關于氫脆的機理,尚無統一認識。各種理論的共同點是:氫原子通過應力誘導擴散在高應力區富集,只有當富集的氫濃度達到臨界值C.時,使材料斷裂應力σ降低,才發生脆斷。目前較為普遍的觀點有以下幾種。


1. 氫的(de)擴散機理


  裂(lie)紋尖端(duan)處于陰(yin)極(ji)區,由于陰(yin)極(ji)反(fan)應(ying)的(de)(de)(de)結果,使介(jie)質(zhi)中(zhong)的(de)(de)(de)氫(qing)(qing)離子(zi)獲(huo)得電子(zi)后(hou)(hou)還原(yuan)成氫(qing)(qing)原(yuan)子(zi),一部分氫(qing)(qing)原(yuan)子(zi)進一步結合成氫(qing)(qing)氣后(hou)(hou)逸(yi)出,另一部分氫(qing)(qing)原(yuan)子(zi)向(xiang)金屬(shu)(shu)內部擴散。原(yuan)子(zi)氫(qing)(qing)在金屬(shu)(shu)中(zhong)的(de)(de)(de)擴散,有濃(nong)(nong)差擴散和應(ying)力(li)擴散。裂(lie)紋尖端(duan)高應(ying)力(li)塑變(bian)區晶格缺(que)陷(xian)的(de)(de)(de)堆(dui)積,產生氫(qing)(qing)與金屬(shu)(shu)中(zhong)缺(que)陷(xian)交互作用(yong)的(de)(de)(de)陷(xian)捕效(xiao)應(ying),使氫(qing)(qing)在此區域內產生高濃(nong)(nong)度的(de)(de)(de)集中(zhong),從而(er)使該區域的(de)(de)(de)金屬(shu)(shu)脆化。


2. 氫壓(ya)理(li)論


  在H2環境中,H2分解成H進入金屬,其濃度CH和/P成正比,反過來,如果溶解在金屬中的H進入某些特殊區域(如夾界或第二相界面,空位團),就會復合成H2,即2H→H2,這時該處的H2壓力P就和C2H成正比,但由于H2不是理想氣團,壓力較高時要用逸度f代替,即


f=(CH/S)2=C2Hexp(-2ΔH/RT)(1.5)


當局部區域CH很高時,按式(1.5)算出的逸度換算成壓力后等于原子鍵合力σth,就會使局部地區的原子鍵斷裂而形成微裂紋。在高逸度電解充氫時,充氫過程中就會產生氫鼓泡(出現在表層)或氫致微裂紋,它和是否存在外加應力無關,也不需要滯后時間(即不需要應力誘導擴散、富集),這完全是氫壓力P等于σth,從而使原子鍵斷裂而形成微裂紋。氫壓理論成功地解釋了電解充氫過程中產生的裂紋、鋼中白點以及鋼在硫化氫溶液中產生的裂紋。但對于不可逆損傷,如氫致可逆塑性損失以及氫致滯后開裂,僅僅用氫壓理論無法解釋。


3. 氫(qing)降低表(biao)面(mian)能(neng)理論


氫(qing)(qing)(qing)降低(di)(di)表(biao)(biao)(biao)面(mian)(mian)(mian)(mian)(mian)能理(li)(li)論是N.Petch和P.Stabls在1952年提(ti)出的(de)(de)(de)。材(cai)料(liao)斷(duan)裂時將(jiang)形成兩個新的(de)(de)(de)表(biao)(biao)(biao)面(mian)(mian)(mian)(mian)(mian),對(dui)于(yu)完(wan)全脆(cui)性(xing)的(de)(de)(de)材(cai)料(liao),斷(duan)裂時所需(xu)的(de)(de)(de)外力(li)(li)(li)做功(gong)(gong)等于(yu)形成新的(de)(de)(de)表(biao)(biao)(biao)面(mian)(mian)(mian)(mian)(mian)所需(xu)的(de)(de)(de)表(biao)(biao)(biao)面(mian)(mian)(mian)(mian)(mian)能。當裂紋(wen)尖端(duan)區處(chu)于(yu)陰(yin)極(ji)狀態時,由于(yu)陰(yin)極(ji)反應(ying)的(de)(de)(de)結果,表(biao)(biao)(biao)面(mian)(mian)(mian)(mian)(mian)將(jiang)產生大(da)量(liang)的(de)(de)(de)氫(qing)(qing)(qing)原(yuan)子,根(gen)據斷(duan)裂力(li)(li)(li)學的(de)(de)(de)觀點,處(chu)于(yu)高應(ying)力(li)(li)(li)裂紋(wen)尖端(duan)的(de)(de)(de)表(biao)(biao)(biao)面(mian)(mian)(mian)(mian)(mian)會有效(xiao)地促使表(biao)(biao)(biao)面(mian)(mian)(mian)(mian)(mian)吸附氫(qing)(qing)(qing)原(yuan)子,吸附在材(cai)料(liao)表(biao)(biao)(biao)面(mian)(mian)(mian)(mian)(mian)的(de)(de)(de)氫(qing)(qing)(qing)會使材(cai)料(liao)的(de)(de)(de)表(biao)(biao)(biao)面(mian)(mian)(mian)(mian)(mian)能降低(di)(di),使斷(duan)裂所需(xu)的(de)(de)(de)臨界(jie)外應(ying)力(li)(li)(li)降低(di)(di),引起氫(qing)(qing)(qing)脆(cui)。它沒(mei)有考慮(lv)塑(su)性(xing)變(bian)形功(gong)(gong),因而對(dui)金(jin)屬(shu)材(cai)料(liao)是不適用(yong)的(de)(de)(de)。到了20世(shi)紀(ji)70年代(dai),C.McMahon等人對(dui)這一理(li)(li)論進(jin)一步作(zuo)了修正(zheng)。他用(yong)Orowan判據,把局部(bu)塑(su)性(xing)變(bian)形的(de)(de)(de)因素考慮(lv)進(jin)去(qu),導出了塑(su)性(xing)變(bian)形功(gong)(gong)Tp和表(biao)(biao)(biao)面(mian)(mian)(mian)(mian)(mian)能r的(de)(de)(de)關系(xi)。氫(qing)(qing)(qing)降低(di)(di)表(biao)(biao)(biao)面(mian)(mian)(mian)(mian)(mian)能理(li)(li)論存在的(de)(de)(de)問題如下:一方面(mian)(mian)(mian)(mian)(mian),對(dui)氫(qing)(qing)(qing)吸附后表(biao)(biao)(biao)面(mian)(mian)(mian)(mian)(mian)能降低(di)(di)的(de)(de)(de)物理(li)(li)本質尚(shang)不清楚;另一方面(mian)(mian)(mian)(mian)(mian),這一理(li)(li)論忽視了局部(bu)塑(su)性(xing)變(bian)形對(dui)斷(duan)裂過程的(de)(de)(de)主導作(zuo)用(yong)。


4. 弱鍵理論(lun)


弱鍵(jian)(jian)理(li)論認為(wei)氫(qing)(qing)進(jin)人(ren)材料(liao)(liao)后能(neng)(neng)使材料(liao)(liao)的(de)原(yuan)子(zi)間鍵(jian)(jian)力降低,原(yuan)因是氫(qing)(qing)的(de)1s電(dian)子(zi)進(jin)入過渡族金屬(shu)的(de)d帶,使d帶電(dian)子(zi)密度升高(gao),s帶與d帶重合部分增(zeng)大,因而原(yuan)子(zi)間排斥力增(zeng)加(jia),即鍵(jian)(jian)力下降。該(gai)理(li)論簡單直觀(guan),容易被(bei)人(ren)們接受(shou)。給而實(shi)驗證據尚不(bu)充分,如材料(liao)(liao)的(de)彈(dan)性模量與鍵(jian)(jian)力有(you)關,但(dan)實(shi)驗并(bing)未發(fa)現氫(qing)(qing)對彈(dan)性模量有(you)顯著(zhu)的(de)影(ying)響(xiang)。此外(wai),沒有(you)3d帶的(de)鋁合金也能(neng)(neng)發(fa)生可逆(ni)氫(qing)(qing)脆,因此不(bu)可能(neng)(neng)有(you)氫(qing)(qing)的(de)1s電(dian)子(zi)進(jin)入金屬(shu)的(de)d帶。


5.氫促進局部(bu)塑性變形機(ji)理


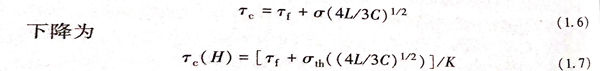
氫促進局部塑性變形機理的基礎是一系列斷口形貌研究結果和隨后的金相及透射電鏡原位跟蹤實驗結果。該理論認為,氫能促進位錯的增殖和運動,使得局部地區(如裂尖、無位錯區、位錯塞積群前端)的應力集中σy等于被氫降低了的原子鍵合力σth(H),從而導致氫致微裂紋在該處形核,原子鍵進人微裂紋就復合成H2,產生氫壓,它能使微裂紋穩定化,同時也能協助局部應力使之解理擴展。該理論同時考慮了氫促進局部塑性變形,氫降低原子鍵合力以及氫壓作用。該理論表明,從微裂紋上看,氫促進位錯發射和運動;從宏觀上看,氫使門檻應力rc(或應力強度因子)為


6.jpg


也使臨界斷裂應變下降,從而使材料變脆。因為只有當氫通過應力誘導擴散富集到等于臨界值Cth時,才會明顯促進局部塑性變形并使應變高度局部化,同時也使σth(H)明顯下降,從而在低的外應力下就導致開裂。