zhuang)(zhuang)區內(nei)過冷(leng)度(du)(du)的(de)(de)(de)(de)(de)增(zeng)(zeng)加。同(tong)時,由(you)于距離鑄錠(ding)(ding)和鑄型(xing)換熱界面越近,溫(wen)(wen)度(du)(du)梯(ti)度(du)(du)受界面換熱的(de)(de)(de)(de)(de)影響越大(da),鑄錠(ding)(ding)邊(bian)部(bu)溫(wen)(wen)度(du)(du)梯(ti)度(du)(du)隨(sui)(sui)(sui)壓力(li)(li)變(bian)化趨(qu)勢越明顯(xian),進而(er)增(zeng)(zeng)加凝固(gu)壓力(li)(li),鑄錠(ding)(ding)邊(bian)部(bu)溫(wen)(wen)度(du)(du)梯(ti)度(du)(du)的(de)(de)(de)(de)(de)增(zeng)(zeng)量(liang)明顯(xian)大(da)于心部(bu),從而(er)導致(zhi)離鑄錠(ding)(ding)邊(bian)部(bu)較近的(de)(de)(de)(de)(de)柱(zhu)(zhu)狀(zhuang)(zhuang)晶(jing)(jing)區內(nei)晶(jing)(jing)粒(li)數的(de)(de)(de)(de)(de)增(zeng)(zeng)量(liang)明顯(xian)大(da)于中心等軸晶(jing)(jing)區。


116.jpg



二、疏松縮孔


  鑄錠(ding)產(chan)(chan)生(sheng)疏松(song)(song)縮(suo)(suo)孔的(de)基(ji)本原因是(shi)鑄錠(ding)從(cong)(cong)澆注(zhu)溫度(du)冷(leng)卻(que)至固(gu)相(xiang)線溫度(du)時(shi)產(chan)(chan)生(sheng)的(de)體(ti)收(shou)(shou)縮(suo)(suo)(液(ye)(ye)(ye)態(tai)收(shou)(shou)縮(suo)(suo)和(he)凝固(gu)收(shou)(shou)縮(suo)(suo)之(zhi)和(he))大于(yu)固(gu)態(tai)收(shou)(shou)縮(suo)(suo)。當鋼液(ye)(ye)(ye)從(cong)(cong)澆注(zhu)溫度(du)冷(leng)卻(que)至液(ye)(ye)(ye)相(xiang)線溫度(du)時(shi)所(suo)產(chan)(chan)生(sheng)的(de)體(ti)收(shou)(shou)縮(suo)(suo)為液(ye)(ye)(ye)態(tai)收(shou)(shou)縮(suo)(suo),鋼液(ye)(ye)(ye)進一(yi)步從(cong)(cong)液(ye)(ye)(ye)相(xiang)線溫度(du)冷(leng)卻(que)至固(gu)相(xiang)線溫度(du)時(shi)(即(ji)發生(sheng)凝固(gu)相(xiang)變時(shi))所(suo)產(chan)(chan)生(sheng)的(de)體(ti)收(shou)(shou)縮(suo)(suo)為凝固(gu)收(shou)(shou)縮(suo)(suo)[87],固(gu)態(tai)收(shou)(shou)縮(suo)(suo)是(shi)指固(gu)相(xiang)在冷(leng)卻(que)過程中所(suo)產(chan)(chan)生(sheng)的(de)體(ti)收(shou)(shou)縮(suo)(suo)。疏松(song)(song)縮(suo)(suo)孔的(de)出現嚴(yan)重降低(di)了(le)鑄錠(ding)的(de)力學和(he)耐腐蝕性能以及成材率,是(shi)鑄錠(ding)的(de)嚴(yan)重缺陷之(zhi)一(yi)。


 在(zai)凝固(gu)(gu)過程中鑄(zhu)錠內出現體(ti)積小而彌散的(de)空洞為疏(shu)(shu)松,體(ti)積大且(qie)集中的(de)為縮(suo)(suo)(suo)孔(kong)。疏(shu)(shu)松由在(zai)糊狀區(qu)內液相體(ti)積分(fen)數降到一定程度時,液相流動(dong)困難,液態收縮(suo)(suo)(suo)與(yu)凝固(gu)(gu)收縮(suo)(suo)(suo)之和超(chao)過固(gu)(gu)態收縮(suo)(suo)(suo)的(de)那部分(fen)收縮(suo)(suo)(suo)量無(wu)法得到補縮(suo)(suo)(suo)所導致,因而疏(shu)(shu)松的(de)形成(cheng)與(yu)枝晶間(jian)液相的(de)流動(dong)有(you)密切關聯[72,87].在(zai)糊狀區(qu)內,體(ti)收縮(suo)(suo)(suo)主(zhu)要(yao)由凝固(gu)(gu)收縮(suo)(suo)(suo)組成(cheng),且(qie)為枝晶間(jian)液體(ti)流動(dong)的(de)主(zhu)要(yao)驅動(dong)力,因而枝晶間(jian)液相的(de)流速u可(ke)表示為


式 198.jpg



  式(shi)中(zhong)(zhong),PΔx=Ps+Pf(其中(zhong)(zhong),Pt為(wei)鋼液靜壓(ya)力(li),Pf=pgh;Ps為(wei)凝(ning)(ning)固(gu)壓(ya)力(li))。結合式(shi)(2-202)可知,增(zeng)加凝(ning)(ning)固(gu)壓(ya)力(li),Px增(zeng)大(da),強化(hua)了枝晶間(jian)液相(xiang)的補(bu)縮(suo)能力(li),進而有助于(yu)避(bi)免(mian)疏松(song)的形成[91].此(ci)外,糊(hu)狀區(qu)(qu)越(yue)寬,枝晶網狀結構越(yue)復雜(za),枝晶間(jian)補(bu)縮(suo)的距離越(yue)長(chang)阻力(li)越(yue)大(da),滲透率K越(yue)小,疏松(song)越(yue)容易形成。因此(ci),疏松(song)易于(yu)在糊(hu)狀區(qu)(qu)較寬的鑄(zhu)(zhu)錠以體積(ji)凝(ning)(ning)固(gu)或同(tong)時凝(ning)(ning)固(gu)方(fang)式(shi)凝(ning)(ning)固(gu)時形成。相(xiang)比之(zhi)下,縮(suo)孔(kong)傾向(xiang)于(yu)在糊(hu)狀區(qu)(qu)較窄(zhai)的鑄(zhu)(zhu)錠以逐層凝(ning)(ning)固(gu)方(fang)式(shi)的凝(ning)(ning)固(gu)過程中(zhong)(zhong)出現。


  不同凝(ning)固(gu)壓(ya)力(li)(li)下(0.5MPa、0.85MPa和1.2MPa),19Cr14Mn0.9N含(han)氮(dan)鋼鑄錠縱剖(pou)面(mian)(mian)上疏松(song)(song)縮(suo)孔的(de)(de)(de)分(fen)布情況(kuang)如圖2-117所(suo)示。隨著凝(ning)固(gu)壓(ya)力(li)(li)的(de)(de)(de)增加(jia),疏松(song)(song)和縮(suo)孔的(de)(de)(de)總面(mian)(mian)積大(da)幅度(du)減小,且(qie)疏松(song)(song)逐(zhu)漸(jian)消失。由(you)于壓(ya)力(li)(li)具有(you)(you)顯著的(de)(de)(de)強化冷(leng)卻(que)效果,增大(da)凝(ning)固(gu)壓(ya)力(li)(li),強化了(le)鑄錠和鑄型間(jian)(jian)(jian)的(de)(de)(de)界面(mian)(mian)換熱(re),加(jia)快了(le)鑄錠的(de)(de)(de)冷(leng)卻(que)速率,從(cong)(cong)而增大(da)了(le)鑄錠溫度(du)梯度(du)Gr;在(zai)合金體系一(yi)定(ding)的(de)(de)(de)情況(kuang)下,糊狀(zhuang)區隨之確定(ding),那么(me)糊狀(zhuang)區的(de)(de)(de)寬度(du)隨溫度(du)梯度(du)Gr的(de)(de)(de)增大(da)而減小171],進而導致枝晶網狀(zhuang)結構的(de)(de)(de)形成受到抑制。凝(ning)固(gu)方式逐(zhu)漸(jian)由(you)體積凝(ning)固(gu)向逐(zhu)層凝(ning)固(gu)過(guo)渡,增大(da)了(le)滲透率K,從(cong)(cong)而降低和縮(suo)短枝晶間(jian)(jian)(jian)補(bu)縮(suo)時(shi)(shi)液(ye)相流動(dong)的(de)(de)(de)阻力(li)(li)和距離(li)。此(ci)外(wai),基(ji)于以(yi)上理論分(fen)析并結合判據式(2-202)可知,增加(jia)凝(ning)固(gu)壓(ya)力(li)(li)等效于增大(da)了(le)Px,使(shi)其遠大(da)于枝晶間(jian)(jian)(jian)液(ye)相補(bu)縮(suo)時(shi)(shi)所(suo)需壓(ya)力(li)(li)。因此(ci),加(jia)壓(ya)有(you)(you)利(li)于枝晶間(jian)(jian)(jian)液(ye)相的(de)(de)(de)補(bu)縮(suo)行(xing)為,且(qie)有(you)(you)助于大(da)幅度(du)減小或(huo)消除(chu)疏松(song)(song)缺陷。


117.jpg



三、凝固(gu)析出相(xiang)


  根據相所(suo)含非(fei)金屬元素的種類,可將凝固析出相分(fen)為氮化(hua)(hua)物(wu)、碳化(hua)(hua)物(wu)等,與碳化(hua)(hua)物(wu)相比,氮化(hua)(hua)物(wu)尺寸一般較小,為了更加清楚直(zhi)觀地論述增加壓(ya)力(li)對(dui)凝固析出相的影響,本節將著重以高(gao)速鋼M42中碳化(hua)(hua)物(wu)為例,闡述壓(ya)力(li)對(dui)凝固析出相的類型、形貌、成分(fen)等影響規(gui)律(lv)。


  高(gao)速鋼(gang)(gang)碳(tan)(tan)(tan)(tan)(tan)化(hua)(hua)(hua)(hua)(hua)(hua)物(wu)(wu)(wu)(wu)(wu)(wu)(wu)的(de)(de)(de)(de)數量繁(fan)多、種類各(ge)異。不(bu)同碳(tan)(tan)(tan)(tan)(tan)化(hua)(hua)(hua)(hua)(hua)(hua)物(wu)(wu)(wu)(wu)(wu)(wu)(wu)的(de)(de)(de)(de)特性不(bu)同、成(cheng)(cheng)分(fen)不(bu)同、形貌也(ye)各(ge)有(you)差(cha)異;按照碳(tan)(tan)(tan)(tan)(tan)化(hua)(hua)(hua)(hua)(hua)(hua)物(wu)(wu)(wu)(wu)(wu)(wu)(wu)的(de)(de)(de)(de)形貌特征及(ji)(ji)生成(cheng)(cheng)機制的(de)(de)(de)(de)不(bu)同,可將(jiang)高(gao)速鋼(gang)(gang)中(zhong)(zhong)碳(tan)(tan)(tan)(tan)(tan)化(hua)(hua)(hua)(hua)(hua)(hua)物(wu)(wu)(wu)(wu)(wu)(wu)(wu)分(fen)為一(yi)(yi)次(ci)碳(tan)(tan)(tan)(tan)(tan)化(hua)(hua)(hua)(hua)(hua)(hua)物(wu)(wu)(wu)(wu)(wu)(wu)(wu)和二(er)(er)次(ci)碳(tan)(tan)(tan)(tan)(tan)化(hua)(hua)(hua)(hua)(hua)(hua)物(wu)(wu)(wu)(wu)(wu)(wu)(wu)兩大(da)部(bu)(bu)分(fen)。一(yi)(yi)次(ci)碳(tan)(tan)(tan)(tan)(tan)化(hua)(hua)(hua)(hua)(hua)(hua)物(wu)(wu)(wu)(wu)(wu)(wu)(wu)又稱(cheng)為“初生碳(tan)(tan)(tan)(tan)(tan)化(hua)(hua)(hua)(hua)(hua)(hua)物(wu)(wu)(wu)(wu)(wu)(wu)(wu)”,即在(zai)凝固過(guo)程中(zhong)(zhong)直接從液相(xiang)中(zhong)(zhong)析(xi)(xi)出的(de)(de)(de)(de)碳(tan)(tan)(tan)(tan)(tan)化(hua)(hua)(hua)(hua)(hua)(hua)物(wu)(wu)(wu)(wu)(wu)(wu)(wu),包括各(ge)種先共晶和共晶碳(tan)(tan)(tan)(tan)(tan)化(hua)(hua)(hua)(hua)(hua)(hua)物(wu)(wu)(wu)(wu)(wu)(wu)(wu),有(you)M6C、M2C、MC等不(bu)同類型。一(yi)(yi)次(ci)碳(tan)(tan)(tan)(tan)(tan)化(hua)(hua)(hua)(hua)(hua)(hua)物(wu)(wu)(wu)(wu)(wu)(wu)(wu)的(de)(de)(de)(de)尺寸比較(jiao)大(da),屬于微(wei)米級別,在(zai)后續熱加工和熱處理(li)(li)工藝中(zhong)(zhong)將(jiang)被破碎或(huo)分(fen)解成(cheng)(cheng)尺寸較(jiao)小的(de)(de)(de)(de)顆粒(li)狀存在(zai)于鋼(gang)(gang)中(zhong)(zhong)。二(er)(er)次(ci)碳(tan)(tan)(tan)(tan)(tan)化(hua)(hua)(hua)(hua)(hua)(hua)物(wu)(wu)(wu)(wu)(wu)(wu)(wu)是指在(zai)凝固過(guo)程中(zhong)(zhong)或(huo)熱處理(li)(li)時從固相(xiang)基(ji)體(高(gao)溫鐵素(su)體、奧氏(shi)體、馬(ma)氏(shi)體等)中(zhong)(zhong)析(xi)(xi)出的(de)(de)(de)(de)碳(tan)(tan)(tan)(tan)(tan)化(hua)(hua)(hua)(hua)(hua)(hua)物(wu)(wu)(wu)(wu)(wu)(wu)(wu),分(fen)為M6C、MC、M23C6、M7C3、M2C等不(bu)同類型。高(gao)速鋼(gang)(gang)中(zhong)(zhong)碳(tan)(tan)(tan)(tan)(tan)化(hua)(hua)(hua)(hua)(hua)(hua)物(wu)(wu)(wu)(wu)(wu)(wu)(wu)成(cheng)(cheng)分(fen)波動范圍(wei)較(jiao)大(da),不(bu)同鋼(gang)(gang)種、不(bu)同條(tiao)件產生的(de)(de)(de)(de)同一(yi)(yi)類型的(de)(de)(de)(de)碳(tan)(tan)(tan)(tan)(tan)化(hua)(hua)(hua)(hua)(hua)(hua)物(wu)(wu)(wu)(wu)(wu)(wu)(wu)也(ye)會(hui)(hui)有(you)不(bu)同的(de)(de)(de)(de)成(cheng)(cheng)分(fen),甚至同一(yi)(yi)粒(li)碳(tan)(tan)(tan)(tan)(tan)化(hua)(hua)(hua)(hua)(hua)(hua)物(wu)(wu)(wu)(wu)(wu)(wu)(wu)的(de)(de)(de)(de)不(bu)同部(bu)(bu)位,也(ye)會(hui)(hui)有(you)成(cheng)(cheng)分(fen)的(de)(de)(de)(de)差(cha)異。各(ge)碳(tan)(tan)(tan)(tan)(tan)化(hua)(hua)(hua)(hua)(hua)(hua)物(wu)(wu)(wu)(wu)(wu)(wu)(wu)的(de)(de)(de)(de)形貌、成(cheng)(cheng)分(fen)及(ji)(ji)分(fen)布見表2-14.


表 14.jpg


  M2C具(ju)有(you)(you)密排六方晶體結構[172-175,179],其主要形(xing)(xing)成(cheng)元(yuan)素通常是(shi)鉬(mu)、釩和鎢,鉻及鐵的含量則較少。M2C 共晶碳化物一般以亞穩態存在于(yu)鋼(gang)中(zhong)。尺(chi)寸較小、片層較薄且沒有(you)(you)中(zhong)間脊骨,在高溫時易發(fa)生分解(jie)反(fan)應:M2C+Fe(Y)→M6C+MC,分解(jie)成(cheng)尺(chi)寸較小的顆粒(li)狀M6C和MC。此外,與M6C相反(fan),鋼(gang)液(ye)凝(ning)固時的冷卻速(su)率越快(kuai),越有(you)(you)利于(yu)M2C的形(xing)(xing)成(cheng)。因此,提(ti)高鑄錠凝(ning)固時的冷卻速(su)率有(you)(you)利于(yu)促進M2C的形(xing)(xing)成(cheng)并細化M2C,同(tong)時可抑(yi)制(zhi)較大尺(chi)寸M6Cl。


  M6C具(ju)有復雜立方(fang)晶體(ti)結構(gou),其結構(gou)中除碳原(yuan)子以外,鐵、鎢原(yuan)子約(yue)各占一(yi)半。M6C屬于穩(wen)定型碳化物,其形態為(wei)粗大(da)的骨(gu)骼狀。鋼液(ye)凝(ning)固(gu)(gu)時冷卻速率越慢,M6C碳化物越易于形成和(he)長大(da)。因此,M6C在高速鋼的心部(bu)往往含量較(jiao)高,而邊部(bu)較(jiao)少(shao)或(huo)沒(mei)有。加快(kuai)鑄(zhu)錠凝(ning)固(gu)(gu)時的冷卻速率有利于細(xi)化M6C,提高鑄(zhu)錠性能。


  MC具(ju)(ju)有(you)面心(xin)立(li)(li)方結(jie)(jie)(jie)構,化(hua)(hua)學式為(wei)MC或者M4C3,其成分以釩為(wei)主。鋼(gang)中(zhong)碳(tan)(tan)、釩含量(liang)(liang)的(de)(de)增大(da)可使MC增多(duo),尺寸(cun)變大(da)。高速鋼(gang)中(zhong)還有(you)M23C6、M3C、M7C3等(deng)碳(tan)(tan)化(hua)(hua)物(wu)。M23C6晶體結(jie)(jie)(jie)構為(wei)復(fu)(fu)雜面心(xin)立(li)(li)方結(jie)(jie)(jie)構,具(ju)(ju)有(you)一定(ding)量(liang)(liang)的(de)(de)鎢、鉬,釩含量(liang)(liang)極(ji)少,含有(you)大(da)量(liang)(liang)的(de)(de)鉻(ge)、鐵元素;與M2C相同,M3C也是亞穩(wen)態相。M7C3為(wei)復(fu)(fu)雜六方晶體結(jie)(jie)(jie)構,含有(you)較(jiao)多(duo)的(de)(de)鉻(ge)、鐵,主要存在(zai)于碳(tan)(tan)含量(liang)(liang)較(jiao)高的(de)(de)鋼(gang)中(zhong)。高速鋼(gang)中(zhong)碳(tan)(tan)化(hua)(hua)物(wu)具(ju)(ju)有(you)兩個重要的(de)(de)特(te)性(xing)(xing)(xing):硬度(du)和熱穩(wen)定(ding)性(xing)(xing)(xing)(加熱時溶(rong)解、聚集長(chang)大(da)的(de)(de)難度(du))。這些特(te)性(xing)(xing)(xing)反映(ying)了碳(tan)(tan)化(hua)(hua)物(wu)中(zhong)碳(tan)(tan)和金(jin)屬原(yuan)(yuan)子(zi)結(jie)(jie)(jie)合鍵的(de)(de)強弱,與原(yuan)(yuan)子(zi)結(jie)(jie)(jie)構和尺寸(cun)有(you)關。碳(tan)(tan)化(hua)(hua)物(wu)的(de)(de)晶格(ge)結(jie)(jie)(jie)構與碳(tan)(tan)原(yuan)(yuan)子(zi)半(ban)徑rc、金(jin)屬原(yuan)(yuan)子(zi)半(ban)徑rx有(you)關,如表2-15所示(shi),rd/rx值越大(da),則越易形成結(jie)(jie)(jie)構復(fu)(fu)雜的(de)(de)碳(tan)(tan)化(hua)(hua)物(wu)(M23C6、M3C等(deng)),越小則易形成結(jie)(jie)(jie)構簡(jian)單密堆型碳(tan)(tan)化(hua)(hua)物(wu)(MC等(deng))。表中(zhong)熔點(dian)可作為(wei)碳(tan)(tan)化(hua)(hua)物(wu)熱穩(wen)定(ding)性(xing)(xing)(xing)的(de)(de)衡(heng)量(liang)(liang)指標,可見(jian)碳(tan)(tan)化(hua)(hua)物(wu)中(zhong)原(yuan)(yuan)子(zi)尺寸(cun)越接近(jin),則碳(tan)(tan)化(hua)(hua)物(wu)穩(wen)定(ding)性(xing)(xing)(xing)越高。


表 15.jpg

 1. 壓力對萊氏體的影響


  凝固末期,由于偏析導(dao)致合金元素(su)在(zai)枝(zhi)晶(jing)(jing)間(jian)殘(can)余液相內富集發生共(gong)晶(jing)(jing)反應,從液相中直(zhi)接(jie)生成(cheng)碳(tan)化物,它與奧氏(shi)體(ti)相間(jian)排列,構(gou)成(cheng)萊(lai)氏(shi)體(ti)組(zu)織(zhi)。因此(ci)高速鋼(gang)的(de)萊(lai)氏(shi)體(ti)組(zu)織(zhi)往(wang)往(wang)存在(zai)于枝(zhi)晶(jing)(jing)間(jian)。圖(tu)2-118為M2高速鋼(gang)的(de)低倍(bei)鑄態組(zu)織(zhi),可見一般情況下(xia),相鄰晶(jing)(jing)粒之(zhi)間(jian)的(de)萊(lai)氏(shi)體(ti)組(zu)織(zhi)較(jiao)為細小,數量較(jiao)少,而多(duo)個晶(jing)(jing)粒之(zhi)間(jian)的(de)萊(lai)氏(shi)體(ti)組(zu)織(zhi)尺寸較(jiao)大,數量較(jiao)多(duo)。


118.jpg


  高(gao)速鋼的萊(lai)氏體(ti)組織中含有(you)多種類(lei)型的碳化物(wu)(wu),如M2C、M6C、MC等(deng)。M6C整體(ti)形貌類(lei)似魚骨,故又稱(cheng)為“魚骨狀(zhuang)(zhuang)碳化物(wu)(wu)”,如圖2-119所示;M2C成片層狀(zhuang)(zhuang),含有(you)M2C的共晶萊(lai)氏體(ti)具有(you)“羽毛狀(zhuang)(zhuang)”、“扇狀(zhuang)(zhuang)”、“菊花狀(zhuang)(zhuang)”等(deng)形貌,如圖2-120所示;MC的生長(chang)時間(jian)較長(chang),最終(zhong)尺寸較為粗大,往往以(yi)不(bu)規則(ze)的條(tiao)狀(zhuang)(zhuang)出現(xian),如圖2-120所示。


120.jpg


  a. 碳化物種類(lei)及分布(bu)


   高(gao)速(su)(su)鋼(gang)中(zhong)(zhong)碳(tan)化(hua)(hua)(hua)(hua)(hua)(hua)物(wu)種類與(yu)成(cheng)分(fen)和(he)凝(ning)固過程中(zhong)(zhong)的(de)冷(leng)(leng)卻(que)速(su)(su)率密(mi)(mi)不(bu)(bu)可分(fen)。M42 高(gao)速(su)(su)工具(ju)鋼(gang)作為高(gao)鉬(mu)低鎢鋼(gang),其(qi)(qi)凝(ning)固組織(zhi)碳(tan)化(hua)(hua)(hua)(hua)(hua)(hua)物(wu)主要(yao)為M2C共(gong)晶(jing)碳(tan)化(hua)(hua)(hua)(hua)(hua)(hua)物(wu);另(ling)外含有少部分(fen)M6C共(gong)晶(jing)碳(tan)化(hua)(hua)(hua)(hua)(hua)(hua)物(wu),主要(yao)存(cun)在(zai)于(yu)(yu)(yu)鑄(zhu)錠(ding)(ding)的(de)心部區域。圖(tu)2-121~圖(tu)2-123給出了M42高(gao)速(su)(su)鋼(gang)鑄(zhu)錠(ding)(ding)在(zai)0.1MPa、1MPa和(he)2MPa下(xia)1/4圓鑄(zhu)錠(ding)(ding)板金相組織(zhi)。白(bai)色斑點(dian)狀(zhuang)處的(de)萊(lai)氏(shi)體組織(zhi)中(zhong)(zhong)的(de)碳(tan)化(hua)(hua)(hua)(hua)(hua)(hua)物(wu)為具(ju)有中(zhong)(zhong)心脊骨(gu),脊骨(gu)兩邊(bian)具(ju)有平(ping)行分(fen)枝的(de)魚(yu)骨(gu)狀(zhuang)M6C.M6C共(gong)晶(jing)碳(tan)化(hua)(hua)(hua)(hua)(hua)(hua)物(wu)的(de)尺寸比M2C共(gong)晶(jing)碳(tan)化(hua)(hua)(hua)(hua)(hua)(hua)物(wu)粗(cu)大(da)得多且結構上相互連接緊密(mi)(mi),極(ji)不(bu)(bu)利于(yu)(yu)(yu)鑄(zhu)錠(ding)(ding)的(de)后續碳(tan)化(hua)(hua)(hua)(hua)(hua)(hua)物(wu)破碎,因此盡可能減少或(huo)避(bi)免凝(ning)固組織(zhi)中(zhong)(zhong)M6C共(gong)晶(jing)碳(tan)化(hua)(hua)(hua)(hua)(hua)(hua)物(wu)的(de)產(chan)生,有助(zhu)于(yu)(yu)(yu)提(ti)升(sheng)其(qi)(qi)力(li)學性能等。隨著(zhu)壓力(li)的(de)增大(da),萊(lai)氏(shi)體(白(bai)色斑點(dian))所占(zhan)1/4圓鑄(zhu)錠(ding)(ding)板的(de)面(mian)積比例逐漸減小(xiao),加(jia)壓有助(zhu)于(yu)(yu)(yu)抑制M6C共(gong)晶(jing)碳(tan)化(hua)(hua)(hua)(hua)(hua)(hua)物(wu)的(de)形(xing)成(cheng)與(yu)長大(da),其(qi)(qi)主要(yao)原(yuan)因在(zai)于(yu)(yu)(yu)在(zai)較低壓力(li)下(xia),加(jia)壓對(dui)凝(ning)固熱力(li)學和(he)動力(li)學參數的(de)影響十(shi)分(fen)有限,但強(qiang)化(hua)(hua)(hua)(hua)(hua)(hua)冷(leng)(leng)卻(que)效果十(shi)分(fen)明同(tong)時凝(ning)固過程中(zhong)(zhong)冷(leng)(leng)卻(que)速(su)(su)率越(yue)小(xiao),越(yue)有利于(yu)(yu)(yu)魚(yu)骨(gu)狀(zhuang)M6C共(gong)晶(jing)碳(tan)化(hua)(hua)(hua)(hua)(hua)(hua)物(wu)的(de)形(xing)成(cheng),且M6C越(yue)粗(cu)大(da)。因而(er)增加(jia)壓力(li)主要(yao)通過增大(da)鑄(zhu)錠(ding)(ding)和(he)鑄(zhu)型間界面(mian)換(huan)熱系數,提(ti)高(gao)鑄(zhu)錠(ding)(ding)的(de)冷(leng)(leng)卻(que)速(su)(su)率從(cong)而(er)細化(hua)(hua)(hua)(hua)(hua)(hua)并(bing)抑制M6C共(gong)晶(jing)碳(tan)化(hua)(hua)(hua)(hua)(hua)(hua)物(wu)的(de)形(xing)成(cheng),且當壓力(li)增加(jia)到一定程度時,能夠完全抑制富含M6C的(de)萊(lai)氏(shi)體形(xing)成(cheng),消除其(qi)(qi)對(dui)組織(zhi)和(he)性能的(de)不(bu)(bu)良影響。



121.jpg

   圖2-121(b)所示萊(lai)氏體組織中碳化(hua)物為(wei)長條(tiao)狀(zhuang)或(huo)者短(duan)棒狀(zhuang)的(de)(de)M2C.凝固壓(ya)力(li)(li)不同,M2C的(de)(de)尺寸、形貌以(yi)及分(fen)布(bu)的(de)(de)緊密程度(du)等均(jun)有(you)所不同。在(zai)0.1MPa壓(ya)力(li)(li)下(xia),碳化(hua)物分(fen)枝(zhi)較少(shao)、片層(ceng)較長、尺寸較大、間距較寬、共晶萊(lai)氏體與枝(zhi)晶臂的(de)(de)界(jie)面較平(ping)整;隨(sui)著壓(ya)力(li)(li)的(de)(de)增加,條(tiao)狀(zhuang)或(huo)片層(ceng)狀(zhuang)碳化(hua)物的(de)(de)間距逐(zhu)漸減小(xiao),且開始斷(duan)開成大量的(de)(de)短(duan)棒碳化(hua)物,碳化(hua)物的(de)(de)分(fen)枝(zhi)也逐(zhu)漸增多,并密集分(fen)布(bu)在(zai)枝(zhi)晶間,共晶萊(lai)氏體與枝(zhi)晶臂的(de)(de)界(jie)面也較為(wei)粗糙。此(ci)外(wai),三(san)個壓(ya)力(li)(li)下(xia)的(de)(de)M2C幾乎沒有(you)晶體缺陷,明壓(ya)力(li)(li)很難(nan)對碳化(hua)物晶格類型產生影響。


123.jpg


  b. 萊氏(shi)體尺寸


   萊氏(shi)體組織存在于枝(zhi)晶(jing)(jing)間(jian)(jian)(jian),與(yu)枝(zhi)晶(jing)(jing)間(jian)(jian)(jian)距(ju)、形(xing)貌(mao)及(ji)分(fen)布(bu)(bu)密切相關(guan),枝(zhi)晶(jing)(jing)間(jian)(jian)(jian)距(ju)越(yue)小(xiao),枝(zhi)晶(jing)(jing)間(jian)(jian)(jian)萊氏(shi)體尺(chi)寸(cun)也相應地細小(xiao)且(qie)均勻分(fen)布(bu)(bu)。圖2-124和圖2-125給出了不同(tong)(tong)壓力條(tiao)件下(xia)M42鑄(zhu)錠(ding)邊(bian)部(bu)(bu)(bu)(bu)和心(xin)部(bu)(bu)(bu)(bu)萊氏(shi)體形(xing)貌(mao)和尺(chi)寸(cun)分(fen)布(bu)(bu),無(wu)論(lun)是鑄(zhu)錠(ding)的邊(bian)部(bu)(bu)(bu)(bu)還是心(xin)部(bu)(bu)(bu)(bu),尺(chi)寸(cun)不一(yi)的萊氏(shi)體組織(黑色)均分(fen)布(bu)(bu)在枝(zhi)晶(jing)(jing)間(jian)(jian)(jian)。在同(tong)(tong)一(yi)凝(ning)固壓力條(tiao)件下(xia),鑄(zhu)錠(ding)邊(bian)部(bu)(bu)(bu)(bu)的枝(zhi)晶(jing)(jing)間(jian)(jian)(jian)距(ju)明顯小(xiao)于心(xin)部(bu)(bu)(bu)(bu),因而心(xin)部(bu)(bu)(bu)(bu)萊氏(shi)體要比邊(bian)部(bu)(bu)(bu)(bu)粗大(da)。


   隨(sui)著壓(ya)(ya)(ya)力(li)(li)的(de)增(zeng)大(da)(da)(da),在(zai)壓(ya)(ya)(ya)力(li)(li)強(qiang)化(hua)(hua)冷卻的(de)作(zuo)用(yong)下,冷卻速率增(zeng)大(da)(da)(da),鑄錠局部(bu)(bu)(bu)凝固時(shi)(shi)間縮短,使得(de)(de)枝(zhi)(zhi)(zhi)晶組(zu)織(zhi)(zhi)得(de)(de)到(dao)了(le)明(ming)顯細(xi)化(hua)(hua)且尺(chi)(chi)寸(cun)(cun)分(fen)布(bu)(bu)更均(jun)(jun)(jun)勻(yun),進(jin)而導致分(fen)布(bu)(bu)在(zai)枝(zhi)(zhi)(zhi)晶間的(de)萊(lai)(lai)(lai)氏體(ti)(ti)組(zu)織(zhi)(zhi)也隨(sui)之(zhi)細(xi)化(hua)(hua),厚度(du)大(da)(da)(da)大(da)(da)(da)減小且分(fen)布(bu)(bu)更加(jia)均(jun)(jun)(jun)勻(yun)。在(zai)0.1MPa 壓(ya)(ya)(ya)力(li)(li)下,無論在(zai)邊部(bu)(bu)(bu)還(huan)是心部(bu)(bu)(bu)位置,鑄錠的(de)萊(lai)(lai)(lai)氏體(ti)(ti)組(zu)織(zhi)(zhi)均(jun)(jun)(jun)較為粗(cu)(cu)大(da)(da)(da),且尺(chi)(chi)寸(cun)(cun)分(fen)布(bu)(bu)極(ji)不均(jun)(jun)(jun)勻(yun),部(bu)(bu)(bu)分(fen)局部(bu)(bu)(bu)區域(yu)存在(zai)著大(da)(da)(da)量的(de)黑色萊(lai)(lai)(lai)氏體(ti)(ti),尤其(qi)(qi)在(zai)多個(ge)枝(zhi)(zhi)(zhi)晶臂交(jiao)匯處(chu),且尺(chi)(chi)寸(cun)(cun)異(yi)常粗(cu)(cu)大(da)(da)(da)。當(dang)(dang)壓(ya)(ya)(ya)力(li)(li)增(zeng)加(jia)至1MPa時(shi)(shi),粗(cu)(cu)大(da)(da)(da)萊(lai)(lai)(lai)氏體(ti)(ti)得(de)(de)到(dao)明(ming)顯細(xi)化(hua)(hua),且尺(chi)(chi)寸(cun)(cun)分(fen)布(bu)(bu)更加(jia)均(jun)(jun)(jun)勻(yun);當(dang)(dang)壓(ya)(ya)(ya)力(li)(li)進(jin)一步增(zeng)加(jia)至2MPa時(shi)(shi),萊(lai)(lai)(lai)氏體(ti)(ti)組(zu)織(zhi)(zhi)得(de)(de)到(dao)進(jin)一步地改善(shan),組(zu)織(zhi)(zhi)更加(jia)細(xi)密,尺(chi)(chi)寸(cun)(cun)更加(jia)均(jun)(jun)(jun)勻(yun),粗(cu)(cu)大(da)(da)(da)萊(lai)(lai)(lai)氏體(ti)(ti)組(zu)織(zhi)(zhi)基本消失(shi)。萊(lai)(lai)(lai)氏體(ti)(ti)平均(jun)(jun)(jun)尺(chi)(chi)寸(cun)(cun)隨(sui)壓(ya)(ya)(ya)力(li)(li)的(de)變(bian)化(hua)(hua)規律如圖2-126所示(shi),壓(ya)(ya)(ya)力(li)(li)從(cong)0.1MPa增(zeng)加(jia)至2MPa時(shi)(shi),萊(lai)(lai)(lai)氏體(ti)(ti)厚度(du)由28.37μm降(jiang)低(di)至22.92μm.因此,增(zeng)加(jia)壓(ya)(ya)(ya)力(li)(li)能(neng)夠明(ming)顯細(xi)化(hua)(hua)萊(lai)(lai)(lai)氏體(ti)(ti)組(zu)織(zhi)(zhi),改善(shan)其(qi)(qi)分(fen)布(bu)(bu)狀態(tai)。


124.jpg


 2. 壓(ya)力對碳化物的(de)影響(xiang)


  a. 碳化物尺寸(cun)


   以高(gao)速鋼中(zhong)(zhong)M2C共(gong)(gong)(gong)晶(jing)(jing)碳(tan)化(hua)物(wu)為(wei)例,M2C共(gong)(gong)(gong)晶(jing)(jing)碳(tan)化(hua)物(wu)是通過(guo)(guo)凝(ning)固過(guo)(guo)程中(zhong)(zhong)的(de)(de)(de)共(gong)(gong)(gong)晶(jing)(jing)反應(ying)L→y+M2C產生的(de)(de)(de)。和(he)純金(jin)屬(shu)及固溶體(ti)合金(jin)的(de)(de)(de)結晶(jing)(jing)過(guo)(guo)程一樣(yang),共(gong)(gong)(gong)晶(jing)(jing)轉變(bian)(bian)同樣(yang)需要經(jing)過(guo)(guo)形核與(yu)長大(da)的(de)(de)(de)過(guo)(guo)程。結合式(2-178)和(he)式(2-179),東北大(da)學特殊鋼冶金(jin)研究所(suo)在(zai)(zai)控制(zhi)溫(wen)(wen)度不變(bian)(bian)的(de)(de)(de)基礎上,計算了不同壓(ya)力(li)下各(ge)(ge)元(yuan)(yuan)素(su)(su)(su)在(zai)(zai)兩(liang)相中(zhong)(zhong)的(de)(de)(de)擴(kuo)(kuo)散(san)(san)(san)系(xi)(xi)數(shu),探討凝(ning)固壓(ya)力(li)與(yu)擴(kuo)(kuo)散(san)(san)(san)激活(huo)(huo)能(neng)(neng)的(de)(de)(de)關系(xi)(xi)。凝(ning)固過(guo)(guo)程中(zhong)(zhong)溫(wen)(wen)度T=1478K時,合金(jin)元(yuan)(yuan)素(su)(su)(su)(鉬(mu)、鎢、釩(fan)和(he)鉻)在(zai)(zai)M2C相和(he)奧氏體(ti)相γ中(zhong)(zhong)的(de)(de)(de)擴(kuo)(kuo)散(san)(san)(san)系(xi)(xi)數(shu)D隨(sui)(sui)壓(ya)力(li)的(de)(de)(de)變(bian)(bian)化(hua)規律(lv)如(ru)圖2-127和(he)圖2-128所(suo)示(shi);從(cong)整體(ti)上看(kan),隨(sui)(sui)著壓(ya)力(li)的(de)(de)(de)逐漸(jian)增(zeng)大(da),同溫(wen)(wen)度M2C相中(zhong)(zhong)的(de)(de)(de)合金(jin)元(yuan)(yuan)素(su)(su)(su)鉬(mu)和(he)鎢的(de)(de)(de)擴(kuo)(kuo)散(san)(san)(san)系(xi)(xi)數(shu)D呈(cheng)減小趨勢,而合金(jin)元(yuan)(yuan)素(su)(su)(su)釩(fan)和(he)鉻則呈(cheng)增(zeng)大(da)的(de)(de)(de)趨勢,表(biao)明提高(gao)壓(ya)力(li)可增(zeng)大(da)M2C中(zhong)(zhong)鉬(mu)、鎢元(yuan)(yuan)素(su)(su)(su)的(de)(de)(de)擴(kuo)(kuo)散(san)(san)(san)激活(huo)(huo)能(neng)(neng)ΔGm,進而降低(di)其擴(kuo)(kuo)散(san)(san)(san)能(neng)(neng)力(li);同時降低(di)釩(fan)、鉻元(yuan)(yuan)素(su)(su)(su)的(de)(de)(de)擴(kuo)(kuo)散(san)(san)(san)激活(huo)(huo)能(neng)(neng)ΔGm,從(cong)而提高(gao)其擴(kuo)(kuo)散(san)(san)(san)能(neng)(neng)力(li)。然而,當壓(ya)力(li)在(zai)(zai)0.1~2MPa范圍內變(bian)(bian)化(hua)時,各(ge)(ge)元(yuan)(yuan)素(su)(su)(su)擴(kuo)(kuo)散(san)(san)(san)系(xi)(xi)數(shu)的(de)(de)(de)變(bian)(bian)化(hua)微乎其微,即保持恒定(ding)值。隨(sui)(sui)著凝(ning)固壓(ya)力(li)逐漸(jian)增(zeng)大(da)到50MPa,元(yuan)(yuan)素(su)(su)(su)鉬(mu)的(de)(de)(de)擴(kuo)(kuo)散(san)(san)(san)系(xi)(xi)數(shu)才開始(shi)產生較為(wei)明顯的(de)(de)(de)變(bian)(bian)化(hua),鎢、釩(fan)和(he)鉻元(yuan)(yuan)素(su)(su)(su)的(de)(de)(de)擴(kuo)(kuo)散(san)(san)(san)系(xi)(xi)數(shu)甚至在(zai)(zai)100MPa壓(ya)力(li)下仍未產生變(bian)(bian)化(hua)。因此低(di)壓(ya)下,元(yuan)(yuan)素(su)(su)(su)擴(kuo)(kuo)散(san)(san)(san)系(xi)(xi)數(shu)隨(sui)(sui)壓(ya)力(li)的(de)(de)(de)變(bian)(bian)化(hua)可忽略不計。


  的(de)增(zeng)(zeng)大(da)(da)而降低(di),鉻(ge)元(yuan)(yuan)(yuan)素(su)的(de)擴(kuo)散(san)(san)(san)(san)系(xi)數(shu)則(ze)隨著(zhu)凝(ning)固(gu)(gu)(gu)壓(ya)(ya)力(li)(li)(li)的(de)增(zeng)(zeng)大(da)(da)而增(zeng)(zeng)加,如圖2-128所示(shi)。即(ji)增(zeng)(zeng)大(da)(da)凝(ning)固(gu)(gu)(gu)壓(ya)(ya)力(li)(li)(li)具(ju)有提高奧(ao)氏體(ti)γ相(xiang)中(zhong)合金(jin)元(yuan)(yuan)(yuan)素(su)鉬(mu)、鎢和(he)釩(fan)的(de)擴(kuo)散(san)(san)(san)(san)激(ji)活能(neng)ΔGm,降低(di)其擴(kuo)散(san)(san)(san)(san)能(neng)力(li)(li)(li)以(yi)及減小(xiao)元(yuan)(yuan)(yuan)素(su)鉻(ge)的(de)擴(kuo)散(san)(san)(san)(san)激(ji)活能(neng)ΔGm和(he)增(zeng)(zeng)大(da)(da)其擴(kuo)散(san)(san)(san)(san)能(neng)力(li)(li)(li)的(de)作用。與M2C差別在(zai)(zai)(zai)于(yu),在(zai)(zai)(zai)奧(ao)氏體(ti)相(xiang)γ中(zhong),較小(xiao)的(de)凝(ning)固(gu)(gu)(gu)壓(ya)(ya)力(li)(li)(li)便可發揮比(bi)(bi)較明顯的(de)作用,例如:當凝(ning)固(gu)(gu)(gu)壓(ya)(ya)力(li)(li)(li)大(da)(da)于(yu)2MPa時,元(yuan)(yuan)(yuan)素(su)鉻(ge)的(de)擴(kuo)散(san)(san)(san)(san)系(xi)數(shu)隨壓(ya)(ya)力(li)(li)(li)的(de)增(zeng)(zeng)加而明顯增(zeng)(zeng)大(da)(da);鉬(mu)和(he)釩(fan)元(yuan)(yuan)(yuan)素(su)則(ze)在(zai)(zai)(zai)10MPa時開始隨壓(ya)(ya)力(li)(li)(li)增(zeng)(zeng)加而明顯減小(xiao)。可見,在(zai)(zai)(zai)相(xiang)同溫(wen)度下,相(xiang)比(bi)(bi)于(yu)M2C相(xiang),合金(jin)元(yuan)(yuan)(yuan)素(su)釩(fan)、鎢、鉬(mu)和(he)鉻(ge)在(zai)(zai)(zai)奧(ao)氏體(ti)γ相(xiang)中(zhong)的(de)擴(kuo)散(san)(san)(san)(san)情況受凝(ning)固(gu)(gu)(gu)壓(ya)(ya)力(li)(li)(li)的(de)影響(xiang)更為(wei)明顯。但在(zai)(zai)(zai)0.1~2MPa的(de)壓(ya)(ya)力(li)(li)(li)范圍內,合金(jin)元(yuan)(yuan)(yuan)素(su)在(zai)(zai)(zai)奧(ao)氏體(ti)相(xiang)γ中(zhong)的(de)擴(kuo)散(san)(san)(san)(san)系(xi)數(shu)幾乎(hu)保持不變(bian)(㎡/s):DMo=1.13214x10-14、Dw=1.23805x10-14、Dv=1.39269x10-14、Dcr=1.18654x10-14,同時,各元(yuan)(yuan)(yuan)素(su)擴(kuo)散(san)(san)(san)(san)激(ji)活能(neng)ΔGm也未發生明顯變(bian)化。


   綜上所(suo)述,在低壓下,影響M2C形核率(lv)的主要因(yin)素是(shi)隨凝(ning)固壓力增(zeng)(zeng)大(da)而顯著減小的形核功。增(zeng)(zeng)加凝(ning)固壓力可顯著改(gai)善換熱條件(jian)強化(hua)鑄(zhu)(zhu)錠(ding)冷卻、提高鑄(zhu)(zhu)錠(ding)過(guo)冷度ΔT,進而降低共晶反應過(guo)程中奧氏體相γ和M2C相的形核功ΔG*,最終增(zeng)(zeng)大(da)M2C的形核率(lv)、減小M2C相鄰碳化(hua)物的間距。


  此外,增(zeng)加(jia)壓(ya)力使(shi)M2C形核率(lv)大大增(zeng)加(jia),同(tong)時強化(hua)了鑄錠冷卻,顯著(zhu)降低了局部凝(ning)固(gu)時間LST,導致加(jia)壓(ya)下鑄錠同(tong)位置的(de)凝(ning)固(gu)相對較快,M2C共晶碳化(hua)物生長時間變短,導致M42凝(ning)固(gu)組織中M2C碳化(hua)物的(de)尺寸減小。這對于后續的(de)熱(re)處理碳化(hua)物的(de)溶解(jie)具有積極(ji)的(de)意義。


  圖2-129為不同凝(ning)(ning)固壓(ya)力下M2C共晶碳化(hua)物(wu)在(zai)熱處(chu)理(li)(li)(li)過程中的(de)(de)(de)元素(su)擴散(san)示意圖。隨著(zhu)凝(ning)(ning)固壓(ya)力的(de)(de)(de)增(zeng)大(da),碳化(hua)物(wu)由(you)長條狀(zhuang)轉變為短棒狀(zhuang),在(zai)縱向(xiang)和橫向(xiang)上的(de)(de)(de)尺寸均(jun)(jun)顯著(zhu)減小。因此(ci),在(zai)熱處(chu)理(li)(li)(li)過程中,碳化(hua)物(wu)中的(de)(de)(de)元素(su)由(you)內向(xiang)外擴散(san)的(de)(de)(de)平均(jun)(jun)距離也相應隨著(zhu)凝(ning)(ning)固壓(ya)力的(de)(de)(de)增(zeng)大(da)而(er)顯著(zhu)減小,熱處(chu)理(li)(li)(li)效果(guo)更(geng)加(jia)明顯,熱處(chu)理(li)(li)(li)后(hou)M42組織的(de)(de)(de)成分更(geng)加(jia)均(jun)(jun)勻,進而(er)有利(li)于提高M42高速鋼的(de)(de)(de)質量。


129.jpg


  b. 碳化物成(cheng)分


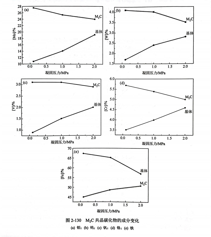
   M2C的(de)形(xing)成元(yuan)(yuan)素(su)(su)(su)(su)主(zhu)要(yao)包括鉬(mu)(mu)、鎢(wu)、釩和(he)鉻(ge),其(qi)中(zhong)鉬(mu)(mu)元(yuan)(yuan)素(su)(su)(su)(su)是(shi)強M2C碳化(hua)物(wu)(wu)形(xing)成元(yuan)(yuan)素(su)(su)(su)(su),也是(shi)M2C中(zhong)含(han)量(liang)最高(gao)的(de)合(he)(he)(he)金(jin)元(yuan)(yuan)素(su)(su)(su)(su)。圖2-130給出了不同壓(ya)力(li)下M2C中(zhong)合(he)(he)(he)金(jin)元(yuan)(yuan)素(su)(su)(su)(su)鉬(mu)(mu)、鎢(wu)、釩和(he)鉻(ge)含(han)量(liang),隨著(zhu)壓(ya)力(li)的(de)增(zeng)大(da),M2C上的(de)合(he)(he)(he)金(jin)元(yuan)(yuan)素(su)(su)(su)(su)鉬(mu)(mu)、鎢(wu)、釩和(he)鉻(ge)含(han)量(liang)均逐漸減小,而鐵元(yuan)(yuan)素(su)(su)(su)(su)則逐漸增(zeng)大(da);同時,M2C碳化(hua)物(wu)(wu)之間(jian)基體中(zhong)合(he)(he)(he)金(jin)元(yuan)(yuan)素(su)(su)(su)(su)含(han)量(liang)則呈現相反的(de)規律(lv):鉬(mu)(mu)、鎢(wu)、釩和(he)鉻(ge)元(yuan)(yuan)素(su)(su)(su)(su)含(han)量(liang)逐漸增(zeng)大(da),而鐵元(yuan)(yuan)素(su)(su)(su)(su)減少(shao)。這表明(ming),增(zeng)大(da)的(de)壓(ya)力(li)使得(de)合(he)(he)(he)金(jin)元(yuan)(yuan)素(su)(su)(su)(su)在M2C共晶碳化(hua)物(wu)(wu)中(zhong)的(de)分布趨(qu)于均勻(yun),為(wei)后續的(de)處理、熱加工(gong)工(gong)藝中(zhong)碳化(hua)物(wu)(wu)的(de)破碎、溶解提供良好(hao)的(de)基礎(chu)。


130.jpg


  在高速(su)鋼中(zhong),M2C共晶碳(tan)化物(wu)是通(tong)過凝固過程中(zhong)的(de)共晶反(fan)應L→M2C+y產生的(de),在這個過程中(zhong)存在M2C碳(tan)化物(wu)相和(he)奧氏體γ相之間的(de)溶質再分配(pei)[172].在一定溫度(du)(du)下,平衡(heng)分配(pei)系數可表示為固相和(he)液相中(zhong)的(de)元素濃度(du)(du)之比:


131.jpg


   式中(zhong),Cs和(he)(he)CL分(fen)(fen)別表示在(zai)凝固過程中(zhong),元素在(zai)固相(xiang)(xiang)和(he)(he)液相(xiang)(xiang)中(zhong)的(de)平衡濃度。共晶(jing)反(fan)應L→M2C+y是在(zai)凝固末期發生的(de),圖2-131給出了不同壓力(li)下的(de)M42高速(su)鋼凝固時共晶(jing)反(fan)應過程中(zhong)M2C碳化(hua)物(wu)相(xiang)(xiang)和(he)(he)奧(ao)氏體γ相(xiang)(xiang)中(zhong)各元素的(de)單相(xiang)(xiang)平衡分(fen)(fen)配系(xi)數。


  式中(zhong),Cs和C1分別表(biao)示(shi)在凝(ning)固過程中(zhong),元(yuan)素在固相(xiang)和液相(xiang)中(zhong)的(de)(de)(de)平(ping)衡(heng)濃度。共晶反(fan)應L→M2C+y是在凝(ning)固末期發(fa)生的(de)(de)(de)[172,180,181],圖2-131給出(chu)了不同(tong)壓力下的(de)(de)(de)M42高(gao)速鋼凝(ning)固時共晶反(fan)應過程中(zhong)M2C碳化物相(xiang)和奧氏體(ti)y相(xiang)中(zhong)各(ge)元(yuan)素的(de)(de)(de)單相(xiang)平(ping)衡(heng)分配系數(shu)。


  隨(sui)壓(ya)力(li)的(de)增(zeng)加,共晶反(fan)應過(guo)程(cheng)中(zhong)(zhong)鉬(mu)(mu)元素(su)(su)(su)在(zai)M2C和奧(ao)氏體(ti)(ti)γ相(xiang)中(zhong)(zhong)的(de)分(fen)(fen)配(pei)系(xi)數(shu)具有升高的(de)趨勢并(bing)逐漸(jian)靠近(jin)1.基于(yu)熱力(li)學分(fen)(fen)析,在(zai)M42鑄錠凝固(gu)時的(de)共晶反(fan)應過(guo)程(cheng)中(zhong)(zhong),增(zeng)大(da)壓(ya)力(li)可使鉬(mu)(mu)元素(su)(su)(su)在(zai)M2C碳(tan)(tan)化(hua)(hua)物相(xiang)和奧(ao)氏體(ti)(ti)γ相(xiang)中(zhong)(zhong)的(de)含量增(zeng)大(da)。凝固(gu)過(guo)程(cheng)中(zhong)(zhong)M2C碳(tan)(tan)化(hua)(hua)物相(xiang)和奧(ao)氏體(ti)(ti)γ相(xiang)中(zhong)(zhong)的(de)鉬(mu)(mu)元素(su)(su)(su)平衡分(fen)(fen)配(pei)系(xi)數(shu)增(zeng)量變化(hua)(hua)規律如圖2-132所示,在(zai)0.1MPa、1MPa和2MPa時,M2C碳(tan)(tan)化(hua)(hua)物相(xiang)中(zhong)(zhong)的(de)鉬(mu)(mu)元素(su)(su)(su)平衡分(fen)(fen)配(pei)系(xi)數(shu)增(zeng)量始終(zhong)大(da)于(yu)奧(ao)氏體(ti)(ti)γ相(xiang)中(zhong)(zhong)的(de)平衡分(fen)(fen)配(pei)系(xi)數(shu)增(zeng)量。由(you)此可知,共晶反(fan)應過(guo)程(cheng)中(zhong)(zhong),相(xiang)比于(yu)奧(ao)氏體(ti)(ti)γ相(xiang),鉬(mu)(mu)元素(su)(su)(su)更偏向于(yu)在(zai)M2C相(xiang)中(zhong)(zhong)富集(ji)。


132.jpg


  在(zai)0.1~2MPa壓(ya)力(li)范圍內(nei),加壓(ya)對Mo元(yuan)素(su)(su)(su)的(de)(de)平衡(heng)分(fen)配(pei)系(xi)數(shu)影響(xiang)非常小,變化量為(wei)10-6~10-5,可(ke)忽略不(bu)計(ji),因而(er)在(zai)低(di)壓(ya)范圍內(nei),增(zeng)加壓(ya)力(li)不(bu)能通(tong)過(guo)改變元(yuan)素(su)(su)(su)平衡(heng)分(fen)配(pei)系(xi)數(shu)而(er)影響(xiang)相(xiang)(xiang)成分(fen)。除平衡(heng)分(fen)配(pei)系(xi)數(shu)以(yi)外,鑄(zhu)錠(ding)(ding)凝(ning)固(gu)(gu)過(guo)程中(zhong)溶(rong)質(zhi)的(de)(de)分(fen)配(pei)情況與元(yuan)素(su)(su)(su)的(de)(de)傳質(zhi)行為(wei)有(you)關。在(zai)M42鑄(zhu)錠(ding)(ding)凝(ning)固(gu)(gu)末(mo)期的(de)(de)共(gong)晶反應L→M2C+y過(guo)程中(zhong)存在(zai)M2C碳化物(wu)相(xiang)(xiang)和(he)奧氏(shi)體(ti)γ相(xiang)(xiang)之間(jian)的(de)(de)溶(rong)質(zhi)再分(fen)配(pei):液相(xiang)(xiang)中(zhong)的(de)(de)M2C形成元(yuan)素(su)(su)(su)(鉬(mu)、鎢、釩和(he)鉻)通(tong)過(guo)凝(ning)固(gu)(gu)前沿固(gu)(gu)/液界面(mian)向(xiang)M2C碳化物(wu)相(xiang)(xiang)富集(ji),同時奧氏(shi)體(ti)γ相(xiang)(xiang)形成元(yuan)素(su)(su)(su)(鈷(gu)、鐵)則向(xiang)奧氏(shi)體(ti)相(xiang)(xiang)富集(ji),整個(ge)反應發生(sheng)在(zai)凝(ning)固(gu)(gu)末(mo)期的(de)(de)枝晶間(jian)小熔池內(nei),此(ci)時液相(xiang)(xiang)流(liu)(liu)動(dong)很(hen)弱,元(yuan)素(su)(su)(su)對流(liu)(liu)傳質(zhi)行為(wei)可(ke)忽略,因而(er)溶(rong)質(zhi)的(de)(de)分(fen)配(pei)主要(yao)與相(xiang)(xiang)中(zhong)元(yuan)素(su)(su)(su)的(de)(de)擴散傳質(zhi)行為(wei)有(you)關。


  根據(ju)菲克第一定(ding)律公式(shi)(2-178)可知,擴散(san)系(xi)(xi)數(shu)(shu)(shu)D與(yu)溫度(du)T呈(cheng)反比關(guan)系(xi)(xi)。圖2-133為2MPa下M2C形成元素的(de)擴散(san)系(xi)(xi)數(shu)(shu)(shu)隨溫度(du)的(de)變化(hua)關(guan)系(xi)(xi)。在(zai)凝(ning)固壓(ya)力不變時,溫度(du)的(de)降低會(hui)顯(xian)著減小擴散(san)系(xi)(xi)數(shu)(shu)(shu),在(zai)低壓(ya)范圍內,相對(dui)于凝(ning)固壓(ya)力變化(hua),溫度(du)變化(hua)對(dui)擴散(san)系(xi)(xi)數(shu)(shu)(shu)D具有更明顯(xian)的(de)影響。


  增大(da)壓(ya)力(li)(li)具有顯著強化(hua)(hua)(hua)冷卻(que)和減少鑄錠局部凝(ning)固(gu)時間的(de)作用。由此可(ke)知(zhi),對于0.1MPa、1MPa和2MPa壓(ya)力(li)(li)下的(de)鑄錠凝(ning)固(gu)過程,在相(xiang)同(tong)的(de)凝(ning)固(gu)時間內,在較高(gao)壓(ya)力(li)(li)下凝(ning)固(gu)的(de)鑄錠冷卻(que)更(geng)快,溫度更(geng)低,其元(yuan)(yuan)(yuan)素(su)擴(kuo)(kuo)散系數則(ze)相(xiang)對較低,導(dao)致元(yuan)(yuan)(yuan)素(su)擴(kuo)(kuo)散速率(lv)減小,使得M2C共晶碳(tan)化(hua)(hua)(hua)物中釩、鎢、鉻(ge)和鉬(mu)元(yuan)(yuan)(yuan)素(su)含量(liang)(liang)降低,碳(tan)化(hua)(hua)(hua)物間基體的(de)合金(jin)元(yuan)(yuan)(yuan)素(su)含量(liang)(liang)升高(gao),降低了(le)M2C碳(tan)化(hua)(hua)(hua)物和奧氏體γ相(xiang)之間的(de)成(cheng)分差異性,提高(gao)了(le)M42凝(ning)固(gu)組織成(cheng)分的(de)均勻性。


133.jpg

  c. 碳化物形(xing)貌(mao)


   M2C碳化(hua)物明顯(xian)具有各向(xiang)異(yi)性的生長(chang)方(fang)式,形(xing)貌具有小(xiao)平(ping)面向(xiang)的特(te)性。共(gong)(gong)(gong)(gong)晶組織的形(xing)貌與(yu)共(gong)(gong)(gong)(gong)晶過程(cheng)中(zhong)液(ye)/固界面結構有密切聯系,金(jin)屬(shu)(shu)相(xiang)-金(jin)屬(shu)(shu)碳化(hua)物相(xiang)共(gong)(gong)(gong)(gong)晶屬(shu)(shu)于(yu)小(xiao)平(ping)面相(xiang)-非(fei)小(xiao)平(ping)面相(xiang)共(gong)(gong)(gong)(gong)晶[146].M2C是(shi)通過凝固末期枝(zhi)晶間熔池里的共(gong)(gong)(gong)(gong)晶反M2C共(gong)(gong)(gong)(gong)晶碳化(hua)物形(xing)成于(yu)凝固末期枝(zhi)晶間殘余(yu)液(ye)相(xiang)中(zhong),根據凝固原(yuan)理。枝(zhi)晶間殘余(yu)液(ye)相(xiang)中(zhong)元素(su)含(han)量明顯(xian)高于(yu)鑄錠標準含(han)量。不同壓(ya)力下枝(zhi)晶間液(ye)相(xiang)中(zhong)各相(xiang)出現的先后順序(xu),如圖2-135所示(shi),在(zai)不同壓(ya)力下,M2C均(jun)領先奧氏(shi)體(ti)相(xiang)γ出現。這表明,在(zai)共(gong)(gong)(gong)(gong)晶反應L→y+M2C過程(cheng)中(zhong),M2C是(shi)領先相(xiang)。


135.jpg


  在共(gong)晶(jing)凝固(gu)(gu)(gu)過(guo)程(cheng)中,領先相(xiang)(xiang)(xiang)M2C的快速(su)(su)(su)生(sheng)長(chang)(chang)方(fang)向率(lv)先進(jin)入共(gong)生(sheng)界面(mian)(mian)(mian)(mian)前方(fang)的液(ye)(ye)(ye)(ye)體(ti)(ti)中,同時在其附(fu)近(jin)液(ye)(ye)(ye)(ye)層中排出奧(ao)氏(shi)(shi)(shi)(shi)體(ti)(ti)形成(cheng)元(yuan)(yuan)素(su)(su);隨后奧(ao)氏(shi)(shi)(shi)(shi)體(ti)(ti)相(xiang)(xiang)(xiang)γ則依靠此液(ye)(ye)(ye)(ye)層獲得(de)生(sheng)長(chang)(chang)組元(yuan)(yuan),跟隨著(zhu)M2C一起長(chang)(chang)大(da)(da),同時也向液(ye)(ye)(ye)(ye)層中排出M2C形成(cheng)元(yuan)(yuan)素(su)(su),如圖(tu)2-136所(suo)示。隨著(zhu)凝固(gu)(gu)(gu)壓(ya)力的增(zeng)(zeng)大(da)(da),凝固(gu)(gu)(gu)速(su)(su)(su)率(lv)增(zeng)(zeng)加,M2C相(xiang)(xiang)(xiang)和奧(ao)氏(shi)(shi)(shi)(shi)體(ti)(ti)相(xiang)(xiang)(xiang)γ的生(sheng)長(chang)(chang)速(su)(su)(su)率(lv)均加快。一方(fang)面(mian)(mian)(mian)(mian),M2C碳(tan)化(hua)(hua)(hua)物(wu)相(xiang)(xiang)(xiang)鄰(lin)間距隨壓(ya)力的增(zeng)(zeng)大(da)(da)逐(zhu)漸(jian)減小,即(ji)奧(ao)氏(shi)(shi)(shi)(shi)體(ti)(ti)相(xiang)(xiang)(xiang)的液(ye)(ye)(ye)(ye)/固(gu)(gu)(gu)界面(mian)(mian)(mian)(mian)變(bian)窄;另一方(fang)面(mian)(mian)(mian)(mian),加壓(ya)使得(de)枝(zhi)晶(jing)間殘余液(ye)(ye)(ye)(ye)相(xiang)(xiang)(xiang)中合金元(yuan)(yuan)素(su)(su)沒有足夠時間進(jin)行充分擴散;導致奧(ao)氏(shi)(shi)(shi)(shi)體(ti)(ti)相(xiang)(xiang)(xiang)的液(ye)(ye)(ye)(ye)/固(gu)(gu)(gu)界面(mian)(mian)(mian)(mian)前沿合金元(yuan)(yuan)素(su)(su)濃度急劇(ju)增(zeng)(zeng)大(da)(da),成(cheng)分過(guo)冷加劇(ju),奧(ao)氏(shi)(shi)(shi)(shi)體(ti)(ti)相(xiang)(xiang)(xiang)長(chang)(chang)大(da)(da)速(su)(su)(su)率(lv)進(jin)一步(bu)增(zeng)(zeng)大(da)(da),使得(de)M2C相(xiang)(xiang)(xiang)與奧(ao)氏(shi)(shi)(shi)(shi)體(ti)(ti)相(xiang)(xiang)(xiang)的生(sheng)長(chang)(chang)速(su)(su)(su)率(lv)差逐(zhu)漸(jian)縮小。此外,奧(ao)氏(shi)(shi)(shi)(shi)體(ti)(ti)相(xiang)(xiang)(xiang)作為非小平面(mian)(mian)(mian)(mian)相(xiang)(xiang)(xiang),其生(sheng)長(chang)(chang)所(suo)需過(guo)冷度遠小于小平面(mian)(mian)(mian)(mian)相(xiang)(xiang)(xiang)的M2C碳(tan)化(hua)(hua)(hua)物(wu),使得(de)在凝固(gu)(gu)(gu)速(su)(su)(su)率(lv)增(zeng)(zeng)大(da)(da)的過(guo)程(cheng)中奧(ao)氏(shi)(shi)(shi)(shi)體(ti)(ti)相(xiang)(xiang)(xiang)的生(sheng)長(chang)(chang)速(su)(su)(su)率(lv)增(zeng)(zeng)量(liang)大(da)(da)于M2C碳(tan)化(hua)(hua)(hua)物(wu)相(xiang)(xiang)(xiang)的生(sheng)長(chang)(chang)速(su)(su)(su)率(lv)增(zeng)(zeng)量(liang)。因此,隨著(zhu)壓(ya)力的增(zeng)(zeng)大(da)(da),枝(zhi)晶(jing)間共(gong)晶(jing)組織(zhi)中奧(ao)氏(shi)(shi)(shi)(shi)體(ti)(ti)相(xiang)(xiang)(xiang)γ的含量(liang)相(xiang)(xiang)(xiang)對(dui)增(zeng)(zeng)多,使得(de)M2C碳(tan)化(hua)(hua)(hua)物(wu)的生(sheng)長(chang)(chang)空間受到(dao)“排擠”,含量(liang)相(xiang)(xiang)(xiang)對(dui)減少,最終(zhong)M2C碳(tan)化(hua)(hua)(hua)物(wu)逐(zhu)漸(jian)呈現出被奧(ao)氏(shi)(shi)(shi)(shi)體(ti)(ti)相(xiang)(xiang)(xiang)γ“截斷”進(jin)而變(bian)短(duan)的形貌,如圖(tu)2-134所(suo)示。


136.jpg


四、夾雜物分布


   夾雜物(wu)(wu)(wu)(wu)是影響鋼錠質量的(de)一個重要因素。鋼中夾雜物(wu)(wu)(wu)(wu)主要包(bao)括冶煉過程中進(jin)行脫氧處理(li)形成的(de)脫氧產(chan)物(wu)(wu)(wu)(wu)、凝固過程元素溶解(jie)度下(xia)降形成的(de)氧化物(wu)(wu)(wu)(wu)、氮化物(wu)(wu)(wu)(wu)、硫化物(wu)(wu)(wu)(wu)等(deng)化合(he)物(wu)(wu)(wu)(wu)以(yi)及爐渣和(he)由于沖刷而(er)進(jin)入鋼液(ye)的(de)耐火材料。


   根據夾(jia)(jia)(jia)(jia)(jia)(jia)雜(za)(za)(za)物(wu)(wu)(wu)(wu)(wu)的(de)(de)(de)來源(yuan),可以將鋼(gang)(gang)(gang)中(zhong)的(de)(de)(de)夾(jia)(jia)(jia)(jia)(jia)(jia)雜(za)(za)(za)物(wu)(wu)(wu)(wu)(wu)分為兩類(lei):①外(wai)(wai)生(sheng)(sheng)夾(jia)(jia)(jia)(jia)(jia)(jia)雜(za)(za)(za)物(wu)(wu)(wu)(wu)(wu)。外(wai)(wai)生(sheng)(sheng)夾(jia)(jia)(jia)(jia)(jia)(jia)雜(za)(za)(za)物(wu)(wu)(wu)(wu)(wu)大(da)部分為復合(he)氧化(hua)物(wu)(wu)(wu)(wu)(wu)夾(jia)(jia)(jia)(jia)(jia)(jia)雜(za)(za)(za),主(zhu)要是(shi)(shi)由于(yu)鋼(gang)(gang)(gang)液(ye)(ye)接觸空氣生(sheng)(sheng)成(cheng)氧化(hua)物(wu)(wu)(wu)(wu)(wu)以及(ji)進入鋼(gang)(gang)(gang)液(ye)(ye)的(de)(de)(de)爐渣、耐火材料組成(cheng)。外(wai)(wai)生(sheng)(sheng)夾(jia)(jia)(jia)(jia)(jia)(jia)雜(za)(za)(za)物(wu)(wu)(wu)(wu)(wu)外(wai)(wai)形(xing)不(bu)規(gui)則、尺寸大(da)、構成(cheng)復雜(za)(za)(za),常(chang)常(chang)位(wei)于(yu)鋼(gang)(gang)(gang)的(de)(de)(de)表層,具有嚴重(zhong)的(de)(de)(de)危害(hai)性(xing)。②內(nei)(nei)生(sheng)(sheng)夾(jia)(jia)(jia)(jia)(jia)(jia)雜(za)(za)(za)物(wu)(wu)(wu)(wu)(wu)。內(nei)(nei)生(sheng)(sheng)夾(jia)(jia)(jia)(jia)(jia)(jia)雜(za)(za)(za)物(wu)(wu)(wu)(wu)(wu)是(shi)(shi)由于(yu)脫氧、鋼(gang)(gang)(gang)水(shui)鈣處理等物(wu)(wu)(wu)(wu)(wu)化(hua)反(fan)應而(er)形(xing)成(cheng)的(de)(de)(de)夾(jia)(jia)(jia)(jia)(jia)(jia)雜(za)(za)(za)物(wu)(wu)(wu)(wu)(wu)。內(nei)(nei)生(sheng)(sheng)夾(jia)(jia)(jia)(jia)(jia)(jia)雜(za)(za)(za)物(wu)(wu)(wu)(wu)(wu)在鋼(gang)(gang)(gang)液(ye)(ye)中(zhong)數量較多(duo),分布均勻,顆(ke)粒(li)細小(xiao)。由于(yu)形(xing)成(cheng)時(shi)間不(bu)同,內(nei)(nei)生(sheng)(sheng)夾(jia)(jia)(jia)(jia)(jia)(jia)雜(za)(za)(za)物(wu)(wu)(wu)(wu)(wu)可分為:鋼(gang)(gang)(gang)液(ye)(ye)脫氧時(shi)期(qi)生(sheng)(sheng)成(cheng)的(de)(de)(de)氧化(hua)物(wu)(wu)(wu)(wu)(wu),也稱為原(yuan)生(sheng)(sheng)夾(jia)(jia)(jia)(jia)(jia)(jia)雜(za)(za)(za)物(wu)(wu)(wu)(wu)(wu)或一次夾(jia)(jia)(jia)(jia)(jia)(jia)雜(za)(za)(za)物(wu)(wu)(wu)(wu)(wu);溫(wen)度降(jiang)低造成(cheng)化(hua)學(xue)反(fan)應平衡的(de)(de)(de)移動進而(er)析(xi)(xi)出二次夾(jia)(jia)(jia)(jia)(jia)(jia)雜(za)(za)(za)物(wu)(wu)(wu)(wu)(wu);由于(yu)溶(rong)質(zhi)元素偏析(xi)(xi)和溶(rong)解度變化(hua)而(er)析(xi)(xi)出的(de)(de)(de)三次夾(jia)(jia)(jia)(jia)(jia)(jia)雜(za)(za)(za)物(wu)(wu)(wu)(wu)(wu)甚(shen)至四次夾(jia)(jia)(jia)(jia)(jia)(jia)雜(za)(za)(za)物(wu)(wu)(wu)(wu)(wu)。


   夾雜物(wu)(wu)作(zuo)為凝固組織的(de)(de)(de)(de)(de)(de)重(zhong)(zhong)(zhong)要(yao)組成部分(fen),其特性(xing)至關重(zhong)(zhong)(zhong)要(yao),對(dui)于進一步揭示(shi)加壓(ya)冶金的(de)(de)(de)(de)(de)(de)優(you)勢十分(fen)關鍵(jian)。非金屬(shu)夾雜物(wu)(wu)的(de)(de)(de)(de)(de)(de)特性(xing)(數量、尺寸和(he)分(fen)布等)對(dui)鋼的(de)(de)(de)(de)(de)(de)性(xing)能(力(li)學性(xing)能和(he)腐蝕等)有重(zhong)(zhong)(zhong)要(yao)影響。同時,改(gai)(gai)善鋼中夾雜物(wu)(wu)的(de)(de)(de)(de)(de)(de)分(fen)布情(qing)況并盡(jin)可能徹底(di)地去除非金屬(shu)夾雜物(wu)(wu)可以(yi)有效地減少缺陷和(he)提高性(xing)能。為了(le)改(gai)(gai)善夾雜物(wu)(wu)的(de)(de)(de)(de)(de)(de)分(fen)布,施加在夾雜物(wu)(wu)上的(de)(de)(de)(de)(de)(de)力(li)包(bao)括重(zhong)(zhong)(zhong)力(li)、浮(fu)力(li)、曳力(li),附加質量力(li)、升力(li)和(he)反(fan)彈力(li)等起著關鍵(jian)作(zuo)用。這些力(li)主要(yao)是通過(guo)(guo)溫度、流場(chang)(chang)(chang)、重(zhong)(zhong)(zhong)力(li)場(chang)(chang)(chang)和(he)電(dian)磁(ci)場(chang)(chang)(chang)等物(wu)(wu)理(li)場(chang)(chang)(chang)來確定(ding)。因此,可以(yi)通過(guo)(guo)采取(qu)一系列措施優(you)化物(wu)(wu)理(li)場(chang)(chang)(chang)來改(gai)(gai)善夾雜物(wu)(wu)分(fen)布。例(li)如,鋼包(bao)中使(shi)用的(de)(de)(de)(de)(de)(de)氣體攪拌、連(lian)鑄過(guo)(guo)程中添加磁(ci)場(chang)(chang)(chang)。對(dui)于加壓(ya)冶金,壓(ya)力(li)是關鍵(jian)因素。目前,已經證實加壓(ya)會在各個(ge)方面(mian)影響凝固過(guo)(guo)程中的(de)(de)(de)(de)(de)(de)物(wu)(wu)理(li)場(chang)(chang)(chang),包(bao)括加壓(ya)通過(guo)(guo)加快鑄錠的(de)(de)(de)(de)(de)(de)冷卻速率(lv)和(he)加強鑄錠與鑄模之間的(de)(de)(de)(de)(de)(de)熱交換來改(gai)(gai)變溫度場(chang)(chang)(chang),通過(guo)(guo)改(gai)(gai)變糊狀區(qu)域的(de)(de)(de)(de)(de)(de)大(da)小(xiao)和(he)枝晶結構影響流場(chang)(chang)(chang)等。


   因此(ci),可以認為在凝(ning)固(gu)過程中壓(ya)力(li)具有改變夾雜物(wu)(wu)分布的(de)能力(li),并且壓(ya)力(li)對(dui)(dui)夾雜物(wu)(wu)分布的(de)影響(xiang)(xiang)機制非常復雜,然而,關于加(jia)壓(ya)對(dui)(dui)夾雜物(wu)(wu)分布變化的(de)影響(xiang)(xiang)研究(jiu)相對(dui)(dui)較少(shao)。這表明加(jia)壓(ya)對(dui)(dui)凝(ning)固(gu)組織的(de)影響(xiang)(xiang)機理尚未全(quan)面闡明。


 1. 夾雜物分布分析模型


   在實(shi)際凝固過(guo)程中,夾(jia)(jia)雜(za)物的(de)(de)(de)(de)(de)(de)受(shou)力情況、運動(dong)軌跡很難通過(guo)實(shi)驗(yan)進(jin)行測量。數值模擬提供了一種可(ke)以深入了解某些無(wu)法(fa)(fa)通過(guo)實(shi)驗(yan)評估的(de)(de)(de)(de)(de)(de)現(xian)象的(de)(de)(de)(de)(de)(de)方法(fa)(fa)。這(zhe)些現(xian)象包括夾(jia)(jia)雜(za)物的(de)(de)(de)(de)(de)(de)運動(dong)軌跡,作用于(yu)夾(jia)(jia)雜(za)物的(de)(de)(de)(de)(de)(de)力和(he)夾(jia)(jia)雜(za)物的(de)(de)(de)(de)(de)(de)速度等(deng)。根(gen)據電渣(zha)、連鑄和(he)鋼包精(jing)煉等(deng)過(guo)程中的(de)(de)(de)(de)(de)(de)相(xiang)關研究,數值模擬是一種非常有效的(de)(de)(de)(de)(de)(de)研究夾(jia)(jia)雜(za)物運動(dong)行為的(de)(de)(de)(de)(de)(de)方法(fa)(fa)。


   鋼液(ye)凝固(gu)過程涉及熱(re)量(liang)傳(chuan)遞、質量(liang)傳(chuan)輸、動量(liang)傳(chuan)輸、相(xiang)轉變和晶(jing)粒(li)形核長大等一(yi)系列復雜的(de)物理(li)化學現(xian)象,同時存在(zai)金屬固(gu)相(xiang)、金屬液(ye)相(xiang)、氣相(xiang)和夾雜物相(xiang)等多個相(xiang)之間的(de)相(xiang)互作(zuo)用,適(shi)合(he)應用歐拉(la)多項流模(mo)型(xing)進行計算求解(jie)。其中,根據對夾雜物運動行為處(chu)理(li)方式,夾雜物分布分析模(mo)型(xing)可以分為歐拉(la)-拉(la)格(ge)朗日(ri)模(mo)型(xing)和歐拉(la)-歐拉(la)模(mo)型(xing)。


 a. 歐(ou)拉(la)-拉(la)格朗(lang)日模(mo)型歐(ou)拉(la)-


   拉格朗日離散相(xiang)(xiang)模型(xing)是在歐拉模型(xing)的(de)基(ji)礎上(shang),將夾雜(za)物(wu)(wu)相(xiang)(xiang)處理成離散相(xiang)(xiang),而流(liu)體相(xiang)(xiang)處理為連續相(xiang)(xiang)。根(gen)據球型(xing)夾雜(za)物(wu)(wu)的(de)受力分析,基(ji)于牛頓(dun)第二定律,建(jian)立(li)(li)夾雜(za)物(wu)(wu)運動(dong)模型(xing),并與鋼(gang)液凝(ning)固(gu)模型(xing)耦(ou)合,從(cong)而模擬夾雜(za)物(wu)(wu)在凝(ning)固(gu)過程(cheng)運動(dong)行(xing)為。該(gai)模型(xing)可以跟蹤每個(ge)夾雜(za)物(wu)(wu)顆粒并獲得其速(su)度、運動(dong)軌跡以及夾雜(za)物(wu)(wu)去除(chu)過程(cheng)中的(de)動(dong)力學行(xing)為。此外,該(gai)模型(xing)是基(ji)于離散相(xiang)(xiang)體積比例相(xiang)(xiang)對較低的(de)基(ji)本假設(she)而建(jian)立(li)(li)。


   夾(jia)雜物在(zai)(zai)鋼(gang)(gang)液中的(de)(de)運動(dong),主要(yao)是(shi)各種力(li)(li)的(de)(de)共同作用造成(cheng)的(de)(de)。夾(jia)雜物在(zai)(zai)鋼(gang)(gang)液中受(shou)(shou)力(li)(li)情況如圖2-137所(suo)示。可以看出,夾(jia)雜物顆(ke)粒(li)受(shou)(shou)到主要(yao)作用力(li)(li)分別為:由(you)于(yu)顆(ke)粒(li)自身(shen)性(xing)質(zhi)引起的(de)(de)力(li)(li),如重力(li)(li)、浮(fu)力(li)(li)等;由(you)于(yu)顆(ke)粒(li)與流體之間存在(zai)(zai)相對運動(dong)而產生(sheng)的(de)(de)力(li)(li),如升力(li)(li)(Saffman)、附(fu)加質(zhi)量力(li)(li)、曳力(li)(li)和(he)Magnus力(li)(li)等;細小夾(jia)雜物在(zai)(zai)高溫條件(jian)下受(shou)(shou)的(de)(de)布朗(Brown)力(li)(li)等。


(1)曳力。


   在(zai)鋼液(ye)流場內(nei)黏性流體與顆(ke)粒之間(jian)存在(zai)相(xiang)對(dui)運動,由黏性流體施加的曳(ye)力使得(de)夾(jia)雜物(wu)顆(ke)粒趨(qu)向于跟隨流體運動。曳(ye)力是夾(jia)雜物(wu)顆(ke)粒在(zai)凝固過程(cheng)中的主(zhu)要受力之一。計算公式如(ru)下:


137.jpg


(2)浮(fu)力和重力。


   在豎直方向上,夾雜物顆粒(li)受(shou)到(dao)與(yu)相(xiang)對運動無關的力(li),包括重力(li)和浮力(li),其


式 206.jpg



(3)附加質量力(li)。


   當鋼液與(yu)夾雜(za)物顆(ke)(ke)粒存在相對運(yun)(yun)(yun)動時,夾雜(za)物顆(ke)(ke)粒會(hui)帶(dai)動其(qi)(qi)附近的部分鋼液做加(jia)速運(yun)(yun)(yun)動,此(ci)時推動夾雜(za)物顆(ke)(ke)粒運(yun)(yun)(yun)動的力(li)(li)大于其(qi)(qi)顆(ke)(ke)粒本身慣性(xing)力(li)(li),這部分大于夾雜(za)物顆(ke)(ke)粒本身慣性(xing)力(li)(li)的力(li)(li)即(ji)為附加(jia)質量力(li)(li)。其(qi)(qi)計算公式為


式 210.jpg


  通過運(yun)用歐拉-拉格朗日(ri)模型對鋼(gang)液(ye)凝(ning)固過程進(jin)行模擬(ni)計算時,可以(yi)得(de)出隨著溫度場(chang)和(he)流場(chang)的(de)變化,每個球形夾(jia)雜物(wu)顆粒在(zai)鋼(gang)液(ye)中的(de)運(yun)動軌跡和(he)分(fen)布。



 b. 歐(ou)拉-歐(ou)拉模型(xing)


   拉格(ge)朗(lang)日(ri)(ri)模型(xing)(xing)是研究(jiu)夾雜(za)(za)(za)物顆(ke)粒(li)在(zai)鋼液中運動(dong)行為主(zhu)要的(de)方法,但在(zai)實際的(de)應用中存在(zai)一些(xie)不足,例如,拉格(ge)朗(lang)日(ri)(ri)模型(xing)(xing)是針對單一粒(li)子(zi)進(jin)行計(ji)算(suan)(suan),當同時追蹤多個粒(li)子(zi)時,計(ji)算(suan)(suan)量(liang)過大,難以進(jin)行。相(xiang)(xiang)(xiang)較于拉格(ge)朗(lang)日(ri)(ri)模型(xing)(xing),歐拉-歐拉模型(xing)(xing)中夾雜(za)(za)(za)物相(xiang)(xiang)(xiang)的(de)控(kong)(kong)制方程與(yu)(yu)流體連續相(xiang)(xiang)(xiang)的(de)控(kong)(kong)制方程相(xiang)(xiang)(xiang)似(si),運算(suan)(suan)相(xiang)(xiang)(xiang)對高效,能(neng)夠(gou)同時描述多種(zhong)夾雜(za)(za)(za)物顆(ke)粒(li)在(zai)凝(ning)固過程中的(de)分布特征(zheng)。歐拉-歐拉模型(xing)(xing)與(yu)(yu)歐拉-拉格(ge)朗(lang)日(ri)(ri)模型(xing)(xing)相(xiang)(xiang)(xiang)比,主(zhu)要差別是夾雜(za)(za)(za)物相(xiang)(xiang)(xiang)的(de)動(dong)量(liang)方程存在(zai)差別,歐拉-歐拉模型(xing)(xing)的(de)夾雜(za)(za)(za)物動(dong)量(liang)方程表達式為

式 217.jpg

 2. 模鑄過程(cheng)中(zhong)夾雜物的受力分析


  模鑄過程中,夾雜物所受作用力(li)包括熱(re)浮力(li)、重力(li)、附加質量力(li)、升力(li)以及相(xiang)間作用力(li)等,具(ju)體(ti)受力(li)情(qing)況如(ru)圖2-138所示(shi)。


138.jpg

   流場對(dui)夾雜(za)物(wu)(wu)(wu)(wu)的(de)(de)(de)(de)(de)分布(bu)有(you)關(guan)鍵(jian)(jian)影(ying)響,這(zhe)直(zhi)接歸(gui)因于作用于夾雜(za)物(wu)(wu)(wu)(wu)的(de)(de)(de)(de)(de)阻力(li)(li)。以0.1MPa下H13鑄錠凝固為(wei)例,鋼液(ye)(ye)、夾雜(za)物(wu)(wu)(wu)(wu)和等軸晶(jing)的(de)(de)(de)(de)(de)流場和速率均(jun)顯示在圖(tu)(tu)2-139中。隨著凝固的(de)(de)(de)(de)(de)進行(xing),鋼液(ye)(ye)受熱浮(fu)力(li)(li)的(de)(de)(de)(de)(de)驅(qu)動(dong)(dong)逆時(shi)針運(yun)(yun)(yun)動(dong)(dong),如(ru)圖(tu)(tu)2-139(a)所(suo)示。同時(shi),隨著重力(li)(li)和浮(fu)力(li)(li)合(he)力(li)(li)的(de)(de)(de)(de)(de)增加(jia),等軸晶(jing)的(de)(de)(de)(de)(de)沉降連續發生在柱狀晶(jing)(tip)的(de)(de)(de)(de)(de)尖端,如(ru)圖(tu)(tu)2-139(b)所(suo)示。如(ru)圖(tu)(tu)2-139(c)所(suo)示,夾雜(za)物(wu)(wu)(wu)(wu)流場中出(chu)現逆時(shi)針運(yun)(yun)(yun)動(dong)(dong),與鋼液(ye)(ye)相似。這(zhe)種運(yun)(yun)(yun)動(dong)(dong)行(xing)為(wei)主(zhu)要是由作用在夾雜(za)物(wu)(wu)(wu)(wu)上(shang)的(de)(de)(de)(de)(de)合(he)力(li)(li)引起的(de)(de)(de)(de)(de)。根據模擬結果,凝固過(guo)程中重力(li)(li),浮(fu)力(li)(li)和阻力(li)(li)在改變夾雜(za)物(wu)(wu)(wu)(wu)的(de)(de)(de)(de)(de)運(yun)(yun)(yun)動(dong)(dong)行(xing)為(wei)中起著關(guan)鍵(jian)(jian)作用,因為(wei)它們比附(fu)加(jia)質量(liang)(liang)力(li)(li)和升力(li)(li)大了三個數量(liang)(liang)級。重力(li)(li)和浮(fu)力(li)(li)的(de)(de)(de)(de)(de)方向均(jun)為(wei)垂(chui)直(zhi)方向,因為(wei)夾雜(za)物(wu)(wu)(wu)(wu)的(de)(de)(de)(de)(de)密度低于液(ye)(ye)體的(de)(de)(de)(de)(de)密度,故其(qi)合(he)力(li)(li)Fbg的(de)(de)(de)(de)(de)方向垂(chui)直(zhi)向上(shang),如(ru)圖(tu)(tu)2-139(d)所(suo)示。


139.jpg


   在(zai)(zai)整(zheng)個(ge)凝固(gu)過程中(zhong),Fbg保持不變,并使夾(jia)雜(za)物(wu)上浮。相比之下(xia),曳(ye)(ye)力(li)(li)Fdp是向下(xia)的(de)力(li)(li),具有驅動(dong)夾(jia)雜(za)物(wu)向下(xia)沉的(de)能力(li)(li)。并且(qie)其變化是復雜(za)的(de)。根據等式(2-204)可知,曳(ye)(ye)力(li)(li)與鋼液(ye)和(he)夾(jia)雜(za)物(wu)之間的(de)速(su)度差(cha)密切相關(guan)。在(zai)(zai)頂(ding)部和(he)底部,鋼液(ye)和(he)夾(jia)雜(za)物(wu)速(su)度差(cha)很(hen)小,與Fbg相比,Fdp可以忽(hu)略不計。在(zai)(zai)柱狀(zhuang)晶尖端附近的(de)曳(ye)(ye)力(li)(li)Fdp大于Fbg,是導致(zhi)夾(jia)雜(za)物(wu)下(xia)沉的(de)關(guan)鍵因(yin)(yin)素(su)。在(zai)(zai)鑄錠的(de)中(zhong)心,Fdp小于Fbg,Fbg占主導,促使夾(jia)雜(za)物(wu)上浮。因(yin)(yin)此,模(mo)鑄過程中(zhong)夾(jia)雜(za)物(wu)形成(cheng)逆時針運動(dong),這主要是由重力(li)(li)、浮力(li)(li)和(he)曳(ye)(ye)力(li)(li)的(de)綜合作用所(suo)驅動(dong)。


 3. 模鑄過(guo)程(cheng)中壓(ya)力(li)對(dui)夾雜物分布的影響


   利用歐(ou)拉-歐(ou)拉模型(xing)在0.1MPa、1MPa和2MPa下獲(huo)得了H13鑄(zhu)錠(ding)夾(jia)雜(za)(za)(za)(za)物(wu)(wu)(wu)(wu)體積分數的(de)等值線,如(ru)圖(tu)2-140所示(shi)(shi)。每個(ge)(ge)鑄(zhu)錠(ding)中都存在三(san)個(ge)(ge)主(zhu)要的(de)夾(jia)雜(za)(za)(za)(za)物(wu)(wu)(wu)(wu)富(fu)(fu)(fu)集(ji)區(qu)(qu)(I、和III),其中,II區(qu)(qu)夾(jia)雜(za)(za)(za)(za)物(wu)(wu)(wu)(wu)的(de)富(fu)(fu)(fu)集(ji)度最低,III區(qu)(qu)的(de)夾(jia)雜(za)(za)(za)(za)物(wu)(wu)(wu)(wu)富(fu)(fu)(fu)集(ji)度最高,I區(qu)(qu)次之(zhi)(zhi)。三(san)個(ge)(ge)夾(jia)雜(za)(za)(za)(za)物(wu)(wu)(wu)(wu)富(fu)(fu)(fu)集(ji)區(qu)(qu)域(yu)主(zhu)要由夾(jia)雜(za)(za)(za)(za)物(wu)(wu)(wu)(wu)逆時針運動(dong)以(yi)及被糊(hu)(hu)狀(zhuang)(zhuang)(zhuang)區(qu)(qu)捕(bu)集(ji)的(de)綜合作用所導致。以(yi)0.1MPa 壓力下夾(jia)雜(za)(za)(za)(za)物(wu)(wu)(wu)(wu)分布為例,遠離糊(hu)(hu)狀(zhuang)(zhuang)(zhuang)區(qu)(qu)的(de)夾(jia)雜(za)(za)(za)(za)物(wu)(wu)(wu)(wu)在逆時針運動(dong)過程中逐漸上浮(fu)并富(fu)(fu)(fu)集(ji)到(dao)鑄(zhu)錠(ding)頂部(bu),如(ru)圖(tu) 2-140(c)所示(shi)(shi)。鑄(zhu)錠(ding)頂部(bu)富(fu)(fu)(fu)集(ji)的(de)夾(jia)雜(za)(za)(za)(za)物(wu)(wu)(wu)(wu)一部(bu)分被糊(hu)(hu)狀(zhuang)(zhuang)(zhuang)區(qu)(qu)捕(bu)獲(huo),形成(cheng)了I區(qu)(qu),其余部(bu)分沿逆時針方(fang)向(xiang)移動(dong),運動(dong)方(fang)向(xiang)幾乎垂直于(yu)糊(hu)(hu)狀(zhuang)(zhuang)(zhuang)區(qu)(qu)法向(xiang)量。與之(zhi)(zhi)相比(bi),在II和III區(qu)(qu)域(yu)內,夾(jia)雜(za)(za)(za)(za)物(wu)(wu)(wu)(wu)運動(dong)方(fang)向(xiang)與糊(hu)(hu)狀(zhuang)(zhuang)(zhuang)區(qu)(qu)法向(xiang)量成(cheng)鈍角(jiao),因(yin)而夾(jia)雜(za)(za)(za)(za)物(wu)(wu)(wu)(wu)更(geng)加趨(qu)(qu)向(xiang)于(yu)被II和III區(qu)(qu)域(yu)內糊(hu)(hu)狀(zhuang)(zhuang)(zhuang)區(qu)(qu)所捕(bu)獲(huo),如(ru)圖(tu)2-141所示(shi)(shi),導致夾(jia)雜(za)(za)(za)(za)物(wu)(wu)(wu)(wu)富(fu)(fu)(fu)集(ji)區(qu)(qu)II和III的(de)形成(cheng)。同時,III區(qu)(qu)夾(jia)雜(za)(za)(za)(za)物(wu)(wu)(wu)(wu)的(de)富(fu)(fu)(fu)集(ji)程度最高,原因(yin)是糊(hu)(hu)狀(zhuang)(zhuang)(zhuang)區(qu)(qu)較寬,糊(hu)(hu)狀(zhuang)(zhuang)(zhuang)區(qu)(qu)夾(jia)雜(za)(za)(za)(za)物(wu)(wu)(wu)(wu)捕(bu)獲(huo)能力越強,富(fu)(fu)(fu)集(ji)趨(qu)(qu)勢更(geng)明顯。


140.jpg


   隨(sui)著(zhu)壓力從0.1MPa增(zeng)加到2MPa,I、II和III區夾雜(za)物的(de)富集(ji)度(du)降(jiang)低,如2-140(b)所示,夾雜(za)物體(ti)積(ji)分(fen)(fen)數的(de)最大增(zeng)量 4max隨(sui)壓力的(de)增(zeng)加而(er)減小,在0.1MPa、1MPa和2MPa下(xia)分(fen)(fen)別為(wei)4.1x10-5、3.5x10-5和1.8x10-5,表(biao)明隨(sui)著(zhu)凝(ning)固壓力增(zeng)加至2MPa,鑄錠(ding)中夾雜(za)物分(fen)(fen)布更加均勻(yun)。


   糊(hu)狀(zhuang)區(qu)捕獲夾(jia)(jia)(jia)雜物(wu)和(he)夾(jia)(jia)(jia)雜物(wu)從(cong)糊(hu)狀(zhuang)區(qu)逃脫的(de)(de)能力(li)(li)(li)對夾(jia)(jia)(jia)雜物(wu)分布(bu)至關重要。結合液相線(xian)/固相線(xian)溫度(du)(du)隨壓(ya)力(li)(li)(li)的(de)(de)變化規律可知,凝(ning)固區(qu)間變化很小,當壓(ya)力(li)(li)(li)從(cong)0.1MPa增(zeng)(zeng)加(jia)到2MPa時(shi)(shi)可以忽略不計(ji)。因此,糊(hu)狀(zhuang)區(qu)寬度(du)(du)主(zhu)要由溫度(du)(du)梯度(du)(du)決定。如圖2-142(b)所(suo)示,由于增(zeng)(zeng)加(jia)壓(ya)力(li)(li)(li)后提高了冷卻速率(lv)(lv)導致高壓(ya)下溫度(du)(du)梯度(du)(du)更大(da)。在(zai)較高壓(ya)力(li)(li)(li)下,糊(hu)狀(zhuang)區(qu)域的(de)(de)長度(du)(du)變短[150].另外,以圖2-142(a)中的(de)(de)A點(dian)為(wei)例,凝(ning)固時(shi)(shi)間隨壓(ya)力(li)(li)(li)的(de)(de)增(zeng)(zeng)加(jia)而(er)顯著減少,在(zai)0.1MPa、1MPa和(he)2MPa下分別為(wei)292s、272s和(he)247s,凝(ning)固速率(lv)(lv)隨壓(ya)力(li)(li)(li)的(de)(de)增(zeng)(zeng)加(jia)而(er)增(zeng)(zeng)加(jia)。進而(er)表明,在(zai)較高的(de)(de)凝(ning)固壓(ya)力(li)(li)(li)下糊(hu)狀(zhuang)區(qu)的(de)(de)長度(du)(du)較小且凝(ning)固速率(lv)(lv)較高,因此糊(hu)狀(zhuang)區(qu)捕獲夾(jia)(jia)(jia)雜物(wu)的(de)(de)能力(li)(li)(li)變弱(ruo)。


141.jpg


   A、B和(he)C點夾雜(za)物(wu)速度(du)(du)隨液(ye)相(xiang)體(ti)積分(fen)數的變化(hua)如圖2-143所示。高(gao)溫度(du)(du)梯度(du)(du)通過增(zeng)大(da)熱浮力來強化(hua)鋼(gang)液(ye)對流。另(ling)外(wai),研究了糊(hu)(hu)狀(zhuang)區(qu)中夾雜(za)物(wu)的速度(du)(du)隨曳力改的相(xiang)應變化(hua)。凝固(gu)(gu)初(chu)期,糊(hu)(hu)狀(zhuang)區(qu)中的夾雜(za)物(wu)運(yun)動速度(du)(du)隨著壓(ya)力的增(zeng)加(jia)而增(zeng)大(da),在(zai)凝固(gu)(gu)后期,糊(hu)(hu)狀(zhuang)區(qu)內夾雜(za)物(wu)幾乎完全(quan)停止運(yun)動時(shi)液(ye)相(xiang)體(ti)積分(fen)數隨著壓(ya)力的增(zeng)加(jia)而降低(di)(di)。以點A為例,凝固(gu)(gu)初(chu)期(f=0.98),在(zai)0.1MPa、1MPa和(he)2MPa下夾雜(za)物(wu)速度(du)(du)分(fen)別為1.06×10-3m/s、1.19×10-3m/s和(he)1.52×10-3m/s.當(dang)糊(hu)(hu)狀(zhuang)區(qu)夾雜(za)物(wu)的速度(du)(du)降低(di)(di)到5x10-5m/s時(shi),0.1MPa、1MPa和(he)2MPa下的液(ye)相(xiang)體(ti)積分(fen)數分(fen)別為0.74、0.68和(he)0.62.這意味(wei)著夾雜(za)物(wu)從(cong)糊(hu)(hu)狀(zhuang)區(qu)逸出的能(neng)力隨壓(ya)力增(zeng)加(jia)而增(zeng)強。


143.jpg


   綜上所(suo)述,增加(jia)壓力(li)可以顯著抑(yi)制糊(hu)狀區中(zhong)夾雜物的(de)富集,并通過(guo)降(jiang)低糊(hu)狀區捕獲夾雜物的(de)能力(li),提高夾雜物從糊(hu)狀區中(zhong)逸出的(de)能力(li),使鑄錠(ding)內夾雜物分布更加(jia)均勻。




聯系方式.jpg