應(ying)力(li)(li)腐(fu)蝕開裂是一種常見的(de)且危害(hai)嚴重的(de)失效模式,由于其影(ying)響因(yin)素(su)眾多,包括(kuo)溫度、離(li)子濃度、pH值、應(ying)力(li)(li)、流場(chang)、壓力(li)(li)、機械結構等;這些(xie)因(yin)素(su)中哪些(xie)是主要因(yin)素(su),哪些(xie)是次要因(yin)素(su),哪些(xie)影(ying)響大(da),哪些(xie)影(ying)響小,這些(xie)都是需要弄清楚(chu)的(de)問題。因(yin)此,如(ru)何確定香蕉視頻app破解碼:應力腐蝕的(de)主要影(ying)響因(yin)素是(shi)研究應力腐蝕的(de)關鍵問題之一,科(ke)學(xue)合理地分析各種因(yin)素的(de)顯著(zhu)性對(dui)應力腐蝕的(de)研究具(ju)有(you)重要意(yi)義。浙(zhe)江(jiang)至德鋼業有(you)限公司(si)本次(ci)選用(yong)灰色關聯分析理論,對(dui)香蕉視頻app破解碼:不銹鋼應力腐蝕的各環(huan)境因(yin)素進(jin)行(xing)關(guan)聯度計(ji)算(suan)。根(gen)據計(ji)算(suan)結果,分析各因(yin)素對應力腐蝕敏(min)感性的影(ying)響,為掌(zhang)握香蕉視頻app破解碼:不銹鋼應(ying)力腐蝕(shi)發生規律及進行預防等提供依據。



一、灰色關聯分析


  灰(hui)色系(xi)統理論是(shi)由我國著名學者(zhe)鄧聚(ju)龍教授創造(zao)的(de)一種系(xi)統科學理論,其中的(de)灰(hui)色關(guan)聯分析是(shi)根據各(ge)因(yin)素(su)變化曲線(xian)幾(ji)何形狀的(de)相似程度,來(lai)判斷因(yin)素(su)之(zhi)間關(guan)聯程度的(de)方(fang)法(fa)。此方(fang)法(fa)通過對動態過程發(fa)展態勢的(de)量化分析,完成對系(xi)統內時(shi)間序列(lie)有關(guan)統計(ji)數(shu)(shu)(shu)據幾(ji)何關(guan)系(xi)的(de)比(bi)較,求出參考數(shu)(shu)(shu)列(lie)與(yu)各(ge)比(bi)較數(shu)(shu)(shu)列(lie)之(zhi)間的(de)灰(hui)色關(guan)聯度。與(yu)參考數(shu)(shu)(shu)列(lie)關(guan)聯度越(yue)(yue)大的(de)比(bi)較數(shu)(shu)(shu)列(lie),其發(fa)展方(fang)向和速率與(yu)參考數(shu)(shu)(shu)列(lie)越(yue)(yue)接近(jin),與(yu)參考數(shu)(shu)(shu)列(lie)的(de)關(guan)系(xi)越(yue)(yue)緊密。


灰色關聯分析(xi)的(de)具體(ti)計算步驟如下:


 1. 確定參考(kao)數據序列與比較數據序列


1.jpg


 2. 參考數(shu)列和(he)比較數(shu)列進行無量(liang)綱(gang)化處(chu)理


 由于(yu)各個評價(jia)指標(biao)的(de)單位、量(liang)(liang)綱不同,為消(xiao)除它們對決策結果的(de)影響,必(bi)須對數(shu)(shu)(shu)(shu)據(ju)(ju)進行無量(liang)(liang)綱化轉化。無量(liang)(liang)綱化轉化的(de)方法(fa)主要有(you):求(qiu)初(chu)值(zhi)(zhi)像、求(qiu)均(jun)值(zhi)(zhi)像和求(qiu)區間(jian)值(zhi)(zhi)像,進行灰色(se)關聯分析時(shi)選用一種(zhong)方法(fa)進行計算。初(chu)值(zhi)(zhi)像是各數(shu)(shu)(shu)(shu)據(ju)(ju)序(xu)列(lie)中的(de)每一個數(shu)(shu)(shu)(shu)據(ju)(ju)與該數(shu)(shu)(shu)(shu)據(ju)(ju)序(xu)列(lie)第一個數(shu)(shu)(shu)(shu)據(ju)(ju)的(de)比值(zhi)(zhi):


3.jpg


 3. 計(ji)算(suan)參考序(xu)列和(he)比(bi)較序(xu)列的絕對差


4.jpg


6. 求灰色(se)關聯度


  關(guan)聯(lian)度(du)代(dai)表了系統特征與各因素之(zhi)間的(de)關(guan)聯(lian)程度(du),其數值越大,說明(ming)兩者的(de)密切程度(du)越高。關(guan)聯(lian)度(du)可根據各關(guan)聯(lian)系數獲得,計算(suan)公式為(wei):


8.jpg


二、應(ying)力腐蝕影響(xiang)因素顯著性分析


分析案例 1


  本案例分析是根據文獻的試驗數據進行應力腐蝕影響因素顯著性分析。試驗選用壓力容器常用材料316不(bu)銹鋼(gang),采用慢應變速率拉伸試驗方法。試驗考慮濕硫化氫環境中硫化氫和氯離子濃度、溫度、pH值對應力腐蝕敏感性的影響,試驗介質中各因素的參數值如表3-1所示。


表 1.jpg


試驗應以應力腐蝕敏感指數 F(A)、 F(δ) F(t)、作為評價指標,不同介質參數下應力腐蝕試驗數據如表 3-2 所示。



1. 以F(A)作為參考序列


  首先以應力腐蝕敏感性指數F(A)作為參考序列,即表3-3中的X01 數列和應力腐蝕影響因素進行關聯度分析。分析過程如下:


  a. 確定參考數(shu)據序列(lie)與比較數(shu)據序列(lie)


  以應力腐蝕敏感性指數F(A)數據(ju)序(xu)列為(wei)參(can)考序(xu)列,4個影響因素參(can)數列為(wei)比(bi)較序(xu)列。


  X0 = (21.355,50.55,17.54,38.865,5.725,37.37)(式 3-11)


 b. 求各序列(lie)數(shu)據的(de)初值像


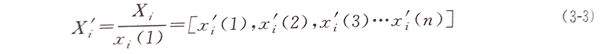
 應力腐蝕敏感性是奧氏體不銹鋼316的灰色系統特征,也是我們關心的首要問題,其他數據序列是與敏感性指數相關的,需要找出主序列與輔序列數據之間的關聯程度。由于各組數據之間單位同,為了表示在一個圖上,需要進行無量綱化處理,可以求初值像、均值像和區間值像,進行灰色關聯分析時選用一種進行計算,本章分析案例中選用了初值像。初值像X;是各數據序列中的每一個數據與該數據序列第一個數據的比值,用初值化法對原始數據進行無量綱化處理得表3-4。



 c. 求差序(xu)列(lie)


  根(gen)據(ju)式(3-4),計算參考序(xu)列和比(bi)較序(xu)列的絕(jue)對(dui)差Δ;(k),計算結(jie)果見表3-5.



 d. 求兩(liang)極(ji)差


  根據式(3-5)、式(3-6)求得兩極差分別(bie)為99.2501和0。


 e. 計算關(guan)聯系數


  取分(fen)辨系數(shu)為0.5,將兩(liang)極差數(shu)值代入式(3-7),計算關聯系數(shu)如下:



將表 3-5 中的(de)數據代入式(3-12),分別求出關(guan)聯系(xi)數,計算結果(guo)見表 3-6。



 f. 求灰色(se)關聯(lian)度(du)


  根據式(shi)(3-8),計算灰(hui)色關聯度,計算結果為(wei):


0.1.jpg


2. 以(yi)F(δ)作為參考序列


  以應力腐蝕敏感性指數F(δ)作為參考序列,即表3-3中的X02數列,和應力腐蝕影響因素進行關聯度分析。分析過程如下:


a. 求各序列數據的初值像


  根據(ju)式(3-3),可(ke)得各序列(lie)數(shu)據(ju)的初值像,結果如表3-7所示。


表 7.jpg


 b. 求差(cha)序列


  根據式(3-4),計算參考序列和比較序列的絕對差Δi(k),計算結果見表3-8。


表 8.jpg


  c. 求兩極差


  根據式(3-5)、式(3-6)求得兩極差(cha)分(fen)別為98.6685和(he)0。


 d. 計算關聯系數


   取分辨系(xi)數(shu)ξ為0.5,將兩極差數(shu)值代入(ru)式(3-7),計算關聯系(xi)數(shu)如(ru)下:


13.jpg


 將表(biao)3-8中的(de)數(shu)據代入式(3-13),分別求出關聯系數(shu),計算結果見表(biao)3-9。


表 9.jpg


 e. 求灰色關聯度


  根據式(3-8),計算灰色關聯度,計算結果為:


0.2.jpg

 y4>y3>y2>y1,說明X4與X0的關聯度最大,也就是說溫度與應力牌蝕敏感性的關系最為密切,該結果與上節分析結果相同。


3. 以(yi)F(t)作為參考序列


 以應力腐蝕敏感性指數F(t)作為參考序列,即表3-3中的X03數列,和應力腐蝕影響因素進行關聯度分析。分析過程如下。


 a. 求各序(xu)列(lie)數據(ju)的初值像


  根(gen)據(ju)式(3-3),可得各序列(lie)數據(ju)的初(chu)值像,結果如表3-10所(suo)示。


表 10.jpg


 b. 求差(cha)序列


  根據式(3-4),計算參考序(xu)列和比較序(xu)列的絕對差Δ;(k),計算結果見表3-11。


表 11.jpg


 c. 求兩極差


  根據式(shi)(3-5)、式(shi)(3-6)求得兩極差(cha)分別為(wei)98.663和(he)0。


 d. 計(ji)算(suan)關聯系(xi)數(shu)


   取分(fen)辨系(xi)數(shu)(shu)(shu)為0.5,將(jiang)兩極(ji)差數(shu)(shu)(shu)值(zhi)代人式(3-7),計算關(guan)聯系(xi)數(shu)(shu)(shu)如(ru)下:


14.jpg



   將表3-8中的數據代人式(3-14),分別求出關聯系數,計(ji)算結果見(jian)表3-12。


表 12.jpg


 e. 求灰色(se)關聯度(du)


  根(gen)據式(shi)(3-8),計(ji)算灰(hui)色(se)關聯(lian)度,計(ji)算結果為:

0.3.jpg


  以上分析表明:奧氏體316L不銹鋼(gang)的應力腐蝕中,pH值和溫度為主要影響因素,Cl-濃度次之,最后是H2S濃度。金屬與介質的化學反應速度、物質的輸送過程等均受溫度影響極大,因此溫度對應力腐蝕影響較大。影響因素中pH值影響比較大,是因為pH值的變化使應力腐蝕敏感性波動較大:弱酸弱堿性時,材料塑性損失較大,敏感性大;中性時,敏感性小;強酸性時,應力腐蝕被全面腐蝕代替。氯離子是奧氏體不銹鋼發生應力腐蝕的決定性要素,但是其濃度的影響并不占主導地位。在氯離子和H2S共存的環境中,H2S與材料金屬反應生成的氫原子導致材料脆化,對應力腐蝕起到了加速作用。


分(fen)析案例 2


 溫度對奧氏體不銹鋼應力腐蝕有重要的影響,應力腐蝕的敏感性隨溫度升高而升高。近幾年的研究表明,不銹鋼應力腐蝕存在一個敏感溫度。Y.Y.Chen等采用耶茨算法研究了含氯和硫化氫環境中,溫度、氯離子濃度和pH值對321不銹鋼應力腐蝕敏感性的影響,結果表明,溫度的影響最重要。案例1的分析結表明:溫度與應力腐蝕的敏感性,這與前人的研究結論是一致的。本節在第2章試驗研究的基礎上,研究溫度和操作壓力對S32168不銹鋼應力腐蝕影響的顯著性。由于本次試驗獲得的數據較少,選擇合適的數據分析方法至關重要。樣本的大小不影響灰色關聯理論的使用,因此,作者采用灰色關聯理論來分析影響因素與應力腐蝕敏感性之間的關系。


 1. 確(que)定參考數(shu)據序列(lie)與(yu)比較數(shu)據序列(lie)


  根據第2章的試驗結果,采用斷面收縮率來評價應力腐蝕敏感性,不同溫度和介質壓力下得到的應力腐蝕敏感性指數F(Z)見表2-3。首先,確定反映系統行為特征的參考數列和影響系統行為的比較數列。把F(Z)的數據作為參考序列X0


表 13.jpg


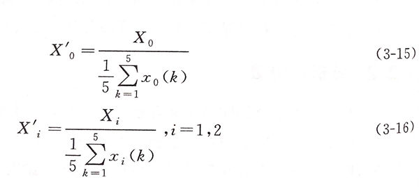
 2. 參(can)考數(shu)列和比較(jiao)數(shu)列進行無量(liang)綱化(hua)處理


  由于各個評(ping)價(jia)指標(biao)的(de)單位不(bu)同,為消除它們對決策(ce)結果的(de)影響,本案例采用求均值像的(de)方法對數據(ju)進行無量綱(gang)化處理,即求各數據(ju)序列中的(de)每一個數據(ju)與數據(ju)序列平(ping)均數的(de)比值:


15.jpg


 計算結果見表3-14。


表 14.jpg


  圖3-1為(wei)各數列(lie)均值像的柱狀圖,可以看(kan)出溫度與應力腐蝕敏感(gan)性(xing)的變化趨(qu)相似度較高。


圖 1.jpg


 3. 求差序(xu)列


  根據式(shi)(3-4),計算(suan)參考序(xu)(xu)列(lie)和比(bi)較序(xu)(xu)列(lie)的絕對差Δ;(k),計算(suan)結果見表3-15。


表 15.jpg


 4. 求兩極差


  根據式(3-5)、式(3-6)求(qiu)得兩(liang)極差分別為1.1889和0.0763。


5. 計(ji)算關聯系(xi)數


 取分(fen)辨系(xi)數(shu)ξ為0.5,將(jiang)兩極差(cha)數(shu)值代入式(3-7),計算關(guan)聯系(xi)數(shu)如(ru)下:


17.jpg


將表3-15中的數(shu)據代入式(3-17),分別求出關聯系數(shu),計(ji)算結果見(jian)表3-16。


表 16.jpg


6. 求灰(hui)色關聯度


 根據式(3-8),計算灰色關聯度,計算結果為(wei):Y1=0.833; Y2=0.663


 說明X1與X0的關聯度最大,也就是說溫度對應力腐蝕敏感性的影響更加顯著,該結果與上節分析結果相同。



三、總(zong)結


  ①. 采用灰色關聯理論(lun)時,因為(wei)評價數據(ju)(ju)序(xu)(xu)列都是和參考數據(ju)(ju)序(xu)(xu)列比(bi)較(jiao),所以,評價數據(ju)(ju)序(xu)(xu)列數量不影(ying)響(xiang)評價結論(lun),因此,關聯度可作為(wei)分析應力腐蝕影(ying)響(xiang)因素的一個重要理論(lun)依據(ju)(ju)。


  ②. 案例1中:在(zai)對(dui)各影響(xiang)因素與應力(li)腐蝕敏感性的(de)關聯分析中,溫度關聯度接近(jin)1,說明應力(li)腐蝕敏感性與溫度密切相關,其次是pH值和氯(lv)離子(zi)濃度的(de)影響(xiang)。H2S濃度對(dui)應力(li)腐蝕的(de)貢獻位于各因素之末。


  ③. 案例2中:從分析結果來看,介(jie)質壓力(li)和溫度(du)與應(ying)力(li)腐蝕敏感性(xing)的(de)(de)關聯(lian)程(cheng)度(du)都(dou)較高,但溫度(du)對應(ying)力(li)腐蝕敏感性(xing)的(de)(de)影(ying)響比(bi)介(jie)質壓力(li)的(de)(de)影(ying)響更加顯著(zhu)。


  ④. 由于(yu)應力(li)腐蝕(shi)的(de)機(ji)理(li)復雜、影響因素眾(zhong)多,相同的(de)因素在不同環境下(xia)所占據(ju)的(de)主次位置是不同的(de),所以本書的(de)分析結果(guo)并不代表所有應力(li)腐蝕(shi)介質環境情況(kuang)。但是,可為應力(li)腐蝕(shi)斷裂預防和應力(li)腐蝕(shi)機(ji)理(li)的(de)研究提(ti)供科學的(de)參考(kao)依據(ju)。