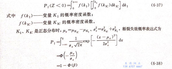
應力腐(fu)蝕可能會引(yin)起設(she)備的(de)(de)泄漏、斷(duan)裂、爆炸(zha)等后(hou)果(guo),不同的(de)(de)設(she)備和應用(yong)場所對失效后(hou)果(guo)的(de)(de)接受(shou)(shou)程度(du)是不同的(de)(de)。例(li)如,對于以水(shui)為介質(zhi)的(de)(de)設(she)備,泄漏會引(yin)起經濟損失,但是對環(huan)境(jing)和人類生命安全的(de)(de)危害(hai)(hai)較小,是人們可以接受(shou)(shou)的(de)(de);但是如果(guo)設(she)備內介質(zhi)是有毒介質(zhi)、易燃易爆介質(zhi),泄漏的(de)(de)危害(hai)(hai)是較大(da)的(de)(de)。因此(ci),我(wo)們根(gen)據后(hou)果(guo)的(de)(de)嚴重程度(du),可以采用(yong)不同的(de)(de)失效準則,浙江至(zhi)德鋼業(ye)有限公司(si)本次主要討論裂紋啟(qi)裂、泄漏和斷(duan)裂三(san)種失效概率問(wen)題。


一、啟(qi)裂失效概率(lv)分析模型


  在(zai)壓(ya)力容(rong)器和管道一類承(cheng)壓(ya)設(she)備(bei)中,內部(bu)介質大多易(yi)燃、易(yi)爆、有(you)毒(du),設(she)備(bei)一旦發生(sheng)泄漏或其他形式的破壞,將帶來嚴重的后果(guo),因此,國(guo)家和企業對這類設(she)備(bei)安全(quan)性的要(yao)求更高(gao)。在(zai)可靠性分(fen)析中,對于“失(shi)效”的理(li)解范圍更廣,我們甚至可以(yi)認為(wei)一旦裂(lie)紋(wen)產生(sheng),即使(shi)沒有(you)發生(sheng)泄漏和斷裂(lie),設(she)備(bei)處于失(shi)效狀態。即把裂(lie)紋(wen)啟裂(lie)作為(wei)失(shi)效的標準(zhun)。


1. 啟裂失效(xiao)準則


 應力腐蝕的產生也是經過兩個階段:裂紋萌生、裂紋擴展。在實踐中觀察發現,很多應力腐蝕裂紋是在點蝕坑的基礎上進行擴展。根據對已有研究的總結,產生裂紋的點蝕(shi)坑的形狀可以表述為半橢球形。相對于產生點蝕的結構來說,點蝕坑的尺寸很微小,因此,在垂直于拉應力的截面上,點蝕坑可以作為深度是a、長度是2c的半橢圓形表面裂紋,如圖6-6所示。當只考慮拉應力。時,圖6-6所示裂紋的應力強度因子是


6.jpg



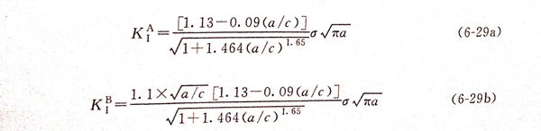
  一般來說,表面(mian)微裂紋的深度a遠小于設(she)備的壁(bi)厚B,因此,我們可以不(bu)考慮壁(bi)厚對A、B處應(ying)力(li)(li)強(qiang)度因子(zi)的影響,則其應(ying)力(li)(li)強(qiang)度因子(zi)為:


式 29.jpg


  從(cong)式(6-29)可(ke)以看出(chu),兩處應力形狀(zhuang)因(yin)(yin)子(zi)(zi)的(de)(de)大(da)小與a/c密切相關,圖6-7給出(chu)了形狀(zhuang)因(yin)(yin)子(zi)(zi)Y與a/c的(de)(de)對應關系(xi)。從(cong)圖中可(ke)以看出(chu),YA、YB隨a/c值的(de)(de)變化(hua)規律(lv)是相反的(de)(de)。a/c較小時,即(ji)深度較小長度較大(da)的(de)(de)裂紋,A處的(de)(de)應力形狀(zhuang)因(yin)(yin)子(zi)(zi)較大(da);隨著a/c的(de)(de)增(zeng)(zeng)加(jia),即(ji)裂紋深度的(de)(de)增(zeng)(zeng)加(jia),A處的(de)(de)形狀(zhuang)因(yin)(yin)子(zi)(zi)減小,B處形狀(zhuang)因(yin)(yin)子(zi)(zi)增(zeng)(zeng)大(da);當(dang)a/c>0.827時,YB>YA。


7.jpg



  對(dui)于薄壁(bi)構件,壁(bi)厚的(de)(de)(de)影(ying)響必須考(kao)慮。當(dang)壁(bi)厚一定時,Y值只受(shou)a和a/c的(de)(de)(de)影(ying)響。當(dang)a/c=1時,應力形(xing)狀(zhuang)因子(zi)與裂(lie)紋深(shen)度的(de)(de)(de)對(dui)應關系(xi)如圖(tu)6-8所示。圖(tu)6-8給(gei)出了不(bu)同壁(bi)厚下Y隨(sui)a的(de)(de)(de)變化趨(qu)勢,從圖(tu)中可以看出,隨(sui)著壁(bi)厚的(de)(de)(de)減(jian)小,A、B兩處的(de)(de)(de)形(xing)狀(zhuang)因子(zi)都(dou)增大,因此,當(dang)壁(bi)厚較小時,壁(bi)厚的(de)(de)(de)影(ying)響不(bu)可忽略。


  根(gen)據可靠性的概念(nian),當把裂(lie)紋萌生作為極限(xian)時,從應力(li)場角度分析,結構極限(xian)狀態(tai)方(fang)程(cheng)為


式 30.jpg

8.jpg


2. 啟裂失(shi)效概率


  根(gen)據隨機變量模型可知,裂紋(wen)啟裂失效的(de)不確定性(xing)主要由參(can)數(shu)的(de)隨機性(xing)造成,在不考慮環境的(de)影響下,同時假設裂紋(wen)萌生于(yu)點蝕(shi)坑處,SCC裂紋(wen)萌生主要受應(ying)力大(da)小、蝕(shi)坑結(jie)構及幾何參(can)數(shu)以及材料本身的(de)性(xing)能(應(ying)力腐蝕(shi)臨(lin)界應(ying)力強度因子)等(deng)影響。根(gen)據文(wen)獻(xian)可知,應(ying)力可認為是(shi)服從正(zheng)態分布(bu)的(de)隨機變量。


  點(dian)蝕坑深(shen)度(du)(du)a的隨機性(xing)(xing)與Ip、?和a0的不(bu)確定性(xing)(xing)有關;應(ying)力腐蝕臨界應(ying)力強(qiang)度(du)(du)因子KIscc的數值(zhi)一(yi)般由(you)實(shi)驗測得(de),其(qi)隨機性(xing)(xing)受材(cai)料本身性(xing)(xing)能的分散性(xing)(xing)、介質中(zhong)離(li)子濃度(du)(du)、溫度(du)(du)等參數的不(bu)確定性(xing)(xing)影響(xiang)。


  根據以上分析可得失效概率(lv)表達式


式 31.jpg


3. 算例


  某(mou)一設備的材(cai)料為304,壁厚B=12mm,表面產生了點蝕,計(ji)算該設備裂(lie)紋(wen)啟(qi)裂(lie)失效(xiao)的概率。分(fen)析過程如下:


9.jpg



二、泄(xie)漏失(shi)效概率(lv)分析模型


1. 泄(xie)漏失效(xiao)準(zhun)則


  應力腐蝕裂紋(wen)一旦產生(sheng),就會快速(su)(su)擴(kuo)展(zhan),但是擴(kuo)展(zhan)方向和(he)擴(kuo)展(zhan)速(su)(su)度具(ju)有(you)一定(ding)隨(sui)機性。如圖6-10是一個(ge)(ge)應力腐蝕失效案(an)例(li),可(ke)以看出,裂紋(wen)在空間三個(ge)(ge)方向都有(you)擴(kuo)展(zhan)。


10.jpg



  受結構的(de)(de)影響,以(yi)及(ji)不(bu)同方(fang)向(xiang)(xiang)裂(lie)(lie)(lie)(lie)(lie)紋(wen)擴展(zhan)(zhan)速(su)度(du)(du)的(de)(de)不(bu)同,可能(neng)會出現(xian)以(yi)下失效結果(guo):①. 裂(lie)(lie)(lie)(lie)(lie)紋(wen)沿(yan)點(dian)蝕(shi)坑(keng)(keng)深(shen)度(du)(du)(即設備(bei)厚度(du)(du))方(fang)向(xiang)(xiang)穿透壁面時(shi)(shi),沿(yan)點(dian)蝕(shi)坑(keng)(keng)長度(du)(du)方(fang)向(xiang)(xiang)的(de)(de)裂(lie)(lie)(lie)(lie)(lie)紋(wen)還(huan)未(wei)發展(zhan)(zhan)到(dao)失穩擴展(zhan)(zhan)的(de)(de)臨(lin)(lin)界長度(du)(du),即設備(bei)只發生(sheng)(sheng)(sheng)泄漏(lou)(lou)但(dan)并(bing)不(bu)發生(sheng)(sheng)(sheng)整(zheng)體性的(de)(de)破壞(huai),稱(cheng)未(wei)破先漏(lou)(lou);②. 在裂(lie)(lie)(lie)(lie)(lie)紋(wen)沿(yan)點(dian)蝕(shi)坑(keng)(keng)深(shen)度(du)(du)方(fang)向(xiang)(xiang)穿透設備(bei)壁厚前,裂(lie)(lie)(lie)(lie)(lie)紋(wen)沿(yan)蝕(shi)坑(keng)(keng)長度(du)(du)方(fang)向(xiang)(xiang)已達(da)到(dao)了臨(lin)(lin)界值,設備(bei)將產(chan)生(sheng)(sheng)(sheng)很長的(de)(de)表(biao)面裂(lie)(lie)(lie)(lie)(lie)紋(wen),雖然設備(bei)既不(bu)泄漏(lou)(lou)也不(bu)爆(bao)破,但(dan)已很脆弱(ruo),承受載荷(he)波動(dong)或(huo)裂(lie)(lie)(lie)(lie)(lie)紋(wen)沿(yan)點(dian)蝕(shi)坑(keng)(keng)深(shen)度(du)(du)方(fang)向(xiang)(xiang)擴展(zhan)(zhan)的(de)(de)能(neng)力很差;③. 裂(lie)(lie)(lie)(lie)(lie)紋(wen)沿(yan)點(dian)蝕(shi)坑(keng)(keng)深(shen)度(du)(du)方(fang)向(xiang)(xiang)和長度(du)(du)方(fang)向(xiang)(xiang)幾乎(hu)同時(shi)(shi)達(da)到(dao)了各自的(de)(de)臨(lin)(lin)界值,設備(bei)將產(chan)生(sheng)(sheng)(sheng)爆(bao)破事故。對(dui)于第一種應力腐蝕(shi)失效形式,人們有足夠的(de)(de)時(shi)(shi)間(jian)及(ji)時(shi)(shi)發現(xian)泄漏(lou)(lou)并(bing)采取(qu)措施(shi),并(bing)避免(mian)由(you)于快(kuai)速(su)整(zheng)體破壞(huai)而引起的(de)(de)嚴重后果(guo)。對(dui)于低壓(ya)、無(wu)毒和非易燃易爆(bao)介質的(de)(de)設備(bei),即使發生(sheng)(sheng)(sheng)微量(liang)的(de)(de)泄漏(lou)(lou)也不(bu)會產(chan)生(sheng)(sheng)(sheng)嚴重后果(guo),如蒸汽管(guan)道、水煤氣廢熱鍋爐中的(de)(de)換熱管(guan)等(deng),這些(xie)設備(bei)可以(yi)采用(yong)泄漏(lou)(lou)失效準則。


  當對設備的可(ke)靠性要求較高時,裂紋(wen)擴展深度(du)即使小于壁厚,我們(men)也(ye)認為是失效(xiao)。一般(ban)把裂紋(wen)深度(du)是(0.7~0.85)B作(zuo)為判斷(duan)條件(jian)。美(mei)國(guo)ASME-VI-3[45]確定(ding)了未破先漏的條件(jian)為:


雜 2.jpg


  而(er)對(dui)于(yu)可靠性要求較低的設備(bei),當裂紋穿過整個壁厚(hou)時(shi),認為(wei)是(shi)失效。


  泄漏失效的極限狀態(tai)方程為(wei)


式 32.jpg



  觀察到的實際裂(lie)紋(wen),在壁厚(hou)方向的擴展(zhan)并不與厚(hou)度(du)平行,如(ru)(ru)圖(tu)6-11(a)所示;并且擴展(zhan)過程中主裂(lie)紋(wen)有所分叉,如(ru)(ru)圖(tu)6-11(b)所示。因此,采用式(6-33)計算出的裂(lie)紋(wen)尺寸來判斷是(shi)否發生泄漏失(shi)效(xiao)較為安全。


11.jpg


2. 泄漏失(shi)效概率


  泄漏(lou)失效的(de)隨(sui)機(ji)性(xing)(xing)主要是由裂紋尺(chi)寸(cun)、設備(bei)壁厚和結(jie)構、載荷(he)等的(de)不(bu)確定性(xing)(xing)引起的(de)。裂紋尺(chi)寸(cun)的(de)隨(sui)機(ji)性(xing)(xing)主要受溫度(du)、材料性(xing)(xing)能以及裂紋起始尺(chi)寸(cun)等參數的(de)不(bu)確定性(xing)(xing)影(ying)響(xiang)。受設備(bei)原材料壁厚公差(cha)、腐蝕減薄、制造(zao)引起的(de)壁厚變化等因素的(de)影(ying)響(xiang),壁厚B也是一(yi)個隨(sui)機(ji)變量(liang)。根據(ju)隨(sui)機(ji)變量(liang)a和B的(de)概率(lv)密(mi)度(du)函數f(a*)和f(B*),可(ke)得(de)到泄漏(lou)失效概率(lv)表達(da)式為(wei):


式 34.jpg


3. 算例


  在實際案例中,管殼式換熱器中換熱管和管板連接處換熱管發生應力腐蝕泄漏的情況較多,這是由于換熱管壁厚較薄,材料的斷裂韌度值較大,很容易滿足ac>B的條件。采用蒙特卡洛模擬法計算換熱管發生應力腐蝕泄漏失效的概率,利用Python 語言編制計算程序(具體計算程序見附錄)。所需各變量的分布類型及參數如表6-1所示,模擬結果如圖6-12所示。由圖6-12可見,在前80天內,換熱管發生泄漏失效的概率小于10-4較為安全;隨著裂紋尺寸的增長,換熱管的可靠性能逐步下降,150天后失效概率值接近1。


12.jpg



三、斷裂(lie)失效概率分析模型


1. 斷裂(lie)失效(xiao)準則


  根據線彈性(xing)斷(duan)裂(lie)(lie)力(li)學(xue)理論(lun),應(ying)力(li)腐(fu)蝕斷(duan)裂(lie)(lie)失效的(de)(de)準則主(zhu)要(yao)有兩(liang)類:一類是(shi)從分析裂(lie)(lie)尖應(ying)力(li)應(ying)變場強度(du)的(de)(de)角度(du)出發,采(cai)用應(ying)力(li)強度(du)因(yin)子作(zuo)為參數;另一類是(shi)用能(neng)(neng)量平(ping)衡的(de)(de)觀(guan)點,選(xuan)用能(neng)(neng)量釋放(fang)率作(zuo)為參數。應(ying)力(li)強度(du)因(yin)子和能(neng)(neng)量釋放(fang)率之間具有對(dui)應(ying)的(de)(de)關系(xi)G1=K1/E'.目前采(cai)用線彈性(xing)斷(duan)裂(lie)(lie)力(li)學(xue)理論(lun)分析應(ying)力(li)腐(fu)蝕斷(duan)裂(lie)(lie)失效的(de)(de)準則主(zhu)要(yao)是(shi)應(ying)力(li)強度(du)因(yin)子準則,本節筆者采(cai)用該準則分析應(ying)力(li)腐(fu)蝕斷(duan)裂(lie)(lie)行(xing)為。


  根據以(yi)上(shang)分析可知(zhi),K1值隨裂(lie)紋長度的(de)增加而增大(da),當(dang)K1增大(da)到K1c時,將(jiang)導(dao)致(zhi)裂(lie)紋快(kuai)速擴展,此時對應的(de)極限狀態方程為(wei)


式 35.jpg


2. 斷裂(lie)失效概率(lv)


  斷(duan)裂(lie)(lie)(lie)失效的(de)(de)(de)隨機(ji)性(xing)(xing)主(zhu)要由材(cai)料(liao)性(xing)(xing)能(neng)的(de)(de)(de)分(fen)散(san)性(xing)(xing)和裂(lie)(lie)(lie)紋(wen)尺寸、裂(lie)(lie)(lie)紋(wen)形(xing)狀(zhuang)以(yi)及(ji)載(zai)荷等(deng)(deng)(deng)(deng)不(bu)確定性(xing)(xing)引起。KIc值(zhi)(zhi)大(da)小(xiao)(xiao)代表了材(cai)料(liao)抵抗裂(lie)(lie)(lie)紋(wen)擴展的(de)(de)(de)性(xing)(xing)能(neng),材(cai)料(liao)在冶(ye)煉、軋制(zhi)、熱(re)處(chu)(chu)理等(deng)(deng)(deng)(deng)過程中(zhong)不(bu)可(ke)避免地產(chan)生化學成分(fen)、顯微組織、力(li)學性(xing)(xing)能(neng)等(deng)(deng)(deng)(deng)不(bu)均勻,使KIc具有本質上的(de)(de)(de)分(fen)散(san)性(xing)(xing)。另外,試樣取樣方向、厚(hou)(hou)度等(deng)(deng)(deng)(deng)也是引起KIc分(fen)散(san)的(de)(de)(de)原因(yin)。受設備壁厚(hou)(hou)、應(ying)力(li)狀(zhuang)態(tai)、加載(zai)模式(shi)以(yi)及(ji)工(gong)作(zuo)溫(wen)度等(deng)(deng)(deng)(deng)多方面因(yin)素的(de)(de)(de)影響(xiang),設備結構真實(shi)的(de)(de)(de)K1c值(zhi)(zhi)比試驗(yan)獲得的(de)(de)(de)值(zhi)(zhi)分(fen)散(san)性(xing)(xing)更大(da)。在一定的(de)(de)(de)范(fan)圍內(nei),材(cai)料(liao)厚(hou)(hou)度較小(xiao)(xiao)時,裂(lie)(lie)(lie)紋(wen)尖端(duan)處(chu)(chu)于(yu)(yu)平面應(ying)力(li)狀(zhuang)態(tai),KIc值(zhi)(zhi)較大(da);當材(cai)料(liao)厚(hou)(hou)度較大(da)時,裂(lie)(lie)(lie)紋(wen)尖端(duan)區(qu)域處(chu)(chu)于(yu)(yu)平面應(ying)變(bian)狀(zhuang)態(tai),斷(duan)裂(lie)(lie)(lie)韌(ren)(ren)度值(zhi)(zhi)將逐漸減小(xiao)(xiao),當厚(hou)(hou)度超(chao)過一定值(zhi)(zhi)后,斷(duan)裂(lie)(lie)(lie)韌(ren)(ren)度值(zhi)(zhi)將不(bu)再變(bian)化,斷(duan)裂(lie)(lie)(lie)韌(ren)(ren)度隨試樣厚(hou)(hou)度的(de)(de)(de)變(bian)化關(guan)系(xi)如圖6-13所示。


13.jpg


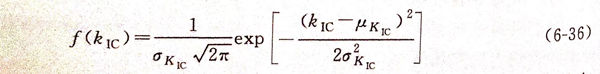
  適(shi)合描述(shu)斷裂(lie)韌度(du)(du)隨機(ji)性的概(gai)率分(fen)布(bu)類型主要有(you)正態(tai)分(fen)布(bu)、對數正態(tai)分(fen)布(bu)以及(ji)威布(bu)爾分(fen)布(bu)。對于服從正態(tai)分(fen)布(bu)的斷裂(lie)韌度(du)(du),其概(gai)率密度(du)(du)函數為(wei)


式 36.jpg


  應(ying)力強度因子KI是描述裂(lie)(lie)紋尖端應(ying)力應(ying)變場的度量,其(qi)不(bu)(bu)確定(ding)性(xing)(xing)主(zhu)要是由裂(lie)(lie)紋尺寸、裂(lie)(lie)紋形(xing)狀以及應(ying)力等參數的不(bu)(bu)確定(ding)性(xing)(xing)引(yin)起(qi)的。應(ying)力腐(fu)蝕裂(lie)(lie)紋形(xing)狀不(bu)(bu)規(gui)則、焊(han)縫(feng)部位(wei)應(ying)力分布的不(bu)(bu)均(jun)勻性(xing)(xing),都對K1的不(bu)(bu)確定(ding)性(xing)(xing)有較大影響(xiang)。


  根據(ju)Kic和(he)KI的概率分布函數f(kIc)和(he)f(k1),可得到(dao)斷裂失效概率的表達式


式 37.jpg


3. 算例


  某化工廠一臺氫化塔,材料為S30408不銹鋼,塔壁厚度為12mm.塔內原料氣體中含水,且水中的Cl-含量在20mg/L左右。該塔投入約10年后,人孔平臺支腿焊接的部位產生大量的軸向應力腐蝕裂紋,如圖6-14所示。


14.jpg


  斷裂韌度除(chu)了服從正態(tai)分(fen)(fen)布(bu)外,還服從對(dui)數正態(tai)分(fen)(fen)布(bu),圖6-15給出(chu)了分(fen)(fen)別服從兩種分(fen)(fen)布(bu)時的(de)失(shi)(shi)(shi)效概(gai)(gai)率(lv)情況。分(fen)(fen)析圖6-15發(fa)現(xian)(xian):分(fen)(fen)布(bu)類型對(dui)本次失(shi)(shi)(shi)效概(gai)(gai)率(lv)的(de)計算結果(guo)影(ying)響較小,只有(you)在(zai)裂紋出(chu)現(xian)(xian)的(de)前期(qi)有(you)一定影(ying)響,此時正態(tai)分(fen)(fen)布(bu)對(dui)應的(de)失(shi)(shi)(shi)效概(gai)(gai)率(lv)較大。同時,筆者(zhe)也分(fen)(fen)析了裂紋深度和長度之(zhi)比對(dui)失(shi)(shi)(shi)效概(gai)(gai)率(lv)的(de)影(ying)響,結果(guo)如圖6-16所示(shi),失(shi)(shi)(shi)效概(gai)(gai)率(lv)隨a/c的(de)降低而增大,在(zai)裂紋擴展中期(qi)a/c影(ying)響較大。


15.jpg

16.jpg