作為應(ying)力腐蝕(shi)裂紋的萌生源,香蕉視頻app破解碼:點蝕的(de)(de)產生(sheng)(sheng)(sheng)以及生(sheng)(sheng)(sheng)長(chang)過程相當(dang)于(yu)裂(lie)紋的(de)(de)孕育期。目前,對于(yu)點蝕(shi)(shi)(shi)的(de)(de)萌生(sheng)(sheng)(sheng)機理(li)(li)有很多說法,每(mei)一種機理(li)(li)都得(de)(de)到了(le)相當(dang)多的(de)(de)實(shi)驗支持。點蝕(shi)(shi)(shi)萌生(sheng)(sheng)(sheng)機理(li)(li)雖多,但是(shi)建立的(de)(de)相應(ying)判據(ju)卻很少。點蝕(shi)(shi)(shi)的(de)(de)萌生(sheng)(sheng)(sheng)和(he)(he)生(sheng)(sheng)(sheng)長(chang)受(shou)很多因素(su)的(de)(de)影響,如腐蝕(shi)(shi)(shi)介質(zhi)(zhi)的(de)(de)成分、溫度(du)和(he)(he)流動狀態,材料的(de)(de)力學(xue)性(xing)能(neng)、表面硬質(zhi)(zhi)夾雜和(he)(he)粗(cu)糙度(du),這些物理(li)(li)量的(de)(de)不確定性(xing)使得(de)(de)點蝕(shi)(shi)(shi)在整個生(sheng)(sheng)(sheng)命周(zhou)期內的(de)(de)發(fa)展具有很大(da)的(de)(de)隨機性(xing)。本章(zhang)中,在點蝕(shi)(shi)(shi)機理(li)(li)的(de)(de)研(yan)究基礎(chu)上,建立點蝕(shi)(shi)(shi)萌生(sheng)(sheng)(sheng)判據(ju),并把點蝕(shi)(shi)(shi)分為兩(liang)個不同(tong)的(de)(de)階(jie)段,即點蝕(shi)(shi)(shi)的(de)(de)萌生(sheng)(sheng)(sheng)和(he)(he)生(sheng)(sheng)(sheng)長(chang),分別研(yan)究這兩(liang)個階(jie)段的(de)(de)隨機性(xing)。



一(yi)、點蝕的產生(sheng)


  奧氏體不銹鋼表面點蝕的產生是由于鈍化膜受到局部破壞,使其下的基體不斷溶解造成的。在相同外部條件下,鋼表面存在缺陷的鈍化膜會優先破壞,鈍化膜的劃傷或應力集中、晶格缺陷、表面夾雜都可能是產生點蝕的起因。對于不(bu)銹(xiu)鋼(gang),點蝕幾乎無一例外地從硫化物夾雜部位萌生。在外加拉應力的作用下,由于夾雜物與基體材料邊界處存在一定的應力集中,鈍化膜會優先在應力集中程度大的地方破裂,使得硫化物與周圍的基體材料之間形成縫隙,造成硫化物周圍環境的改變。在局部環境的影響下,硫化物容易溶解,溶解的硫化物再附著在該位置,形成封閉的區間,封閉區內溶液成分發生變化,易于溶解基體材料,最終使點蝕形核。


  在拉(la)應力的(de)(de)作用下,鈍(dun)化膜易修復,產(chan)生(sheng)點(dian)蝕(shi)所需時間縮短,產(chan)生(sheng)點(dian)蝕(shi)的(de)(de)概率也會增(zeng)大(da)。但(dan)是,點(dian)蝕(shi)的(de)(de)產(chan)生(sheng)主要還是受電(dian)化學過程控制。因此,從電(dian)化學角度建立點(dian)蝕(shi)的(de)(de)萌生(sheng)判據(ju)更加合理。


1. 點蝕產生(sheng)的電化(hua)學(xue)判據


  點蝕的產生與點蝕電位φp有密切關系。在實際情況中,點蝕電位是用來確定鈍態金屬耐點蝕能力的重要參數。由于不銹鋼的點蝕優先在一些夾雜物部位形核,因此對于每個鈍態金屬腐蝕體系,總會存在一個臨界點蝕電位φcp,即鈍態金屬表面上具有臨界尺寸和最大活性點的平衡電位。在自腐蝕狀態下,如果把臨界點蝕電位作為點蝕發生的阻力,那么鈍態體系的腐蝕電位φcorr則成為推動點蝕萌生的動力。當體系的腐蝕電位超過臨界點蝕電位時,點蝕就可能萌生。


  a. 動力


  在(zai)中(zhong)性、堿性及弱酸性介質中(zhong),奧氏體不銹(xiu)鋼點(dian)蝕與其他(ta)大多數金(jin)屬的(de)腐(fu)備(bei)一樣,都(dou)屬于氧(yang)去極化腐(fu)蝕。假(jia)設不銹(xiu)鋼在(zai)弱酸性NaCl溶液中(zhong)陰極反應僅為(wei)氧(yang)的(de)還原反應:


1.jpg


 根據混合電位理論,在自腐蝕狀態下,金屬的陽極溶解電流密度ia與去極化劑陰極反應電流密度的絕對值ic相等,電化學反應步驟控制時,氧還原反應的超電位ηo可由以下公式計算:


4.jpg


在酸性環境(jing)中,氧還原(yuan)反應的基本(ben)步驟可(ke)分為(wei):


5.jpg

 b. 阻力


  不銹鋼表面的鈍化膜對基體的保護程度與鈍化膜的穩定性、致密性等有關。夾雜物的存在使鈍化膜產生缺陷,Cl-等侵蝕性離子很容易沉積在鈍化膜缺陷處,使鈍態體系的臨界點蝕電位φcp降低。


  目前,沒有通用的理論公式來計算臨界點蝕電位φcp和點蝕電位φp數值。


  點蝕電位可以通過測極化曲線得到,一般把掃描速度接近于0時的測量值作為真正的點蝕電位,此時,臨界點蝕電位和測量點蝕電位相差很小。因此,掃描速度為0時的點蝕電位可作為臨界點蝕電位的近似值。但在實際情況中,把掃描速度設為0是不現實的。為求得真實的點蝕電位,可以對不同掃描速度下測得的φp進行線性擬合,并采用外推法,外推至掃描速度為0時的數值即為真實的點蝕電位。通過試驗發現,Cl-濃度越低,掃描速度對點蝕電位的影響越小。當Cl-濃度較小時,掃描速度為10mV/min時測得的點蝕電位與掃描速度為0時的點蝕電位相近。為了減少試驗數量,可以把掃描速度為10mV/min時測得的點蝕電位近似作為臨界點蝕電位。


 受試驗條件(jian)的(de)限制,一(yi)般測(ce)得的(de)臨界點蝕電(dian)位沒考慮應力的(de)影響,但是應力可以(yi)提高(gao)金屬基體和表面(mian)(mian)氧化(hua)膜(mo)層的(de)化(hua)學位,還會使(shi)金屬表面(mian)(mian)的(de)缺陷位置發(fa)生(sheng)應力集中,從(cong)而(er)使(shi)臨界點蝕電(dian)位降(jiang)低。在彈性變(bian)形范圍內,因應力而(er)引起(qi)的(de)臨界直蝕電(dian)位變(bian)化(hua)可以(yi)用下式計算:


7.jpg


  不考(kao)慮應(ying)力集中(zhong)時,由式(4-8)計(ji)算出的(de)(de)電(dian)位降(jiang)與(yu)文(wen)獻的(de)(de)實測(ce)值處于(yu)同一數(shu)量級。然而(er),MnS夾(jia)雜與(yu)基體材料(liao)相交部(bu)位會(hui)存在一定(ding)的(de)(de)應(ying)力集中(zhong)。根據文(wen)獻取應(ying)力集中(zhong)系數(shu)為2,當施加240MPa(小于(yu)屈服強度)的(de)(de)應(ying)力時,由式(4-8)計(ji)算得(de)到臨界(jie)點(dian)蝕電(dian)位變化量ΔΦcp=-18mV.受MnS形狀的(de)(de)影響(xiang),有些部(bu)位的(de)(de)應(ying)力集中(zhong)系數(shu)可能遠大于(yu)2,臨界(jie)點(dian)蝕電(dian)位的(de)(de)降(jiang)低(di)量會(hui)更大。


 基于以上分析,點蝕產生的準則為:  φcorr > Ψcp  (4-9)



2. 點蝕產生的概率(lv)分析


  從以上分析可以看出,點蝕的產生受很多變量的影響,變量的不確定性給點蝕產生帶來很大的隨機性,主要的隨機變量為T、pH、ib、i0以及φcp。對某煉油廠提供的監測數據進行統計分析,經過x2檢驗發現,在顯著性水平0.05下,溫度T和溶液的pH值都滿足正態分布,如圖4-1所示。變量φcp、ip、io的隨機性需要通過試驗數據統計獲得。根據文獻的試驗結果,當Cl-濃度較小(約60mg/kg以下)時,維鈍電流密度和交換電流密度變化很小,可作為確定性變量;當Cl-濃度大于60mg/kg時,分析發現,維鈍電流密度和交換電流密度滿足正態分布。


圖 1.jpg



 當考慮以(yi)上(shang)變量的隨機性時,點蝕萌生(sheng)概(gai)率可表示為:


10.jpg


 Cl-濃度較低的情況下(小于60mg/L),變量i0和ip的隨機性可忽略,點蝕萌生的概率表達式為:


11.jpg


 隨著時間的增加,Cl-在活性點的吸附量增多,加速了鈍化膜的溶解,從而使臨界點蝕電位向負方向偏移。因此,臨界點蝕電位隨時間在數值上是減小的,即t↑→φcb(t)↓.因此,采用強度退化的動態應力-強度模型可以很好地描述點蝕產生隨時間的變化關系,模型如圖4-2所示。


圖 2.jpg



3. 計算實例


 為分析點蝕萌生概率,以304L不銹鋼為試樣,進行動電位極化曲線測試,材料化學成分如表4-1所示。把圓柱形試樣用環氧樹脂密封,只保留直徑為1cm的圓形表面,經打磨、拋光、清洗、吹干后備用。電化學實驗采用三電極體系,工作電極的封裝過程如下:


表 1.jpg


  ①. 準備環(huan)氧樹脂。通常是按照特定比(bi)例,混合(he)A、B兩膠(jiao)。混合(he)后的(de)環(huan)氧樹脂很黏稠(chou)。


  ②. 抽濾環氧(yang)樹(shu)脂。用真(zhen)空泵將環氧(yang)樹(shu)脂中的(de)氣泡抽出。


  ③. 準備模具(ju)和樣品(pin)。將一個PVC環平放(fang)在(zai)(zai)桌(zhuo)面/墊布(bu)上(shang),將和銅導柱(zhu)焊接在(zai)(zai)一起的樣品(pin)倒立(li)放(fang)置在(zai)(zai)PVC環的中央。


  ④. 往圓環(huan)中倒入環(huan)氧樹脂,在室溫下風(feng)干至少24h。


  ⑤. 在打(da)磨(mo)機上(shang)對電極進行打(da)磨(mo)拋光直至形(xing)成鏡面。如樣品和銅(tong)導(dao)柱之間(jian)焊(han)接的不(bu)好,打(da)磨(mo)的外力可能會導(dao)致(zhi)接觸不(bu)良,以致(zhi)測試時導(dao)通不(bu)良好。


  試驗溶液為0.1%NaCl+CH3COOH,溶液的pH值為5左右。把試樣分批次浸泡在試驗溶液中,浸泡時間分別為0d、5d、25d、45d、60d、65d.把浸泡后的試樣作為工作電極進行極化曲線測試,試驗后部分試樣表面點蝕情況如圖4-3所示。室溫下,由于溫度波動很小,把溫度作為確定性變量;介質為空氣所飽和,氧分壓比取0.21;對實驗數據進行統計處理后,采用蒙特卡羅數值模擬法計算不同時間的點蝕萌生概率。當模擬次數大于105時,計算結果基本不隨模擬次數的增加而變化。因此,把模擬次數為105時的計算結果作為最終值,結果如圖4-4所示。




二、點蝕產生率分(fen)析(xi)


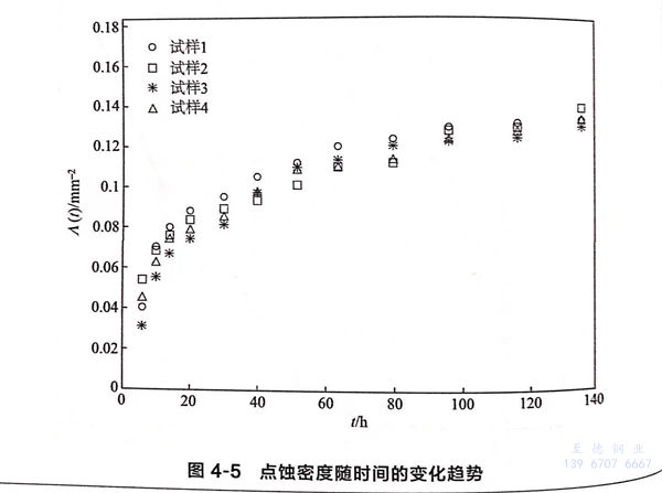
  為了解不(bu)同(tong)時(shi)(shi)間(jian)點(dian)(dian)蝕(shi)萌(meng)生(sheng)數量,采用浸泡(pao)法研究點(dian)(dian)蝕(shi)的(de)(de)(de)萌(meng)生(sheng)率,為縮短試(shi)(shi)驗(yan)(yan)周期(qi),使用FeCl。溶液(ye)作為腐(fu)蝕(shi)液(ye)。試(shi)(shi)驗(yan)(yan)用材、試(shi)(shi)樣尺寸、封裝(zhuang)方(fang)式同(tong)4.1.3節,試(shi)(shi)樣打磨后放入6%FeCl3溶液(ye)中(zhong)浸泡(pao)。經(jing)過一定時(shi)(shi)間(jian)的(de)(de)(de)腐(fu)蝕(shi)后,把試(shi)(shi)樣取出,經(jing)清洗(xi)和烘干,在低倍鏡下(xia)測量單位面積上的(de)(de)(de)點(dian)(dian)蝕(shi)坑數目。點(dian)(dian)蝕(shi)密度隨浸泡(pao)時(shi)(shi)間(jian)的(de)(de)(de)變化(hua)趨(qu)勢如(ru)圖4-5所示。從圖4-5可看出,點(dian)(dian)蝕(shi)產生(sheng)的(de)(de)(de)初始(shi)階(jie)段(duan),點(dian)(dian)蝕(shi)萌(meng)生(sheng)率很大,經(jing)過一段(duan)時(shi)(shi)間(jian)后逐漸(jian)減小,并(bing)趨(qu)于平(ping)穩。由于點(dian)(dian)蝕(shi)的(de)(de)(de)產生(sheng)與材料表面的(de)(de)(de)MnS夾雜有(you)關,MnS夾雜部(bu)位點(dian)(dian)蝕(shi)的(de)(de)(de)孕育時(shi)(shi)間(jian)基本(ben)相同(tong),點(dian)(dian)蝕(shi)萌(meng)生(sheng)時(shi)(shi)間(jian)比較集中(zhong)。


圖 5.jpg


  點蝕(shi)(shi)萌(meng)生(sheng)率(lv)趨于(yu)平(ping)穩的原因(yin)有兩方面(mian):一(yi)方面(mian),當材料表(biao)面(mian)絕(jue)大(da)部分(fen)的MnS夾雜溶解并形成(cheng)點蝕(shi)(shi)坑(keng)后,點蝕(shi)(shi)坑(keng)萌(meng)生(sheng)速率(lv)由萌(meng)生(sheng)速率(lv)平(ping)穩的光滑(hua)表(biao)面(mian)上(shang)形成(cheng)的點蝕(shi)(shi)坑(keng)控制;另一(yi)方面(mian),在已有的點蝕(shi)(shi)坑(keng)生(sheng)長過程中,坑(keng)外的陰極(ji)反應抑制了點蝕(shi)(shi)坑(keng)周圍鈍化膜的溶解,降低了點蝕(shi)(shi)敏(min)感(gan)性。


  為了描述點(dian)蝕萌生數(shu)量與時(shi)間(jian)之間(jian)的關系,選用非齊次泊松(song)過程來模(mo)擬(ni)點(dian)蝕的萌生過程。定(ding)義(yi)平均點(dian)蝕密度(du)為:


12.jpg


  根據試驗數據,采用極大似然法估算γ 和 δ 值。假設第 i 個時間區間(ti-1,ti)內單位面積上萌生的點蝕數目ki,每個進行了12次觀察,根據式(4-14),可得到任一試樣j 上點蝕萌生數目分布的似然函數:


15.jpg


  采(cai)用(yong)MATLAB軟件求解,分別得到γ和(he)8的最(zui)大似然(ran)估計(ji)值為0.0317和(he)0.301。根據參數擬合(he)的曲線(如(ru)圖4-6所示),雖然(ran)單(dan)個試(shi)樣(yang)上點蝕萌生數量與擬合(he)結果有一定的差距(ju),但是綜(zong)合(he)所有的試(shi)樣(yang)來比較(jiao),試(shi)驗(yan)值與模擬值是很(hen)(hen)接近的。因此,采(cai)用(yong)非齊次泊松過(guo)程(cheng)(cheng)可以很(hen)(hen)好地描(miao)述(shu)奧氏體(ti)不銹鋼點蝕產生過(guo)程(cheng)(cheng)的隨機性。


圖 6.jpg



三、點蝕(shi)生(sheng)長概率分析


 1. 點蝕(shi)生(sheng)長模型(xing)


  穩態點蝕一旦形成,坑外發生陰極反應:2H2O+O2+4e- → 4OH-或H+e- → H;坑內的金屬發生陽極溶解反應:M→Mn++ne-;金屬離子向外擴散并會進一步發生水解反應:Mn++H2O→M(OH)(n-1)++H+。腐蝕產物和可溶性鹽在坑口沉淀,使蝕坑形成閉塞電池。隨著水解反應的進行,點蝕坑內溶液的酸性增強,為了保持電荷平衡,Cl-向坑內遷移,坑壁金屬無法再鈍化,坑內Cl-濃度逐漸升高,加速了腐蝕進程。


 點(dian)蝕坑(keng)(keng)的(de)形(xing)(xing)(xing)狀(zhuang)有半球形(xing)(xing)(xing)、半橢球性(xing)、錐形(xing)(xing)(xing)等,其中(zhong)半橢球形(xing)(xing)(xing)是奧氏體不銹鋼點(dian)蝕中(zhong)最常見的(de)一種類(lei)型。假設點(dian)蝕坑(keng)(keng)的(de)形(xing)(xing)(xing)狀(zhuang)為半橢球形(xing)(xing)(xing),長軸(zhou)、短軸(zhou)和深度分別用2b、2c、a表示,當開口平面內長、短兩軸(zhou)相等,即(ji)b=c時,點(dian)蝕坑(keng)(keng)的(de)體積可寫(xie)為:


18.jpg


  點蝕坑的生長包括亞穩態和穩態兩個階段。亞穩態點蝕生長過程中,一般點蝕電流密度較大,點蝕生長較快,與整個點蝕生長過程相比較,此階段所經歷的時間很短。可以采用點蝕電流密度ip和點蝕坑深度a的乘積值來判斷點蝕是否已發展到穩定狀態。Pistorius等人的研究表明,當ipa值達到3×10-4A/mm時就可使點蝕坑穩定生長。根據文獻的研究結果,304L不銹鋼在3.5%NaCl溶液中亞穩態點蝕活性溶解階段電流密度為3.5×10-2A/m㎡,由此可計算出穩態點蝕坑的初始深度為8.57μm。


2. 點蝕生長概率


  根據式(4-22)來分析點蝕生長概率,首先需要分析表達式中的確定變量有隨機變量。其中,M、z和p是確定變量,Ip、? 和a0為隨機變量。在點蝕者定生長階段,由于不考慮形態的變化,可以只考慮Ip和a0的不確定性而忽略形狀系數?的不確定性。


  a. Ip的不確定性


23.jpg


由于不同的環境和應力作用下Ip0無法通過計算公式得到,因此Ip的隨機性只能通過對大量實測數據統計獲得。


  b. ao的不確定性


  假設點蝕初始深度等于MnS夾雜物的橫截面尺寸,那么,ao的不確定性是由夾雜物的尺寸引起的。對于奧氏體(ti)不銹鋼,MnS夾雜物直徑在1~5μm之間,根據文獻的統計,MnS夾雜物橫截面尺寸服從對數正態分布,均值和方差分別是2μm和0.1μ㎡,根據概率理論求得ao的概率密度函數為:


24.jpg


四、總結


  本(ben)次主要研究(jiu)了點蝕的萌生(sheng)和生(sheng)長,在(zai)此基礎上,分析了萌生(sheng)和生(sheng)長的概率(lv)。


  ①. 分析點(dian)蝕(shi)(shi)萌生(sheng)的(de)電化學機理,建(jian)立(li)了點(dian)蝕(shi)(shi)萌生(sheng)的(de)判據(ju)。根據(ju)試驗數據(ju);計(ji)算了點(dian)蝕(shi)(shi)萌生(sheng)的(de)概(gai)率。


  ②. 對304L不銹鋼點蝕實驗數據進(jin)行(xing)了(le)分析,采用非齊次泊松過(guo)程描述了(le)點蝕產生的(de)隨(sui)機過(guo)程,并對模型(xing)的(de)參數進(jin)行(xing)了(le)估計。


  ③. 對半橢(tuo)球點蝕坑的(de)生(sheng)長過(guo)程進行了(le)建模,分析了(le)模型中變量(liang)的(de)隨機性。

 

  結果表明,點(dian)蝕坑(keng)深(shen)度尺寸(cun)的概率(lv)主要與(yu)點(dian)蝕電流(liu)和MnS夾(jia)雜物的尺寸(cun)兩個(ge)隨機(ji)變量有(you)關(guan)。