不銹鋼法蘭墊(dian)片的主要(yao)參(can)(can)數包括(kuo)墊(dian)片的有效密封寬度、墊(dian)片的性能參(can)(can)數、墊(dian)片公稱(cheng)(cheng)通徑或公稱(cheng)(cheng)尺(chi)寸及墊(dian)片公稱(cheng)(cheng)壓(ya)力(li)。


一(yi)、不銹鋼法(fa)蘭(lan)墊片的(de)有效密封(feng)寬度


  法蘭密封接頭中,墊片的有效密封寬度是作為計算法蘭螺栓載荷必不可少的一個特性參數,通常用符號b表示,其單位以mm計。不銹鋼法蘭墊片的有效密封寬度與墊片基本密封寬度有關。墊片基本密封寬度用符號b0表示,其單位以mm計。


 當選定墊片尺寸后,可按表11-1確定墊片接觸面寬度和墊片基本密封寬度b0。墊片接觸面寬度以符號N表示,其單位以mm計。墊片基本密封寬度b0見表11-1。




二(er)、不銹鋼(gang)法蘭墊片性能參數(shu)


 不銹鋼(gang)法(fa)蘭墊片的性能參數(shu)是指規(gui)范設計(ji)法(fa)(即ASME《鍋爐和壓力容器規(gui)范》中所推薦的螺栓法(fa)蘭連接的規(gui)范設計(ji)法(fa))中所涉及(ji)(ji)的“y”及(ji)(ji)“m”兩個密封系數(shu)。


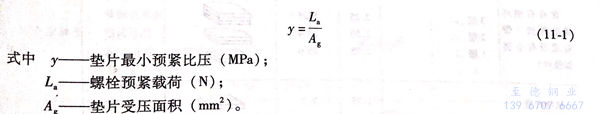
 1. 不(bu)銹鋼(gang)法蘭墊片最(zui)小預緊比壓(ya) 


   在法蘭密封(feng)接頭中,壓緊(jin)(jin)墊(dian)(dian)片(pian)所需的(de)力(li)使墊(dian)(dian)片(pian)材料產生變形從而填滿法蘭密封(feng)面間(jian)的(de)微(wei)間(jian)隙(xi)。壓緊(jin)(jin)墊(dian)(dian)片(pian)所需的(de)最小(xiao)(xiao)應(ying)力(li)稱為墊(dian)(dian)片(pian)最小(xiao)(xiao)預緊(jin)(jin)比壓,通常以符號y表(biao)示。墊(dian)(dian)片(pian)最小(xiao)(xiao)預緊(jin)(jin)比壓是指(zhi)在安裝過程中沒有內壓的(de)情況下,墊(dian)(dian)片(pian)接觸面積上的(de)壓應(ying)力(li),其(qi)表(biao)達式(shi)為:


式 1.jpg



 2. 不銹鋼法(fa)蘭墊(dian)片系數 


   壓緊墊片(pian)時,螺栓(shuan)伸(shen)長,當(dang)介質壓力(li)作用后,螺栓(shuan)由于受介質壓力(li)作用產生的載(zai)荷而更加伸(shen)長,致使(shi)兩密封(feng)法蘭面(mian)之間(jian)的間(jian)隙(xi)增大,使(shi)墊片(pian)的應(ying)力(li)降(jiang)低,產生泄漏(lou)。


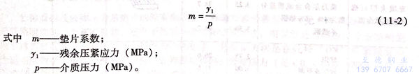
   為了(le)保證工(gong)作(zuo)狀態下(xia)(xia)的(de)(de)密封性能(neng),墊(dian)(dian)片(pian)(pian)上應(ying)(ying)有一定的(de)(de)比壓(ya)(ya)(ya),即工(gong)作(zuo)狀態下(xia)(xia)的(de)(de)壓(ya)(ya)(ya)緊比壓(ya)(ya)(ya),或稱殘余(yu)壓(ya)(ya)(ya)緊應(ying)(ying)力(li)(li),以(yi)符號y1表示(shi)。墊(dian)(dian)片(pian)(pian)系(xi)數定義為工(gong)作(zuo)狀態下(xia)(xia)墊(dian)(dian)片(pian)(pian)上的(de)(de)殘余(yu)壓(ya)(ya)(ya)緊應(ying)(ying)力(li)(li)與(yu)介質壓(ya)(ya)(ya)力(li)(li)之(zhi)比值,其表達式為:


式 2.jpg


  不銹鋼法(fa)蘭墊(dian)片(pian)最小(xiao)預緊比壓和墊(dian)片(pian)系數由實驗確定,它們(men)是僅與墊(dian)片(pian)材料(liao)及法(fa)蘭密(mi)封(feng)面形(xing)式有關的(de)特性(xing)參數。規范墊(dian)片(pian)特性(xing)參數或墊(dian)片(pian)性(xing)能參數m及y值見表11-2。



三(san)、不銹鋼法蘭墊片公(gong)稱通徑及公(gong)稱壓力(li)


  公(gong)(gong)稱(cheng)(cheng)通徑(jing)及公(gong)(gong)稱(cheng)(cheng)壓(ya)(ya)力(li)(li)是(shi)墊(dian)片的(de)(de)(de)配套參數(shu)。公(gong)(gong)稱(cheng)(cheng)通徑(jing)或公(gong)(gong)稱(cheng)(cheng)尺寸(見(jian)GB/T 1047-2005)是(shi)管路附件(jian)的(de)(de)(de)一(yi)(yi)(yi)個基本參數(shu),它并不(bu)是(shi)某一(yi)(yi)(yi)個實際結構(gou)尺寸,而僅(jin)(jin)僅(jin)(jin)是(shi)與制造尺寸密切相(xiang)關(guan)(guan)的(de)(de)(de)經(jing)過圓整(zheng)后(hou)的(de)(de)(de)一(yi)(yi)(yi)個名(ming)義(yi)尺寸,僅(jin)(jin)作(zuo)為一(yi)(yi)(yi)種(zhong)標志(zhi),其標記方法(fa)是(shi)在代號“DN”后(hou)緊(jin)跟著(zhu)一(yi)(yi)(yi)個適當(dang)的(de)(de)(de)數(shu)字。墊(dian)片公(gong)(gong)稱(cheng)(cheng)通徑(jing)與法(fa)蘭(lan)(lan)公(gong)(gong)稱(cheng)(cheng)通徑(jing)相(xiang)同;公(gong)(gong)稱(cheng)(cheng)壓(ya)(ya)力(li)(li)(見(jian)GB/T 1048-2005)是(shi)指與管路附件(jian)(如法(fa)蘭(lan)(lan)、管件(jian)、閥門(men)等)機械強度有關(guan)(guan)的(de)(de)(de)設計給定壓(ya)(ya)力(li)(li),是(shi)一(yi)(yi)(yi)個經(jing)過圓整(zheng)后(hou)的(de)(de)(de)名(ming)義(yi)值,也是(shi)僅(jin)(jin)作(zuo)為一(yi)(yi)(yi)種(zhong)標志(zhi),其標記方法(fa)是(shi)在代號“PN”后(hou)緊(jin)跟一(yi)(yi)(yi)個適當(dang)的(de)(de)(de)數(shu)字。墊(dian)片公(gong)(gong)稱(cheng)(cheng)壓(ya)(ya)力(li)(li)亦與法(fa)蘭(lan)(lan)公(gong)(gong)稱(cheng)(cheng)壓(ya)(ya)力(li)(li)相(xiang)同。