目前,研究不銹鋼應力腐蝕概率的模型有兩類,隨機變量模型和隨機過程模型。


1. 隨機變(bian)量模(mo)型


  該模(mo)型是(shi)在(zai)確(que)(que)定(ding)論基礎上(shang)發展(zhan)起來的(de)(de)(de)。首先確(que)(que)定(ding)系(xi)統退化特(te)(te)征值,然后再(zai)建立特(te)(te)征值與相關(guan)(guan)變(bian)(bian)(bian)(bian)(bian)(bian)量(liang)(liang)(liang)的(de)(de)(de)關(guan)(guan)系(xi)式,再(zai)將(jiang)(jiang)公式中的(de)(de)(de)變(bian)(bian)(bian)(bian)(bian)(bian)量(liang)(liang)(liang)看成隨(sui)(sui)(sui)機(ji)(ji)變(bian)(bian)(bian)(bian)(bian)(bian)量(liang)(liang)(liang),最后通過相應(ying)的(de)(de)(de)計算方(fang)法得出結果。隨(sui)(sui)(sui)機(ji)(ji)變(bian)(bian)(bian)(bian)(bian)(bian)量(liang)(liang)(liang)是(shi)影響(xiang)特(te)(te)征值的(de)(de)(de)一(yi)些重要物理量(liang)(liang)(liang),可以(yi)是(shi)自(zi)變(bian)(bian)(bian)(bian)(bian)(bian)量(liang)(liang)(liang),也可以(yi)是(shi)因(yin)變(bian)(bian)(bian)(bian)(bian)(bian)量(liang)(liang)(liang),還可以(yi)是(shi)無關(guan)(guan)變(bian)(bian)(bian)(bian)(bian)(bian)量(liang)(liang)(liang)。隨(sui)(sui)(sui)機(ji)(ji)變(bian)(bian)(bian)(bian)(bian)(bian)量(liang)(liang)(liang)可分(fen)(fen)(fen)為離散(san)型隨(sui)(sui)(sui)機(ji)(ji)變(bian)(bian)(bian)(bian)(bian)(bian)量(liang)(liang)(liang)和連(lian)續(xu)(xu)型隨(sui)(sui)(sui)機(ji)(ji)變(bian)(bian)(bian)(bian)(bian)(bian)量(liang)(liang)(liang),離散(san)型隨(sui)(sui)(sui)機(ji)(ji)變(bian)(bian)(bian)(bian)(bian)(bian)量(liang)(liang)(liang)具(ju)有分(fen)(fen)(fen)布(bu)(bu)(bu)律(lv),連(lian)續(xu)(xu)型隨(sui)(sui)(sui)機(ji)(ji)變(bian)(bian)(bian)(bian)(bian)(bian)量(liang)(liang)(liang)具(ju)有概(gai)率(lv)(lv)密度(du)函數(shu)(shu)(shu)f(x)以(yi)及概(gai)率(lv)(lv)分(fen)(fen)(fen)布(bu)(bu)(bu)函數(shu)(shu)(shu)F(x),分(fen)(fen)(fen)布(bu)(bu)(bu)律(lv)和分(fen)(fen)(fen)布(bu)(bu)(bu)函數(shu)(shu)(shu)可分(fen)(fen)(fen)別(bie)描述不(bu)同(tong)類(lei)(lei)型隨(sui)(sui)(sui)機(ji)(ji)變(bian)(bian)(bian)(bian)(bian)(bian)量(liang)(liang)(liang)的(de)(de)(de)概(gai)率(lv)(lv)特(te)(te)性(xing),對于(yu)研究(jiu)應(ying)力腐蝕(shi)隨(sui)(sui)(sui)機(ji)(ji)性(xing)中的(de)(de)(de)隨(sui)(sui)(sui)機(ji)(ji)變(bian)(bian)(bian)(bian)(bian)(bian)量(liang)(liang)(liang)一(yi)般都是(shi)連(lian)續(xu)(xu)型的(de)(de)(de),如材料性(xing)能、環境(jing)中離子濃度(du)、溫度(du)、載荷等。確(que)(que)定(ding)隨(sui)(sui)(sui)機(ji)(ji)變(bian)(bian)(bian)(bian)(bian)(bian)量(liang)(liang)(liang)分(fen)(fen)(fen)布(bu)(bu)(bu)類(lei)(lei)型以(yi)及參數(shu)(shu)(shu)是(shi)概(gai)率(lv)(lv)研究(jiu)的(de)(de)(de)重要內容,它(ta)們(men)將(jiang)(jiang)直(zhi)接影響(xiang)失(shi)效概(gai)率(lv)(lv)的(de)(de)(de)計算結果及其(qi)精確(que)(que)度(du)。因(yin)此,隨(sui)(sui)(sui)機(ji)(ji)變(bian)(bian)(bian)(bian)(bian)(bian)量(liang)(liang)(liang)的(de)(de)(de)概(gai)率(lv)(lv)分(fen)(fen)(fen)布(bu)(bu)(bu)特(te)(te)性(xing)研究(jiu)是(shi)一(yi)項基礎性(xing)的(de)(de)(de)研究(jiu)工作。一(yi)般由觀測數(shu)(shu)(shu)據(ju)確(que)(que)定(ding)隨(sui)(sui)(sui)機(ji)(ji)變(bian)(bian)(bian)(bian)(bian)(bian)量(liang)(liang)(liang)概(gai)率(lv)(lv)分(fen)(fen)(fen)布(bu)(bu)(bu)類(lei)(lei)型,并(bing)在(zai)此基礎上(shang)確(que)(que)定(ding)其(qi)參數(shu)(shu)(shu);當由已有的(de)(de)(de)觀測數(shu)(shu)(shu)據(ju)難(nan)以(yi)確(que)(que)定(ding)該隨(sui)(sui)(sui)機(ji)(ji)變(bian)(bian)(bian)(bian)(bian)(bian)量(liang)(liang)(liang)的(de)(de)(de)理論分(fen)(fen)(fen)布(bu)(bu)(bu)形式時,則定(ding)義(yi)一(yi)個實驗分(fen)(fen)(fen)布(bu)(bu)(bu),再(zai)進行擬合(he)檢(jian)驗,最后根據(ju)有限(xian)比較法選擇(ze)其(qi)中的(de)(de)(de)最優(you)概(gai)率(lv)(lv)分(fen)(fen)(fen)布(bu)(bu)(bu)類(lei)(lei)型作為參數(shu)(shu)(shu)的(de)(de)(de)概(gai)率(lv)(lv)分(fen)(fen)(fen)布(bu)(bu)(bu)類(lei)(lei)型。正態分(fen)(fen)(fen)布(bu)(bu)(bu)、Weibull分(fen)(fen)(fen)布(bu)(bu)(bu)、指數(shu)(shu)(shu)分(fen)(fen)(fen)布(bu)(bu)(bu)以(yi)及Poisson(泊(bo)松)分(fen)(fen)(fen)布(bu)(bu)(bu)等都是(shi)應(ying)力腐蝕(shi)概(gai)率(lv)(lv)分(fen)(fen)(fen)析中常用的(de)(de)(de)概(gai)率(lv)(lv)分(fen)(fen)(fen)布(bu)(bu)(bu)類(lei)(lei)型。


  參(can)(can)(can)(can)數估計(ji)(ji)(ji)(ji)的(de)(de)(de)方(fang)法(fa)(fa)(fa)有矩估計(ji)(ji)(ji)(ji)法(fa)(fa)(fa)、最(zui)大(da)(da)(da)(極(ji)大(da)(da)(da))似(si)(si)然法(fa)(fa)(fa)、最(zui)小二(er)乘法(fa)(fa)(fa)和貝葉斯估計(ji)(ji)(ji)(ji)法(fa)(fa)(fa),其中矩估計(ji)(ji)(ji)(ji)法(fa)(fa)(fa)、最(zui)大(da)(da)(da)(極(ji)大(da)(da)(da))似(si)(si)然法(fa)(fa)(fa)最(zui)為(wei)(wei)常用(yong)。矩估計(ji)(ji)(ji)(ji)法(fa)(fa)(fa)對(dui)任何總(zong)(zong)(zong)體(ti)(ti)都可以(yi)用(yong),不需要事先知道總(zong)(zong)(zong)體(ti)(ti)的(de)(de)(de)分(fen)布(bu)(bu),方(fang)法(fa)(fa)(fa)簡單,但是(shi)(shi),變量分(fen)布(bu)(bu)特征沒有得到(dao)有效使用(yong),一(yi)般(ban)情(qing)況下,該方(fang)法(fa)(fa)(fa)的(de)(de)(de)估計(ji)(ji)(ji)(ji)量有多個。最(zui)大(da)(da)(da)似(si)(si)然法(fa)(fa)(fa)是(shi)(shi)在總(zong)(zong)(zong)體(ti)(ti)類型已知條(tiao)件下使用(yong)的(de)(de)(de)一(yi)種(zhong)參(can)(can)(can)(can)數估計(ji)(ji)(ji)(ji)方(fang)法(fa)(fa)(fa),認為(wei)(wei)未知參(can)(can)(can)(can)數的(de)(de)(de)估計(ji)(ji)(ji)(ji)值應使樣本(ben)觀(guan)測(ce)值出(chu)現(xian)的(de)(de)(de)概率(lv)(lv)最(zui)大(da)(da)(da)。有些隨機參(can)(can)(can)(can)數總(zong)(zong)(zong)體(ti)(ti)服從(cong)什么(me)分(fen)布(bu)(bu)是(shi)(shi)未知的(de)(de)(de),我們要對(dui)總(zong)(zong)(zong)體(ti)(ti)是(shi)(shi)否(fou)服從(cong)某(mou)種(zhong)分(fen)布(bu)(bu)作檢(jian)(jian)(jian)驗(yan)(yan)(yan)(yan),這(zhe)樣的(de)(de)(de)檢(jian)(jian)(jian)驗(yan)(yan)(yan)(yan)稱為(wei)(wei)分(fen)布(bu)(bu)的(de)(de)(de)檢(jian)(jian)(jian)驗(yan)(yan)(yan)(yan)。常用(yong)的(de)(de)(de)樣本(ben)概率(lv)(lv)分(fen)布(bu)(bu)檢(jian)(jian)(jian)驗(yan)(yan)(yan)(yan)方(fang)法(fa)(fa)(fa)主要有:χ2檢(jian)(jian)(jian)驗(yan)(yan)(yan)(yan)、J-B檢(jian)(jian)(jian)驗(yan)(yan)(yan)(yan)、A-D檢(jian)(jian)(jian)驗(yan)(yan)(yan)(yan)、K-S檢(jian)(jian)(jian)驗(yan)(yan)(yan)(yan)以(yi)及正態(tai)分(fen)布(bu)(bu)的(de)(de)(de)概率(lv)(lv)紙檢(jian)(jian)(jian)驗(yan)(yan)(yan)(yan)等。χ2檢(jian)(jian)(jian)驗(yan)(yan)(yan)(yan)法(fa)(fa)(fa)可適(shi)用(yong)于離散(san)型或連續型分(fen)布(bu)(bu),是(shi)(shi)一(yi)種(zhong)應用(yong)比較廣泛的(de)(de)(de)分(fen)布(bu)(bu)檢(jian)(jian)(jian)驗(yan)(yan)(yan)(yan)法(fa)(fa)(fa)。


2. 隨機過程模型


  隨(sui)機(ji)(ji)過(guo)程(cheng)(cheng)(cheng)(cheng)按統(tong)計特(te)性(xing)可分為平穩(wen)隨(sui)機(ji)(ji)過(guo)程(cheng)(cheng)(cheng)(cheng)和(he)非平穩(wen)隨(sui)機(ji)(ji)過(guo)程(cheng)(cheng)(cheng)(cheng),按照記憶特(te)性(xing)可分為純粹隨(sui)機(ji)(ji)過(guo)程(cheng)(cheng)(cheng)(cheng)、馬(ma)爾科夫隨(sui)機(ji)(ji)過(guo)程(cheng)(cheng)(cheng)(cheng)和(he)獨立增量隨(sui)機(ji)(ji)過(guo)程(cheng)(cheng)(cheng)(cheng);按概率(lv)分布函數可分為高斯隨(sui)機(ji)(ji)過(guo)程(cheng)(cheng)(cheng)(cheng)和(he)非高斯隨(sui)機(ji)(ji)過(guo)程(cheng)(cheng)(cheng)(cheng)。平穩(wen)隨(sui)機(ji)(ji)過(guo)程(cheng)(cheng)(cheng)(cheng)是(shi)一類(lei)基本(ben)的(de)(de)、重要的(de)(de)隨(sui)機(ji)(ji)過(guo)程(cheng)(cheng)(cheng)(cheng),實(shi)際工程(cheng)(cheng)(cheng)(cheng)領域所遇到的(de)(de)很多概率(lv)問題都可以認為是(shi)平穩(wen)隨(sui)機(ji)(ji)過(guo)程(cheng)(cheng)(cheng)(cheng),平穩(wen)隨(sui)機(ji)(ji)過(guo)程(cheng)(cheng)(cheng)(cheng)的(de)(de)統(tong)計特(te)性(xing)不隨(sui)時間的(de)(de)變化(hua)而發(fa)生(sheng)變化(hua),也就是(shi)說,對于(yu)時間t的(de)(de)任(ren)意(yi)n個(ge)數值t1,t2,···,tn和(he)任(ren)意(yi)實(shi)數r,如果隨(sui)機(ji)(ji)過(guo)程(cheng)(cheng)(cheng)(cheng)X(t)的(de)(de)n維分布函數滿足如下關(guan)系式,則X(t)稱(cheng)為平穩(wen)隨(sui)機(ji)(ji)過(guo)程(cheng)(cheng)(cheng)(cheng)。


1.jpg

  在(zai)研(yan)究應(ying)力腐蝕隨機(ji)性(xing)問題(ti)中(zhong),泊松過程和馬爾(er)科夫過程是常用的兩(liang)種隨機(ji)過程:


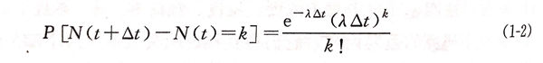
  ①. 泊松(song)過(guo)程(cheng)是(shi)一種重要(yao)的(de)獨立增量過(guo)程(cheng),是(shi)服從泊松(song)分布的(de)離(li)散隨(sui)機(ji)過(guo)程(cheng)。其應滿足兩個(ge)條件(jian)。不同時(shi)間(jian)區間(jian)內所發生(sheng)事件(jian)的(de)數目是(shi)相互獨立的(de)隨(sui)機(ji)變(bian)量;在時(shi)間(jian)區間(jian)[t,t+Δ]內,發生(sheng)事件(jian)數目的(de)概率分布為:


2.jpg

  式中,λ為(wei)強(qiang)度因(yin)子(zi),表示單位(wei)時間內事件(jian)發生的平均數。


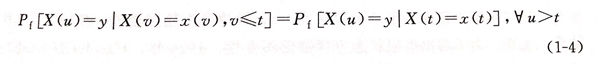
  齊(qi)次(ci)泊松(song)(song)過程(homogenous Poison process,HPP)屬(shu)于平穩增(zeng)量過程,因(yin)(yin)此,λ為一正(zheng)常數(shu),且均值(zhi)E[X(t)]=λt.平穩增(zeng)量過程有時并不(bu)適合描述腐(fu)蝕的實際(ji)情況,因(yin)(yin)此引(yin)入(ru)了(le)非齊(qi)次(ci)泊松(song)(song)過程(non-homogenous Poisson process,NHPP).在(zai)非齊(qi)次(ci)泊松(song)(song)過程中(zhong),強度(du)(du)因(yin)(yin)子成為一個與事件有關的強度(du)(du)函數(shu)λ(t), 代表了(le)不(bu)同起(qi)始時間段事件發生的數(shu)目(mu)。事件在(zai)Δ時間內發生k次(ci)的概率為:


3.jpg


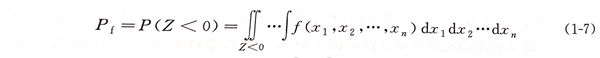
 ②. 馬爾科夫過程(cheng)是(shi)一種應用極為(wei)廣泛的(de)(de)隨機過程(cheng),常(chang)用來研究材料的(de)(de)退化過程(cheng)。該過程(cheng)具有如下特性,在已知目前(qian)狀(zhuang)態(tai)X(t)條件下,它未來的(de)(de)狀(zhuang)態(tai)X(u)(u>t)不依(yi)賴于以往的(de)(de)狀(zhuang)態(tai)X(v)(v<t),只取決于當前(qian)狀(zhuang)態(tai),即:


4.jpg

  在隨機過(guo)程研究中,通常把狀(zhuang)態(tai)(tai)和時間(jian)離散化,這種馬(ma)氏(shi)過(guo)程稱為(wei)馬(ma)爾(er)科夫(fu)(fu)鏈(lian)(lian)(Markov chain,又(you)稱馬(ma)氏(shi)鏈(lian)(lian))。對于馬(ma)爾(er)科夫(fu)(fu)鏈(lian)(lian),最重要的是確定所有(you)狀(zhuang)態(tai)(tai)間(jian)可見的兩兩轉(zhuan)(zhuan)移(yi)概率(lv),假設一個馬(ma)氏(shi)鏈(lian)(lian)總(zong)共有(you)N個狀(zhuang)態(tai)(tai),則其狀(zhuang)態(tai)(tai)轉(zhuan)(zhuan)移(yi)概率(lv)為(wei)一個NXN的矩陣(zhen),由(you)一步轉(zhuan)(zhuan)移(yi)概率(lv)可以寫出其轉(zhuan)(zhuan)移(yi)矩陣(zhen)為(wei):


5.jpg


  理論上(shang),馬爾科(ke)夫過程能很好地滿足工程實際,但在實際應用中會遇到不少問題,主要有兩個難(nan)點:實驗數據的測量和轉移(yi)概率的計算。


3. 失效概率(lv)計算


  根據可(ke)靠(kao)性理(li)論,把結(jie)構(gou)(gou)的(de)可(ke)靠(kao)和失效兩(liang)種工作情況(kuang)的(de)臨界(jie)狀(zhuang)(zhuang)(zhuang)(zhuang)態(tai)(tai)(tai)稱為(wei)(wei)結(jie)構(gou)(gou)的(de)極限(xian)(xian)狀(zhuang)(zhuang)(zhuang)(zhuang)態(tai)(tai)(tai)。GB 50153-2008 中(zhong)對結(jie)構(gou)(gou)極限(xian)(xian)狀(zhuang)(zhuang)(zhuang)(zhuang)態(tai)(tai)(tai)的(de)定(ding)義為(wei)(wei):整(zheng)個結(jie)構(gou)(gou)或結(jie)構(gou)(gou)的(de)某一部(bu)分超過某一特定(ding)狀(zhuang)(zhuang)(zhuang)(zhuang)態(tai)(tai)(tai)就不能(neng)(neng)滿足設計規(gui)(gui)定(ding)的(de)某一功能(neng)(neng)要(yao)求,此(ci)特定(ding)狀(zhuang)(zhuang)(zhuang)(zhuang)態(tai)(tai)(tai)為(wei)(wei)該功能(neng)(neng)的(de)極限(xian)(xian)狀(zhuang)(zhuang)(zhuang)(zhuang)態(tai)(tai)(tai)。當結(jie)構(gou)(gou)喪失了規(gui)(gui)定(ding)的(de)功能(neng)(neng)時,就認(ren)為(wei)(wei)失效。廣義的(de)“失效”認(ren)為(wei)(wei)只要(yao)出現以下三種情況(kuang)就是失效:


  ①. 完全(quan)不能工作(完全(quan)喪失功(gong)能);


  ②. 雖仍能(neng)(neng)工作(zuo),但不能(neng)(neng)完全滿足規(gui)定的功能(neng)(neng)(功能(neng)(neng)衰(shuai)退(tui));


  ③. 能工作和(he)完成規定(ding)功能,但不能確(que)保安全,應更換(huan)維修。


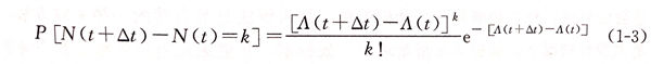
結(jie)構的(de)極限(xian)狀態方(fang)程為:


6.jpg

7.jpg


  失(shi)(shi)效(xiao)(xiao)概(gai)率(lv)的(de)(de)求解(jie)(jie)方法(fa)主要有三種(zhong):一(yi)是解(jie)(jie)析解(jie)(jie)法(fa);二(er)是近似解(jie)(jie)法(fa);三是數(shu)值解(jie)(jie)法(fa),包(bao)括數(shu)值積分法(fa)和模擬法(fa)。解(jie)(jie)析解(jie)(jie)法(fa)是最直接(jie)的(de)(de)一(yi)種(zhong)求解(jie)(jie)方法(fa),但絕大多數(shu)情況(kuang)下(xia),解(jie)(jie)析解(jie)(jie)法(fa)很難求出(chu)失(shi)(shi)效(xiao)(xiao)概(gai)率(lv),只(zhi)能采用(yong)近似解(jie)(jie)法(fa),其中(zhong)最常用(yong)的(de)(de)是一(yi)次(ci)二(er)階矩法(fa)。對于應力S和強度R都服從正(zheng)態(tai)分布的(de)(de)情況(kuang),采用(yong)一(yi)次(ci)二(er)階矩法(fa)計算可靠(kao)性(xing)系(xi)(xi)數(shu)β,一(yi)旦得到可靠(kao)性(xing)系(xi)(xi)數(shu),失(shi)(shi)效(xiao)(xiao)概(gai)率(lv)可由(you)下(xia)式計算:


8.jpg


  一次(ci)二階矩法(fa)(fa)存在一定的局限性: 一般情形下(xia)精度較差;極限狀態方程缺乏不變性。為(wei)了(le)解決極限狀態方程缺乏不變性,1974年,Hasofer與Lind 對一次(ci)二階矩法(fa)(fa)進(jin)(jin)行了(le)改進(jin)(jin),后被稱(cheng)為(wei)改進(jin)(jin)的一次(ci)二階矩法(fa)(fa),也稱(cheng)為(wei)H-L法(fa)(fa)。


  前(qian)(qian)兩(liang)種(zhong)(zhong)方(fang)(fang)法(fa)(fa)(fa)都(dou)是針對服(fu)從(cong)正(zheng)態分(fen)(fen)(fen)布(bu)的(de)(de)(de)隨(sui)機變量,而在(zai)實(shi)際工(gong)程問題中,很多隨(sui)機變量往往為非(fei)正(zheng)態分(fen)(fen)(fen)布(bu),針對這(zhe)種(zhong)(zhong)情況,Fiessler等提出了量正(zheng)態分(fen)(fen)(fen)析(xi)法(fa)(fa)(fa),這(zhe)種(zhong)(zhong)方(fang)(fang)法(fa)(fa)(fa)可(ke)適應于求解(jie)(jie)任意分(fen)(fen)(fen)布(bu)隨(sui)機變量的(de)(de)(de)失(shi)效(xiao)概(gai)率(lv)(lv)(lv)。數(shu)值(zhi)(zhi)解(jie)(jie)法(fa)(fa)(fa)是求解(jie)(jie)失(shi)效(xiao)概(gai)率(lv)(lv)(lv)的(de)(de)(de)常用方(fang)(fang)法(fa)(fa)(fa),數(shu)值(zhi)(zhi)積分(fen)(fen)(fen)法(fa)(fa)(fa)和(he)解(jie)(jie)析(xi)解(jie)(jie)法(fa)(fa)(fa)一(yi)(yi)樣,都(dou)是直接積分(fen)(fen)(fen)求解(jie)(jie)結構(gou)的(de)(de)(de)失(shi)效(xiao)概(gai)率(lv)(lv)(lv),但是受聯合(he)概(gai)率(lv)(lv)(lv)密(mi)度函數(shu)復雜性的(de)(de)(de)影響,這(zhe)種(zhong)(zhong)方(fang)(fang)法(fa)(fa)(fa)的(de)(de)(de)使用范圍受到限制(zhi);而數(shu)值(zhi)(zhi)模(mo)擬法(fa)(fa)(fa)是解(jie)(jie)決(jue)復雜概(gai)率(lv)(lv)(lv)問題的(de)(de)(de)有效(xiao)方(fang)(fang)法(fa)(fa)(fa)。隨(sui)著計(ji)(ji)算機容量和(he)計(ji)(ji)算速度的(de)(de)(de)提高(gao)(gao),目前(qian)(qian),數(shu)值(zhi)(zhi)模(mo)擬法(fa)(fa)(fa)成為概(gai)率(lv)(lv)(lv)分(fen)(fen)(fen)析(xi)的(de)(de)(de)一(yi)(yi)種(zhong)(zhong)普遍方(fang)(fang)法(fa)(fa)(fa),數(shu)值(zhi)(zhi)模(mo)擬的(de)(de)(de)主(zhu)要(yao)作用是把(ba)概(gai)率(lv)(lv)(lv)模(mo)型轉化(hua)為統計(ji)(ji)問題,以(yi)便可(ke)以(yi)采(cai)用標準統計(ji)(ji)學方(fang)(fang)法(fa)(fa)(fa)分(fen)(fen)(fen)析(xi)結果(guo)。蒙(meng)特卡羅模(mo)擬法(fa)(fa)(fa)是一(yi)(yi)種(zhong)(zhong)傳統的(de)(de)(de)計(ji)(ji)算方(fang)(fang)法(fa)(fa)(fa),它的(de)(de)(de)基本(ben)(ben)思想是用基本(ben)(ben)隨(sui)機變量的(de)(de)(de)聯合(he)概(gai)率(lv)(lv)(lv)密(mi)度函數(shu)進行抽樣,用落入失(shi)效(xiao)域內樣本(ben)(ben)點(dian)(dian)的(de)(de)(de)個(ge)數(shu)與總樣本(ben)(ben)點(dian)(dian)的(de)(de)(de)個(ge)數(shu)之比作為所定義的(de)(de)(de)失(shi)效(xiao)概(gai)率(lv)(lv)(lv)。該方(fang)(fang)法(fa)(fa)(fa)不(bu)受隨(sui)機變量維數(shu)限制(zhi)、不(bu)存在(zai)狀態空間爆炸問題,且不(bu)受任何假(jia)設約(yue)束(shu),可(ke)以(yi)用來解(jie)(jie)決(jue)高(gao)(gao)維動(dong)態失(shi)效(xiao)概(gai)率(lv)(lv)(lv)的(de)(de)(de)求解(jie)(jie)難題,當抽樣試驗次數(shu)足夠多時,近(jin)似解(jie)(jie)的(de)(de)(de)精確(que)度高(gao)(gao),是目前(qian)(qian)應用最多的(de)(de)(de)一(yi)(yi)種(zhong)(zhong)數(shu)值(zhi)(zhi)模(mo)擬方(fang)(fang)法(fa)(fa)(fa)。