1911年,德國科學家Van Karman首先用最小應變能方法研究了香蕉視頻app破解碼:不銹鋼管彎管加工后的應力應變特性,之后的一些學者都以此方法為基礎,僅在級數的取舍等方面作了改進。Clark則認為彎管段為封閉環殼的一部分,通過薄殼方程并以兩個變量來表達這些方程,其解與已有解非常接近,且數學處理十分成功,但上述都僅限于彎曲半徑較大的情形。Pardue和Vigness,還有 Turner、Ford都研究了彎曲半徑較小的情形,給出了整個彎管截面的應力曲線。直到1956年,Kafla和Dunn注意到內壓對柔度系數的影響,指出了內壓可使彎管的柔度系數降低,剛度增大。Rodabaugh 和 George 利用能量方法研究了內壓的影響,給出了影響計算的理論公式。Clark等的計算公式和Rodabaugh等的內壓影響修正公式現在被各國規范所廣泛使用。


 我國(guo)在(zai)(zai)(zai)“八五(wu)”“九五(wu)”科(ke)技(ji)(ji)攻(gong)關期間,已基本解(jie)(jie)決(jue)了(le)(le)(le)壓力(li)(li)容(rong)器、壓力(li)(li)管(guan)(guan)(guan)(guan)道(dao)直管(guan)(guan)(guan)(guan)段(duan)的(de)(de)(de)(de)塑(su)性(xing)極限(xian)(xian)(xian)載(zai)(zai)荷(he)計(ji)(ji)算(suan)及工(gong)程評估問(wen)題,但未涉及彎(wan)(wan)(wan)(wan)管(guan)(guan)(guan)(guan)等復雜結構(gou)。鑒于其對(dui)(dui)管(guan)(guan)(guan)(guan)道(dao)系(xi)統(tong)承載(zai)(zai)能力(li)(li)的(de)(de)(de)(de)重要影(ying)響,國(guo)家(jia)科(ke)技(ji)(ji)部將壓力(li)(li)管(guan)(guan)(guan)(guan)道(dao)元件的(de)(de)(de)(de)安全(quan)(quan)評估技(ji)(ji)術列入“十五(wu)”國(guo)家(jia)重大科(ke)技(ji)(ji)攻(gong)關的(de)(de)(de)(de)相關項(xiang)目中。文(wen)獻(xian)給(gei)出(chu)(chu)了(le)(le)(le)薄壁彎(wan)(wan)(wan)(wan)管(guan)(guan)(guan)(guan)的(de)(de)(de)(de)理(li)論解(jie)(jie),文(wen)獻(xian)采用(yong)(yong)數值分(fen)析的(de)(de)(de)(de)方法(fa)(fa),對(dui)(dui)不(bu)銹鋼彎(wan)(wan)(wan)(wan)管(guan)(guan)(guan)(guan)結構(gou)在(zai)(zai)(zai)復雜載(zai)(zai)荷(he)作(zuo)(zuo)用(yong)(yong)下(xia)(xia)(xia)(xia)(xia)的(de)(de)(de)(de)極限(xian)(xian)(xian)與安定分(fen)析進行了(le)(le)(le)深入、系(xi)統(tong)的(de)(de)(de)(de)研(yan)究,發(fa)展了(le)(le)(le)多組(zu)載(zai)(zai)荷(he)作(zuo)(zuo)用(yong)(yong)下(xia)(xia)(xia)(xia)(xia)不(bu)銹鋼管(guan)(guan)(guan)(guan)彎(wan)(wan)(wan)(wan)管(guan)(guan)(guan)(guan)結構(gou)塑(su)性(xing)極限(xian)(xian)(xian)上限(xian)(xian)(xian)分(fen)析的(de)(de)(de)(de)有(you)限(xian)(xian)(xian)元數學規劃方法(fa)(fa),得(de)出(chu)(chu)了(le)(le)(le)相應的(de)(de)(de)(de)無搜索(suo)優(you)化迭代求(qiu)解(jie)(jie)算(suan)法(fa)(fa),給(gei)出(chu)(chu)了(le)(le)(le)可較好(hao)地解(jie)(jie)決(jue)復雜載(zai)(zai)荷(he)作(zuo)(zuo)用(yong)(yong)下(xia)(xia)(xia)(xia)(xia)彎(wan)(wan)(wan)(wan)管(guan)(guan)(guan)(guan)結構(gou)與安定分(fen)析的(de)(de)(de)(de)數值算(suan)法(fa)(fa)。文(wen)獻(xian)就(jiu)含局部減(jian)薄彎(wan)(wan)(wan)(wan)管(guan)(guan)(guan)(guan)的(de)(de)(de)(de)極限(xian)(xian)(xian)載(zai)(zai)荷(he)作(zuo)(zuo)了(le)(le)(le)研(yan)究,得(de)出(chu)(chu)了(le)(le)(le)含局部減(jian)薄彎(wan)(wan)(wan)(wan)管(guan)(guan)(guan)(guan)的(de)(de)(de)(de)極限(xian)(xian)(xian)載(zai)(zai)荷(he)的(de)(de)(de)(de)工(gong)程計(ji)(ji)算(suan)方法(fa)(fa);文(wen)獻(xian)對(dui)(dui)在(zai)(zai)(zai)拉、壓、彎(wan)(wan)(wan)(wan)、扭和(he)(he)內(nei)(nei)壓作(zuo)(zuo)用(yong)(yong)下(xia)(xia)(xia)(xia)(xia)含缺(que)陷彎(wan)(wan)(wan)(wan)管(guan)(guan)(guan)(guan)的(de)(de)(de)(de)極限(xian)(xian)(xian)載(zai)(zai)荷(he)作(zuo)(zuo)了(le)(le)(le)研(yan)究,得(de)出(chu)(chu)了(le)(le)(le)彎(wan)(wan)(wan)(wan)管(guan)(guan)(guan)(guan)在(zai)(zai)(zai)組(zu)合(he)載(zai)(zai)荷(he)作(zuo)(zuo)用(yong)(yong)下(xia)(xia)(xia)(xia)(xia)的(de)(de)(de)(de)極限(xian)(xian)(xian)載(zai)(zai)荷(he)的(de)(de)(de)(de)計(ji)(ji)算(suan)公(gong)式,能滿足(zu)一般工(gong)程的(de)(de)(de)(de)計(ji)(ji)算(suan)。文(wen)獻(xian)對(dui)(dui)環(huan)向(xiang)(xiang)穿透(tou)裂(lie)紋(wen)的(de)(de)(de)(de)斜(xie)接(jie)彎(wan)(wan)(wan)(wan)管(guan)(guan)(guan)(guan)進行了(le)(le)(le)有(you)限(xian)(xian)(xian)元分(fen)析,計(ji)(ji)算(suan)給(gei)出(chu)(chu)了(le)(le)(le)線彈性(xing)條(tiao)件下(xia)(xia)(xia)(xia)(xia),焊制斜(xie)接(jie)彎(wan)(wan)(wan)(wan)管(guan)(guan)(guan)(guan)環(huan)向(xiang)(xiang)穿透(tou)裂(lie)紋(wen)分(fen)別在(zai)(zai)(zai)內(nei)(nei)壓、彎(wan)(wan)(wan)(wan)矩載(zai)(zai)荷(he)作(zuo)(zuo)用(yong)(yong)下(xia)(xia)(xia)(xia)(xia)斷(duan)裂(lie)參(can)量K1的(de)(de)(de)(de)工(gong)程應用(yong)(yong)解(jie)(jie);同時以(yi)內(nei)(nei)壓、彎(wan)(wan)(wan)(wan)矩不(bu)同比(bi)(bi)例的(de)(de)(de)(de)載(zai)(zai)荷(he)比(bi)(bi)作(zuo)(zuo)用(yong)(yong)下(xia)(xia)(xia)(xia)(xia)求(qiu)解(jie)(jie)出(chu)(chu)全(quan)(quan)塑(su)性(xing)J積(ji)分(fen)值。文(wen)獻(xian)對(dui)(dui)沿(yan)管(guan)(guan)(guan)(guan)向(xiang)(xiang)穿透(tou)裂(lie)紋(wen)的(de)(de)(de)(de)斜(xie)接(jie)彎(wan)(wan)(wan)(wan)管(guan)(guan)(guan)(guan)在(zai)(zai)(zai)內(nei)(nei)壓、彎(wan)(wan)(wan)(wan)矩聯合(he)作(zuo)(zuo)用(yong)(yong)下(xia)(xia)(xia)(xia)(xia)的(de)(de)(de)(de)整(zheng)體應力(li)(li)進行了(le)(le)(le)分(fen)析,并利用(yong)(yong)斷(duan)裂(lie)力(li)(li)學的(de)(de)(de)(de)理(li)論和(he)(he)有(you)限(xian)(xian)(xian)元方法(fa)(fa)計(ji)(ji)算(suan)了(le)(le)(le)內(nei)(nei)壓、內(nei)(nei)壓與彎(wan)(wan)(wan)(wan)矩組(zu)合(he)載(zai)(zai)荷(he)作(zuo)(zuo)用(yong)(yong)下(xia)(xia)(xia)(xia)(xia)焊制斜(xie)接(jie)彎(wan)(wan)(wan)(wan)管(guan)(guan)(guan)(guan)沿(yan)管(guan)(guan)(guan)(guan)向(xiang)(xiang)穿透(tou)裂(lie)紋(wen)的(de)(de)(de)(de)線彈性(xing)斷(duan)裂(lie)參(can)量 K1和(he)(he)全(quan)(quan)塑(su)性(xing)J積(ji)分(fen)。


  從國(guo)內外(wai)(wai)的(de)研究現(xian)狀(zhuang)來看,目(mu)前(qian)(qian)對(dui)(dui)不銹鋼管(guan)(guan)(guan)道(dao)的(de)研究多(duo)集中(zhong)(zhong)在(zai)直管(guan)(guan)(guan)段,圍繞管(guan)(guan)(guan)道(dao)中(zhong)(zhong)重要而(er)薄(bo)(bo)弱的(de)環節-彎(wan)(wan)管(guan)(guan)(guan)的(de)研究相(xiang)對(dui)(dui)較少(shao)。由于彎(wan)(wan)管(guan)(guan)(guan)幾(ji)何(he)中(zhong)(zhong)心線(xian)是曲線(xian),加之受(shou)制造工(gong)藝(yi)(yi)的(de)影響,管(guan)(guan)(guan)壁(bi)往(wang)往(wang)不等(deng)厚,存在(zai)截(jie)面橢圓化,外(wai)(wai)拱壁(bi)厚局部變(bian)薄(bo)(bo),內拱壁(bi)厚局部變(bian)厚甚至出現(xian)皺褶等(deng)缺(que)陷,當受(shou)到(dao)內壓和(he)彎(wan)(wan)矩的(de)聯合作用時,幾(ji)何(he)和(he)材料(liao)(liao)的(de)非(fei)線(xian)性相(xiang)互(hu)作用,使得彎(wan)(wan)管(guan)(guan)(guan)的(de)應(ying)(ying)力狀(zhuang)態比直管(guan)(guan)(guan)復雜(za),因而(er)研究起來也相(xiang)對(dui)(dui)復雜(za)。而(er)對(dui)(dui)超高(gao)壓彎(wan)(wan)管(guan)(guan)(guan)還要涉及彎(wan)(wan)管(guan)(guan)(guan)的(de)應(ying)(ying)力沿壁(bi)厚分布不均勻和(he)應(ying)(ying)力集中(zhong)(zhong)的(de)現(xian)象,因而(er)對(dui)(dui)超高(gao)壓彎(wan)(wan)管(guan)(guan)(guan)的(de)研究就更加復雜(za),目(mu)前(qian)(qian)對(dui)(dui)超高(gao)壓彎(wan)(wan)管(guan)(guan)(guan)的(de)研究文(wen)(wen)獻(xian)資(zi)料(liao)(liao)報道(dao)得很少(shao),而(er)現(xian)有(you)的(de)文(wen)(wen)獻(xian)資(zi)料(liao)(liao)報道(dao)得最多(duo)的(de)是超高(gao)壓彎(wan)(wan)管(guan)(guan)(guan)的(de)加工(gong)與制造工(gong)藝(yi)(yi),對(dui)(dui)超高(gao)壓彎(wan)(wan)管(guan)(guan)(guan)的(de)受(shou)力分析及工(gong)程中(zhong)(zhong)的(de)應(ying)(ying)用的(de)研究報道(dao)只(zhi)有(you)楊家瑞在(zai)文(wen)(wen)獻(xian)中(zhong)(zhong)提(ti)到(dao)了超高(gao)壓彎(wan)(wan)管(guan)(guan)(guan)的(de)極(ji)限載荷的(de)計(ji)算(suan)方法。2010年,毛苗等(deng)人對(dui)(dui)受(shou)內壓作用下的(de)90度大型厚壁(bi)彎(wan)(wan)管(guan)(guan)(guan)進行(xing)了應(ying)(ying)力計(ji)算(suan)分析及試驗研究,得到(dao)了彎(wan)(wan)管(guan)(guan)(guan)的(de)應(ying)(ying)力分布規律。2011年,樂增等(deng)人應(ying)(ying)用雙剪(jian)強度理論推(tui)導出求(qiu)解不銹鋼管(guan)(guan)(guan)彎(wan)(wan)管(guan)(guan)(guan)的(de)極(ji)限載荷一般公式,如(ru)式(1-1)所(suo)示。


1.jpg


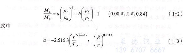
 2014年,朱倩等(deng)人基于統(tong)一強度(du)理(li)論(lun)(lun),考(kao)慮(lv)中間主應力(li)效應及(ji)拉壓(ya)(ya)(ya)不(bu)等(deng)特性(xing)(xing),建立了等(deng)壁(bi)厚(hou)、變壁(bi)厚(hou)及(ji)局部減薄壓(ya)(ya)(ya)力(li)彎管的(de)(de)(de)(de)極限內(nei)壓(ya)(ya)(ya)統(tong)一解,研究(jiu)了統(tong)一強度(du)理(li)論(lun)(lun)參(can)數(shu)、拉壓(ya)(ya)(ya)比、彎曲系數(shu)和不(bu)銹鋼管彎管壁(bi)厚(hou)對統(tong)一解的(de)(de)(de)(de)影(ying)響特性(xing)(xing),結(jie)果表明(ming):彎曲系數(shu)、強度(du)理(li)論(lun)(lun)參(can)數(shu)等(deng)因(yin)素對極限內(nei)壓(ya)(ya)(ya)曲線的(de)(de)(de)(de)影(ying)響顯著(zhu),考(kao)慮(lv)中間主應力(li)效應能(neng)(neng)充(chong)分發揮(hui)材料(liao)(liao)的(de)(de)(de)(de)強度(du)潛能(neng)(neng)。李建等(deng)人考(kao)慮(lv)幾(ji)何和材料(liao)(liao)的(de)(de)(de)(de)非線性(xing)(xing)相互(hu)作(zuo)用,采用有限元方法研究(jiu)了復雜載荷下不(bu)銹鋼彎管的(de)(de)(de)(de)極限載荷,提出了彎矩以及(ji)內(nei)壓(ya)(ya)(ya)、彎矩聯合作(zuo)用下的(de)(de)(de)(de)極限壓(ya)(ya)(ya)力(li)、極限彎矩與(yu)彎管幾(ji)何尺寸(cun)的(de)(de)(de)(de)定(ding)量關系如式(1-2)。


2.jpg