一、ASME簡單判斷式


  ASME簡(jian)單判(pan)斷(duan)法(fa)(fa)是(shi)(shi)由美國ASMEB31.1標準給(gei)出的(de)一種快速確定(ding)管(guan)(guan)(guan)系(xi)熱膨脹補償(chang)是(shi)(shi)否滿足要求(qiu)的(de)簡(jian)便(bian)方法(fa)(fa),在工程設計(ji)中(zhong)得到(dao)了廣泛的(de)應用。但是(shi)(shi),該方法(fa)(fa)僅是(shi)(shi)一個判(pan)斷(duan)式(shi),它(ta)并不(bu)能(neng)計(ji)算出管(guan)(guan)(guan)系(xi)中(zhong)的(de)應力、邊界反力和位移等數值,只進行(xing)簡(jian)單的(de)判(pan)斷(duan)。它(ta)的(de)判(pan)斷(duan)結(jie)果(guo)是(shi)(shi)粗略的(de),也是(shi)(shi)比(bi)較保守的(de),因此對貴重的(de)管(guan)(guan)(guan)道(dao)(如合金鋼(gang)、不(bu)銹(xiu)鋼(gang)、特(te)殊耐熱鋼(gang)、超低溫用鋼(gang)管(guan)(guan)(guan)道(dao)等)不(bu)宜用它(ta)進行(xing)最終(zhong)分析(xi)。


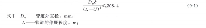
  具(ju)有同一(yi)直徑、同一(yi)壁(bi)厚、無分支(zhi)管(guan)、兩端固定(ding)、中間無支(zhi)承約(yue)束的(de)非劇毒管(guan)道(dao)若不(bu)(bu)存在下列情況(kuang)則可(ke)以按(an)ASME簡(jian)單判斷(duan)式(shi)[式(shi)(9-1)]進行(xing)判斷(duan):存在劇烈冷熱(re)循(xun)環變(bian)化的(de)管(guan)道(dao);大直徑薄(bo)壁(bi)管(guan);不(bu)(bu)等(deng)腿的(de)管(guan)道(dao)展開長度(du)大于端點連線(xian)(xian)長度(du)2.5倍(bei)的(de)U形管(guan)道(dao);不(bu)(bu)在端點連線(xian)(xian)方向(xiang)上的(de)端點附(fu)加位移占總位移量的(de)大部(bu)分;近似(si)直線(xian)(xian)的(de)鋸齒形狀的(de)管(guan)道(dao)。


式 1.jpg


      U-固(gu)定點之(zhi)間的(de)連線長度,m;


      δ-作用于管道的總(zong)熱位移(yi)(yi)荷載,mm,由管端處管道自由熱脹冷縮(suo)位移(yi)(yi)以(yi)及設(she)備熱脹冷縮(suo)位移(yi)(yi)疊加構成,前(qian)者在(zai)熱脹條(tiao)件下(xia)取正值(zhi),在(zai)冷縮(suo)條(tiao)件下(xia)取負值(zhi),后者以(yi)造成端點相向移(yi)(yi)動取正值(zhi),相背(bei)移(yi)(yi)動取負值(zhi)。



二、ASME簡(jian)單判(pan)斷式不適用的管(guan)道


  ①. 在劇烈循環(huan)條(tiao)件下(xia)運行,有(you)疲勞危險(xian)的管(guan)道。


  ②. 大(da)直徑薄壁(bi)管道(管件應力(li)增強系數i≥5)。


  ③. 與端(duan)(duan)點(dian)連線(xian)不在同(tong)一方(fang)向的端(duan)(duan)點(dian)附(fu)加位(wei)移量占總位(wei)移量大部分的管道。


  ④. L/U>2.5的不(bu)等腿U形(xing)彎管(guan)(guan)管(guan)(guan)道(dao)(dao),或(huo)近似直(zhi)線的鋸齒狀管(guan)(guan)道(dao)(dao)。



三、簡單判斷式的求解步驟


  在(zai)進行ASME簡(jian)單判斷(duan)式(shi)(shi)的求(qiu)解時,一般情況(kuang)下(xia)并(bing)不困難,只需要將式(shi)(shi)中各參數按各自的定(ding)義(yi)求(qiu)出(chu)并(bing)代(dai)入公式(shi)(shi)計算(suan)即可。但(dan)當(dang)管系兩端點(dian)(dian)有附加位(wei)移(yi)時,一些設計人員往往將端點(dian)(dian)位(wei)移(yi)的正、負(fu)(fu)(fu)號搞錯而(er)導致計算(suan)錯誤。為此(ci),特將端點(dian)(dian)位(wei)移(yi)的正、負(fu)(fu)(fu)號判斷(duan)方法(fa)進行介紹。端點(dian)(dian)位(wei)移(yi)的正、負(fu)(fu)(fu)號可按以下(xia)兩種方法(fa)確(que)定(ding)。


  第一種方法(熱脹(zhang)趨勢法)判斷(duan)步驟如下。


   ①. 選擇任一端點為始端,而(er)另(ling)一端則為末端。


   ②. 假(jia)想始(shi)端(duan)固定,而(er)末端(duan)開放,并以此判斷管系的(de)熱脹(zhang)方向(xiang)。


   ③. 管(guan)系中各管(guan)段的(de)熱(re)脹量 Δl=ΔTt 同一方(fang)向(xiang)的(de)管(guan)道(dao)熱(re)脹量為(wei)各管(guan)段熱(re)脹量的(de)代數(shu)和,并(bing)判斷末端在(zai)該方(fang)向(xiang)上的(de)位移趨勢。


   ④. 兩端點(dian)有(you)附加位移(yi)(yi)時(shi),對于始端,其(qi)(qi)附加位移(yi)(yi)方向(xiang)與(yu)管系(xi)的熱(re)脹趨(qu)勢(shi)(shi)相(xiang)(xiang)同時(shi)取“十”,與(yu)管系(xi)位移(yi)(yi)趨(qu)勢(shi)(shi)相(xiang)(xiang)反(fan)時(shi)取“一”。對于末端,其(qi)(qi)附加位移(yi)(yi)方向(xiang)與(yu)管系(xi)的熱(re)脹趨(qu)勢(shi)(shi)相(xiang)(xiang)同時(shi)取“-”,與(yu)管系(xi)的熱(re)脹趨(qu)勢(shi)(shi)相(xiang)(xiang)反(fan)時(shi)取“十”;


 第(di)二種方法(熱脹坐(zuo)標法)判斷步驟如下(xia)。


   ①. 選擇任(ren)一端為始端,另一端則為末端。


   ②. 假(jia)想始(shi)端(duan)固(gu)定(ding),末端(duan)開放(fang),并以始(shi)端(duan)為(wei)原(yuan)點建立坐標系。


   ③. 從始端(坐標(biao)原點)沿管系向(xiang)(xiang)(xiang)末端行走,與坐標(biao)同向(xiang)(xiang)(xiang)時位移(yi)(yi)為(wei)正(zheng),反向(xiang)(xiang)(xiang)時為(wei)負(fu),最后分別取各(ge)方(fang)向(xiang)(xiang)(xiang)的(de)位移(yi)(yi)代數(shu)和。該(gai)(gai)代數(shu)和具有“十”“-”號(hao),“十”號(hao)表示該(gai)(gai)方(fang)向(xiang)(xiang)(xiang)的(de)總位移(yi)(yi)方(fang)向(xiang)(xiang)(xiang)與坐標(biao)軸(zhou)同向(xiang)(xiang)(xiang),而(er)“一”號(hao)表示該(gai)(gai)方(fang)向(xiang)(xiang)(xiang)的(de)總位移(yi)(yi)方(fang)向(xiang)(xiang)(xiang)與坐標(biao)軸(zhou)反向(xiang)(xiang)(xiang)。


   ④. 端點有附(fu)加(jia)位移時,對(dui)于始端,如(ru)果其附(fu)加(jia)位移方向(xiang)與(yu)坐標軸同(tong)向(xiang)則(ze)(ze)為(wei)“+”,反向(xiang)則(ze)(ze)為(wei)“一”;對(dui)于末端,如(ru)果其附(fu)加(jia)位移方向(xiang)與(yu)坐標軸同(tong)向(xiang)則(ze)(ze)為(wei)“十”,反向(xiang)則(ze)(ze)為(wei)“-”。


 熱脹趨勢法(fa)和熱脹坐標法(fa)得到的結果是相同的。



工(gong)程實例(li)


  ASME簡單判斷式的工程應用


  有(you)一Φ273mm×8mnm的碳鋼管道(dao),其(qi)(qi)設(she)計溫(wen)度為250℃,安(an)裝溫(wen)度為20℃,線脹(zhang)系數為at=12.8×10-6℃-1。管道(dao)走(zou)向如圖9-5所(suo)示,其(qi)(qi)中(zhong)A、D為固定點。試計算其(qi)(qi)柔性是否足夠。



雜 2.jpg


 因為A=501.12>208.4,所以(yi)該(gai)管(guan)道不能滿足(zu)柔(rou)性要求(qiu)。


聯系方式.jpg