當不銹鋼管坯料在感應器內加熱時,由于感應加熱的端部效應和坯料端部的散熱,導致加熱后的不銹鋼管坯料存在軸向溫差,進而使坯料在擠壓后引起鋼管的壁厚不均缺陷。為了確保擠壓不銹鋼管(guan)的質量,必須使經感應加熱后的坯料的軸向溫差控制在±30℃左右。為此,坯料在感應加熱(再加熱)過程中需要進行端部功率補償:


  1. 端部(bu)補(bu)償的原理


    感應(ying)器的(de)(de)(de)電(dian)(dian)路(lu)由電(dian)(dian)感電(dian)(dian)容(rong)和電(dian)(dian)阻(zu)組成,當(dang)將端(duan)部(bu)(bu)補償(chang)電(dian)(dian)容(rong)器并(bing)聯(lian)在(zai)感應(ying)器線路(lu)上時,使(shi)電(dian)(dian)路(lu)中的(de)(de)(de)阻(zu)抗值增(zeng)(zeng)高,從(cong)而引起感應(ying)器的(de)(de)(de)兩(liang)端(duan)與中部(bu)(bu)的(de)(de)(de)匝間(jian)電(dian)(dian)壓重新分(fen)(fen)配,使(shi)主(zhu)感應(ying)器兩(liang)端(duan)電(dian)(dian)壓較(jiao)低的(de)(de)(de)部(bu)(bu)分(fen)(fen)得(de)到(dao)了補償(chang),并(bing)且導致(zhi)感應(ying)器兩(liang)端(duan)部(bu)(bu)電(dian)(dian)壓增(zeng)(zeng)高,使(shi)端(duan)部(bu)(bu)的(de)(de)(de)磁(ci)通密度增(zeng)(zeng)加(jia)(jia)(jia),即分(fen)(fen)配到(dao)鋼(gang)坯端(duan)部(bu)(bu)的(de)(de)(de)功率增(zeng)(zeng)加(jia)(jia)(jia),從(cong)而使(shi)加(jia)(jia)(jia)熱坯料的(de)(de)(de)端(duan)部(bu)(bu)溫度得(de)到(dao)了補償(chang),降(jiang)低了加(jia)(jia)(jia)熱(再加(jia)(jia)(jia)熱)后坯料的(de)(de)(de)軸向溫差。


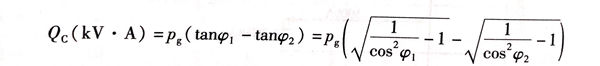
 2. 補償電容器容量(liang)的計算


   感應器的功率因數由cosφ1 補償到 cosφ2所需電容器的容量按下式計算:


15.jpg


 3. 端(duan)部補償的控制


   傳統的(de)(de)(de)功(gong)率補償控制方(fang)法是(shi)采用無功(gong)功(gong)率繼(ji)電(dian)器(qi)等組成的(de)(de)(de)有觸(chu)點的(de)(de)(de)系統來進行控制。根(gen)據(ju)所測(ce)得的(de)(de)(de)電(dian)流、電(dian)壓、溫度等數值(zhi),將補償電(dian)容(rong)(rong)器(qi)的(de)(de)(de)容(rong)(rong)量調(diao)節到最(zui)佳(jia)狀態(tai)。隨著計算機技術(shu)和電(dian)子技術(shu)的(de)(de)(de)發展,近代一般都(dou)已采用無功(gong)功(gong)率自動補償裝置,根(gen)據(ju)所采集到的(de)(de)(de)數據(ju),通過分析(xi)計算,自動切換補償電(dian)路(lu),使之達到最(zui)佳(jia)效(xiao)果(guo)。